[Ответить в тред] Ответить в тред

15/10/15 - Набор в модераторы 15.10 по 17.10
27/09/15 - Двач API — Инструкция к применению
15/09/15 - Про пожертвования и ДДоС

Официальная Телеграм конфа Двача **CLICK**

[Назад][Обновить тред][Вниз][Каталог] [ Автообновление ] 89 | 20 | 22
Назад Вниз Каталог Обновить

Аноним 11/03/16 Птн 00:39:08  119577249  
14576459485040.jpg (578Кб, 960x540)
привет, ночной.
я студент технарь и мне пиздец скучно.
могу помочь решить какой-нибудь не очень сложный пример по математике(если школьники еще не спят). Ну или просто попиздеть на тему физики и математики
Аноним 11/03/16 Птн 00:40:15  119577374
>>119577249 (OP)
немного побампаю.. не взлетит и хуй с ним
Аноним 11/03/16 Птн 00:41:28  119577498
бамп
Аноним 11/03/16 Птн 00:42:57  119577649
>>119577249 (OP)
Ты такой хороший...
Аноним 11/03/16 Птн 00:43:20  119577681
14576462003090.png (3527Кб, 1440x2560)
3,4 плеез
Аноним 11/03/16 Птн 00:43:40  119577711
Ну давай. Вот мы недавно с другом придумали задачу. Если ты знаешь правила покера (друг в покер играет много, я сам - нет), то тебе условия задачи покажутся простыми - необходимо просчитать вероятность флеша при условии, что тебе выдают изначально две одномастные карты, игроков за столом шесть. Если ты не знаешь, то, рассказываю покороче: всем игрокам выдается по две карты, затем на стол кладется пять карт. В колоде 52 карты, как я уже говорил, две карты у одного игрока одномастные, и необходимо найти вероятность, что из тех пяти карт на столе 3 карты будут иметь ту же масть, что и эти две. Если ты всё равно не понял условия, то я готов уточнять.
Аноним 11/03/16 Птн 00:44:39  119577817
>>119577681
Не можешь решить элементарные задачи, стыдно
Аноним 11/03/16 Птн 00:44:49  119577833
>>119577681
Лол, эти задачи теоремой Пифагора и пропорциями (возможно и без пропорций, я просто невнмательно смотрел) решаются же, не?
>>119577711 - кун
Аноним 11/03/16 Птн 00:45:30  119577896
Можешь в теорию игр?
Аноним 11/03/16 Птн 00:45:41  119577913
>>119577833
>>119577817
Я тут написал, чтоб меня обсирали штоле. В геометрию вообще не могу
Аноним 11/03/16 Птн 00:46:21  119577975
>>119577913
Гугли подобие треугольников (тема, блять, вверху указана!).
Аноним 11/03/16 Птн 00:46:40  119578004
14576464008100.png (592Кб, 2048x1536)
25 и 27 плес я уже заебался
Аноним 11/03/16 Птн 00:47:29  119578064
>>119577249 (OP)
На кого учишься?
Аноним 11/03/16 Птн 00:47:48  119578095
Вольтамперометрия ага
Прямая там и вроде переменно тковая
Аноним 11/03/16 Птн 00:48:07  119578130
14576464879010.png (11Кб, 890x521)
>>119577681
Треугольники ABC and XKB подобные.
AC:XK=CB:BK
Поэтому AC=XK*CB:BK
Ну подставишь сам
Аноним 11/03/16 Птн 00:48:25  119578152
>>119577896
не, я по большей мере физик.
Аноним 11/03/16 Птн 00:49:34  119578261
Оп ты здесь?
Помоги с 25-27
Аноним 11/03/16 Птн 00:50:37  119578358
>>119578152
Какое направление?
Аноним 11/03/16 Птн 00:50:53  119578380
>>119578130
Понял, спасибо
Аноним 11/03/16 Птн 00:51:23  119578421
>>119577681
лол, проебал твои обозначения. вторая задачка так же решается. ABO подобен CDO.
AB:CD=AO:CO
и из пропорции выражаем AB
Аноним 11/03/16 Птн 00:52:16  119578505
Ебаный врот,попросили скинуть сложную задачу
Скинул две
Они решают программу 8-го класса
Пиздец ебаный врот
Аноним 11/03/16 Птн 00:52:32  119578532
>>119578152
Жаль. В любом случае, добра
Аноним 11/03/16 Птн 00:52:34  119578534
>>119578261
тут, я хуй знает, сори. может кто из мимокрокодилов поможет
Аноним 11/03/16 Птн 00:53:19  119578598
>>119578505
я не просил сложных) я попросил тех, которые могу решать. щас читаю про покер. не всё так сразу
Аноним 11/03/16 Птн 00:53:48  119578631
