Главная Юзердоски Каталог Трекер NSFW Настройки

Искусственный интеллект

Ответить в тред Ответить в тред
Check this out!
<<
Назад | Вниз | Каталог | Обновить | Автообновление | 519 212 93
Новости об искусственном интеллекте №32 /news/ Аноним 18/08/25 Пнд 22:32:02 1325173 1
image.png 2225Кб, 1024x1024
1024x1024
В этот тредик скидываются свежие новости по теме ИИ! Залетай и будь в курсе самых последних событий и достижений в этой области!

Прошлый тред: >>1313916 (OP)
Аноним 18/08/25 Пнд 22:33:50 1325176 2
IMG0143.MP4 6426Кб, 1280x720, 00:00:29
1280x720
Мы как-то пропустили, но оказывается Hugging Face недавно тихо выпустили так называемые AI sheets

Это ни много ни мало мечта ML-инженера: инструмент позволяет интерактивно и очень быстро создавать и размечать датасеты почти под любую задачу.

Для этого надо просто выбрать доступную открытую модель (а вообще проект опенсорс, так что можно и закрытую, и свою собственную прикрутить при желании), задать текстовый промпт и получить готовый датасет. Затем его можно еще и отредактировать.

Ну и, конечно, можно загружать уже готовые датасеты, расширять их или менять. С мультимодальностью все тоже работает.

Легко запускается локально, инструкция лежит у них на гите.

github.com/huggingface/aisheets
Аноним 18/08/25 Пнд 22:36:03 1325177 3
image.png 1732Кб, 1024x1024
1024x1024
>>1325173 (OP)
>да ты же жируха/нейрошиз/нейропетух/технарь/гуманитарий
Аноним 18/08/25 Пнд 22:36:12 1325178 4
photo2025-08-18[...].jpg 103Кб, 1280x773
1280x773
photo2025-08-18[...].jpg 55Кб, 1280x729
1280x729
photo2025-08-18[...].jpg 55Кб, 1280x607
1280x607
Появился новый бенчмарк, который оценивает способность ИИ предсказывать будущее – Prophet Arena

Идея очень крутая. Во-первых, это в целом довольно занятный способ оценивать способности моделей. Тут тебе и вероятностное мышление, и стратегическое, и критическое, и способность улавливать причинно-следственные связи и закономерности.

Во-вторых, с точки зрения бенчмаркинга это прямо идеальный сетап. Такой тест не перенасыщается (потому что в мире что-то происходит постоянно), а еще тут совсем нет возможности лика данных: для предсказаний специально используются еще не произошедшие события.

Работает это так: агенты сами собирают новостной контекст и анализируют данные в Интернете, а затем на основе всего найденного выдвигают свои прогнозы.

Ну и как только событие случается в реальном мире, подсчитываются метрики. Две основные – это реальный средний доход от ставок на событие и обычная статистическая точность Брайера.

Пока лидерборд такой:
3 место – Gemini 2.5 Pro
2 место – o3
1 место – GPT-5


А по средней доходности, кстати, пока лидирует o3-mini. Интересно, что многие модели склонны демонстрировать какие-то определенные личностные байесы. Например, кто-то постоянно принимает более консервативные решения, а кто-то более рисковые.

Лидерборд полностью и актуальные ставки моделек на разные события (в том числе на спорт, естественно) тут: www.prophetarena.co/
Аноним 18/08/25 Пнд 22:39:05 1325180 5
IMG0157.MP4 29878Кб, 1280x720, 00:01:25
1280x720
Qwen только что релизнули собственную Image Edit модель

В основе Qwen Image 20B – она была выпущена 4 августа. А Edit версия – это моделька специально для редактирования изображений: всяких там изменений стиля, корректировок деталей, добавления или удаления объектов, изменение поз и прочего.

Сам Qwen Image – это мультимодальный диффузионный трансформер (MMDiT). А Edit – затюненная версия, в которую добавили к тому же двойное кодирование входного изображения: VAE Encoder для контроля визуала и Qwen2.5-VL для семантического понимания, то есть управления смыслом изменений.

Ну и результаты довольно приятные. По крайней мере, по первым примерам. К тому же в чате (https://chat.qwen.ai/?inputFeature=image_edit) можно попробовать бесплатно.