>>119578534
Как же из тебя физик,если у тебя не было курса зимии.
Аноним 11/03/16 Птн 00:54:00  119578655
14576468407520.jpg (76Кб, 442x331)
>>119577249 (OP)
Можешь пояснить, как тригонометрическую функцию в ряд разложить? С примером, если можно. Синус(x) например тот же.
Аноним 11/03/16 Птн 00:54:40  119578716
>>119577681
Блядь, а ведь я совсем плох. Не стал бы такое считать даже, а просто в масштабе вычертил в автокаде.
Аноним 11/03/16 Птн 00:55:51  119578801
>>119578655
особенное синусы в ряд фурье раскладывать весело
Аноним 11/03/16 Птн 00:56:54  119578891
>>119578655
жди. напишу про покер, постараюсь объяснить)
Аноним 11/03/16 Птн 00:57:14  119578920
>>119578655
гуглу ряд Тейлора
Аноним 11/03/16 Птн 00:57:38  119578959
>>119577249 (OP)
Умеешь уже что-нибудь или только теорию зубрить по книжкам? Можешь решить конкретную задачу какую-нибудь?
inb4: учу php
Аноним 11/03/16 Птн 00:58:04  119578985
>>119578655
Запомни, что e^x = 1 + x + x^2/2 + x^3/3 + ... и что e^(ix) = cos(x) + isin(x) (я надеюсь, ты в курсе, что такое мнимая единица). После этого разложение для синуса и косинуса становятся очевидными и простыми.
Аноним 11/03/16 Птн 00:58:48  119579045
14576471284770.png (2Кб, 470x54)
>>119578891
Типа вот такой хуйни? Чем ряд Тейлора от ряда Фурье отличается?
Аноним 11/03/16 Птн 00:59:36  119579118
как найти приращение функционала? J[y]=интеграл от 0 до 1 ( y(x)y''(x)dx ) помоги плиз, это сегодня уже сдать надо
Аноним 11/03/16 Птн 00:59:37  119579119
>>119577711
Анон, я плох в тервере (ненавижу его). Но попытаюсь ответить.
Нужно, чтоб выпало 3 карты моей масти (из 5).
Всего осталось 50 карт из которых мне подходят 11. Дальше гуглится формула по комбинаторике и просто эти данные подставляются. На то, что у противников на руках (вроде бы) похуй
Аноним 11/03/16 Птн 01:00:33  119579201
еще есть задача, где надо найти вариацию функционала, я ваще не ебу как ее искать
Аноним 11/03/16 Птн 01:01:56  119579325
14576473162340.jpg (8Кб, 472x94)
>>119578631
ты удивишься) во всех вузах разные программы. и во многих на химию кладется хуй
>>119578655
что именно тебе трудно понять? любая функция раскладывается в ряд через формулу тейлора. Вот просто тупо берешь и подставляешь. А так задавай конкретные вопросы, постараюсь ответить.
Аноним 11/03/16 Птн 01:02:35  119579374
14576473560930.png (2Кб, 472x49)
>>119579045
Аноним 11/03/16 Птн 01:03:22  119579432
14576474026380.jpg (47Кб, 600x556)
>>119579119
Я знаю кто через 2-3 года будет делить полу-протухшие проекты с китаем и индией.
мимо-инженегр
Аноним 11/03/16 Птн 01:04:16  119579494
>>119579201
Зато, видимо, в курсе как закладки искать.
Аноним 11/03/16 Птн 01:04:43  119579523
Технарь, выведи мне явное решение задачи двух тел или покажи внятно, как это делается; на вики размытые формулы без намёков на ответы
Аноним 11/03/16 Птн 01:06:03  119579602
>>119579523
С Ландау-Лифшицем знаком? можешь глянуть первый том, там всё нормально объяснено. (да, у ландау такое бывает)
Аноним 11/03/16 Птн 01:07:39  119579725
>>119579045
Тейлор-разложение по степенным функциям, Фурье-разложение по гармоникам
>>119578959
что в твоем понимании конкретные задачи? Я тебя не могу понять
Аноним 11/03/16 Птн 01:08:19  119579768
https://books.google.ru/books?id=ctr3AgAAQBAJ&pg=PR11&lpg=PR11&dq=%D1%85%D0%B0%D1%80%D0%BC%D1%81+%D0%BF%D0%BE%D0%B4%D0%BD%D1%8F%D1%82%D0%B8%D0%B5+%D1%87%D0%B8%D1%81%D0%BB%D0%B0&source=bl&ots=um7xQLuxVa&sig=8gZqO8-mgCxnLFa8ZKMkpCqJbUk&hl=ru&sa=X&ved=0ahUKEwjUuZLakLfLAhUiLZoKHefhBgkQ6AEIOTAF#v=onepage&q=%D1%85%D0%B0%D1%80%D0%BC%D1%81%20%D0%BF%D0%BE%D0%B4%D0%BD%D1%8F%D1%82%D0%B8%D0%B5%20%D1%87%D0%B8%D1%81%D0%BB%D0%B0&f=false

Поясни, есть ли во всем этом смысл?
Аноним 11/03/16 Птн 01:08:43  119579798
>>119579602
Тоесть ты нихуя объяснить не можешь? Как же ты собрался работать если не понимаешь?
Аноним 11/03/16 Птн 01:09:31  119579857
>>119579119
Да, друг тоже сначала так сказал, но ведь ты сам подумай: если кому то из оппонентов выпадет та же масть в руку, то вероятность что на доске появятся три карты уже меньше, правильно? К тому же, я не уверен в этом, но, возможно, стоит учитывать и то, что любые три карты подойдут, я не могу это адекватно сформулировать, но, если вкратце, то у меня эту всю хуйню под формулы поставить не получилось.
Аноним 11/03/16 Птн 01:10:17  119579914
>>119579118
бамп, помоги анон
Аноним 11/03/16 Птн 01:11:34  119580002
>>119579857
а какая разница между тем, что эти карты у кого то на руках и тем, что они просто не выпали? Ты же не знаешь карт противника.
>>119579798
Задай конкретный вопрос, что тебе не понятно. не буду же я решать задачу двух тел прям тут.
Аноним 11/03/16 Птн 01:12:40  119580098
>>119579914
с хода не знаю. Если скинешь какой пример или лекции, может получится помочь. Сори, анон.
Аноним 11/03/16 Птн 01:12:57  119580120
>>119580002
> не буду же я решать задачу двух тел прям тут
Почему?
Аноним 11/03/16 Птн 01:14:20  119580223
>>119580002
Да, я не знаю карт противника, но от этого вероятность того, что у меня выпадет флеш нихуя не увеличится. Я приведу простой пример - представь, что вышла такая охуительно необычная раздача, что в ней у всех 6 игроков, включая меня, червы. В таком случае, очевидно, шанс на то, что на доске появится черва пиздец маленький, потому что в колоде останется всего одна черва (изначально 13 черв, ну ты понял).
Аноним 11/03/16 Птн 01:14:35  119580241
14576480753650.jpg (228Кб, 1549x1037)
>>119579325
Хуй с ним, с тем тейлором. За иррациональные числа можешь пояснить?
Аноним 11/03/16 Птн 01:14:55  119580257
>>119580098
да там дичь полная, препод хуйню заливает, примеры не разбираем, только теорию дает. а дальше сами. ваще юзлесс предмет(
Аноним 11/03/16 Птн 01:15:29  119580308
>>119580120
а нахуя это делать? если есть много источников где это решение есть. И это решение написано гораздо лучше, чем я смогу написать. Просто смотришь там и спрашиваешь, что непонятно.
>>119580241
вот за них могу.
>>119580257
хоть что то похожее с лекций дай, чтоб я мог понять, о чем думать)
Аноним 11/03/16 Птн 01:15:58  119580347
>>119580002
> не буду
Инженегр абасрался.
Аноним 11/03/16 Птн 01:19:23  119580603
>>119580223
точно тебе говорю. Пока ты не знаешь их карт, тебе похер на то, что у них на руках. Иначе это просто нереально посчитать. Веди у них на руках могут быть как все червы, так и ни одной.
Аноним 11/03/16 Птн 01:20:14  119580672
14576484146520.jpg (56Кб, 604x453)
>>119580308
> Просто смотришь там и спрашиваешь, что непонятно.
Тебя так же в университете учат? Просто смотришь в Письменного или Демидовича или Данко-Данко и спрашиваешь, что не понятно? И ни в какой ШАД ты не поступишь с таким подходом, идиот. Кончишь пхп-макакой на фрилансе.
Аноним 11/03/16 Птн 01:22:27  119580843
>>119580672
окей. тогда объясни мне, какой смысл мне писать такие же формулы, как в любом другом источнике и сопровождать их теми же самыми словами?
Зачем писать вещи, которые уже есть и элементарно гуглятся?
Аноним 11/03/16 Птн 01:26:15  119581121
>>119580603
двачую опа. Что карты остались в колоде, что попали кому-то другому на руки. Это идет в неудовлетворительные исходы
Аноним 11/03/16 Птн 01:26:47  119581156
14576488074750.jpg (33Кб, 450x528)
>>119580308
>вот за них могу.
Мля, хуй его знает, как вопрос сформулировать.
Аноним 11/03/16 Птн 01:27:32  119581219
>>119581156
формулируй как есть. только постарайся конкретнее, чтоб на него впринципе можно было ответить
Аноним 11/03/16 Птн 01:32:10  119581531
>>119580241
и да, на тейлора зря хуй кладешь. если собираешься физикой заниматься, по-любому придется с ним разбираться
Аноним 11/03/16 Птн 01:34:00  119581656
14576492405760.png (12Кб, 617x341)
>>119581219
Смотри. Есть у нас скажем функция (тот же синус), которую мы рассматриваем как прерывную функцию - с целочисленным аргументом. Ну мля:
sin(альфа+дельта*n), где альфа - угол, дельта - маленькое число, n меняется от 0 до инфинити, при этом он целое число.
Так вот, с некоторыми n получаем рациональные значения функции, а с другими n - иррациональные. Как найти (установить, или вообще хоть как-нить ее обнаружить) зависимость между n и рациональностью значения функции?
как-то так
Аноним 11/03/16 Птн 01:35:21  119581735
14576493214400.jpg (22Кб, 476x353)
>>119581531
Я погроммист, а не физик.
Аноним 11/03/16 Птн 01:35:38  119581760
>>119581656
подожди пару минут, скачаю программу, в которой смогу нормально формулы писать
Аноним 11/03/16 Птн 01:37:50  119581917
ОП, где учишься? Хочу быть инженером, куда поступать? физтех нахуй
Аноним 11/03/16 Птн 01:38:34  119581965
>>119581917
мифи. Чего именно ты хочешь, чем из физики увлекаешься?
Аноним 11/03/16 Птн 01:39:39  119582028
>>119581656
так, а что именно у тебя комплексное то? синут действительный для любого действительного аргумента какбэ
Аноним 11/03/16 Птн 01:42:37  119582188
>>119579325
Не любая, функция должна быть дифференцируемой! От того, насколько она дифференцируема (конечно или бесконечно ) зависит вид остаточного члена ряда в случае прибшмженного вычисления
Аноним 11/03/16 Птн 01:42:45  119582194
>>119581656
всё блять, я понял. Видимо пора спать. я читаю "иррациональность", а вижу "комплексность"
Аноним 11/03/16 Птн 01:42:50  119582200
>>119582028
Э... при чем тут комплексное?
Аноним 11/03/16 Птн 01:43:12  119582220
>>119582200 ->>>119582194
Аноним 11/03/16 Птн 01:44:13  119582287
>>119582194
Смори. Есть у нас (в той формуле выше) какой-нить угол альфа (скажем pi/7 или еще какой-нить). Надо найти такой дельта, при котором с любым целым n получим рациональное значение функции.
Аноним 11/03/16 Птн 01:45:43  119582374
>>119581965
Мне вообще геология нравится, сейсмография, землю изучать. В мск есть подобное?
Аноним 11/03/16 Птн 01:48:57  119582547
>>119582287
анон, не сталкивался с такими задачами, но очень интересно стало. Дальта малый параметр?
Аноним 11/03/16 Птн 01:49:36  119582588
>>119582374
В Бауманке чем то подобным занимаются вроде.
Аноним 11/03/16 Птн 01:52:30  119582775
>>119582547
>Дальта малый параметр?
>>119581656
>дельта - маленькое число

Но это как-бы вообще не существенно.
Аноним 11/03/16 Птн 01:55:36  119582965
>>119582588
Бауманка больше физика. Есть керосинка и государственная геологическая, вот там об этом
Аноним 11/03/16 Птн 01:57:39  119583088
14576506593770.jpg (57Кб, 988x459)
>>119582775
у меня есть ебанутые идеи, типо прикрепленной.
Но ведь это же неправильно?

Я не очень имею представления, как такие номера делать. повторяю, не сталкивался.

Если знаешь, чем это делать, не ливай, расскажи)
Аноним 11/03/16 Птн 01:58:29  119583140
>>119582965
для этих штук кроме физики нужно еще географию для поступления сдавать. И вроде бы не инженером будешь в дипломе
Аноним 11/03/16 Птн 02:04:43  119583487
>>119582775
анон, если ты еще тут, оставь фэйкомыльце. я щас свалю спать, завтра помучаю этот вопрос. Если что то получится-напишу
Аноним 11/03/16 Птн 02:08:02  119583672
>>119583487
[email protected]
Аноним 11/03/16 Птн 02:08:40  119583716
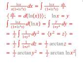
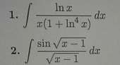
14576513208060.png (40Кб, 236x128)
Помоги с интегралами, няша-ОП. Заранее спасибо.
Аноним 11/03/16 Птн 02:11:56  119583902
>>119583716
почти ушел. щас
Аноним 11/03/16 Птн 02:16:16  119584125
14576517764610.jpg (39Кб, 767x410)
>>119583716
первый
Аноним 11/03/16 Птн 02:20:50  119584362
14576520509430.jpg (48Кб, 468x360)
>>119583716
второй
Аноним 11/03/16 Птн 02:22:07  119584440
>>119584362
>>119584125
Благодарю за помощь ещё раз. Доброй ночи тебе, если спать идёшь.
Аноним 11/03/16 Птн 02:25:31  119584629
>>119584440
теперь точно ухожу)
Аноним 11/03/16 Птн 02:25:37  119584639
14576523374970.png (11Кб, 400x400)
Ты молодец, ОП, доброе дело делаешь. Всего хорошего тебе.
Аноним 11/03/16 Птн 02:36:05  119585168
14576529655140.jpg (33Кб, 1106x73)
Задача не сложная, я просто устал, завтра с нее начну

[Назад][Обновить тред][Вверх][Каталог] [Реквест разбана] [Подписаться на тред] [ ] 89 | 20 | 22
Назад Вверх Каталог Обновить

Топ тредов