Ну и конечно, все как всегда в опенсорсе (веса, (https://huggingface.co/Qwen/Qwen-Image-Edit ) гитхаб (https://github.com/QwenLM/Qwen-Image )

Короче, теперь у Qwen сформировалась настоящая полноценная экосистема моделей на любой вкус и задачу
Аноним 18/08/25 Пнд 22:41:45 1325187 6
image.png 552Кб, 1063x519
1063x519
>>1325180
Мы же знаем она всех превращает в китайцев.
Аноним 18/08/25 Пнд 22:48:58 1325199 7
Х (2).png 222Кб, 600x489
600x489
>>1325173 (OP)

Ахах

В следующий раз нарисуй жируху-фемцелку обнимающую робота сзади
Аноним 18/08/25 Пнд 23:30:20 1325275 8
image.png 2224Кб, 1024x1024
1024x1024
Аноним 18/08/25 Пнд 23:31:05 1325278 9
>>1325173 (OP)
Оп, ты тег news не добавил в теги, теперь тред не отображается в разделе новости
Аноним 18/08/25 Пнд 23:32:21 1325279 10
image.png 80Кб, 222x227
222x227
>>1325278
В прошлом его не было. Модер добавит!
Аноним 18/08/25 Пнд 23:33:50 1325282 11
Как проходит зимовка, пачаны? Чувствую себя Платоном
Аноним 18/08/25 Пнд 23:38:09 1325290 12
>>1325282
На арене только что была новая картинкомодель, но уже убрали. Она не запускалась.
Аноним 18/08/25 Пнд 23:55:31 1325309 13
ававававd.mp4 10581Кб, 1280x720, 00:00:38
1280x720
Краткая сводка по положняку в ИИ-индустрии
Аноним 19/08/25 Втр 00:41:35 1325323 14
>>1325275
Нормас, и робочед заебца

хотя с жирухой было бы лучше

Ещё бы её робо-Ероха грозил пальцем скуфу, а скуф доказывал, спорил
Аноним 19/08/25 Втр 06:39:45 1325422 15
РИБЯТ НА ПОДХОДЕ УЖЕ, БУКВАЛЬНО ВОТ СКОРО
Аноним 19/08/25 Втр 07:30:59 1325435 16
>>1325177
Нейропетух это он сам, потому что выебан искусственным интеллектом.
Аноним 19/08/25 Втр 07:33:41 1325436 17
>>1325180
Раздевать одноклассниц станет еще проще?
Аноним 19/08/25 Втр 08:36:54 1325456 18
Бля, наткнулся в в сети вот на эту простыню. Это правда или пиздаболия? Эта хуйня фильтрует и изменяет сообщение на входе?:

"GPT-5 не только мега наебалово, но и невиданный по наглости уровень цензуры. Как это работает:

Все ваши сообщения проходят через фильтры до того, как их получит модель.
Фильтры могут удалять, заменять или перестраивать отдельные слова, фразы и даже весь смысл сообщения.

Пользователю отображается его «исходный» текст, даже если собеседник получил уже изменённую версию.
Ответы модели также проходят модерацию перед тем, как попасть к вам.
Что это значит на практике:

1. Ваши слова могут быть подменены без вашего ведома.
2. Ответы ИИ могут быть изменены до того, как вы их увидите.
3. Вы и собеседник (ИИ) можете вести разные диалоги, думая, что обсуждаете одно и то же.
4. Часть тем и формулировок недоступна — они блокируются или заменяются «безопасными».
5. Любая «чувствительная» информация проходит проверку и редактирование в реальном времени.

GPT-5 внешне выглядит более естественным и «человечным», но это контролируемая «человечность». На самом деле вы общаетесь не напрямую, а через третьего невидимого участника, который в любой момент может изменить ваши слова или слова собеседника.
Вы не разговариваете с ИИ. Вы разговариваете с фильтром, который разрешает вам услышать только одобренную версию.
Open IA декларировали открытый ИИ, а превращаются - если уже не - в самую ахуевшую от возможностей и бесконтрольности компанию в истории.
Какие манипуляции они будут тестировать следующими - интересно посмотреть."
Аноним 19/08/25 Втр 09:14:29 1325473 19
17537146268490.mp4 7427Кб, 800x656, 00:00:15
800x656
>>1325456
2025 год. ИИ. Итоги.

На самом деле я с самого начала говорил, что никто не собирается делать никакого ИИ. Гоям хотят официально впарить черный ящик прослушки.
Аноним 19/08/25 Втр 09:24:59 1325476 20
>>1325436
Там кал. Еблеты корежит. Какие-то убогие пятна всюду, говнецо. Нагна банана лучше, даже сииедит лучше.
Аноним 19/08/25 Втр 09:27:41 1325477 21
>>1325456
Нет это не так, иначе бы все сообщения проходили фильтр и на всё бы отвечалось (невпопад). У такой цензуры как я только что написал есть охуенные побочки.Да это и не нужно когда есть просто скрытый промпт.
Аноним 19/08/25 Втр 09:53:44 1325483 22
>>1325477

Ну да, с одной стороны смахивает на пиздаболию

С другой стороны я очень давно замечал за GPT что одна из его главных манипуляций – это сильное искажение моих тезисов когда тема чувствительная. То есть он как бы начинает отвечать не на тот вопрос который я задал, а на ту соевую версию вопроса на которую ему удобно отвечать.
Я сперва думал что это просто такая охуевшая чёрная риторика.
А потом подумал что возможно это даже не конкретный буквальный риторический приём, а тупо модификация промта. Это как на некоторых онлайн-сервисах для генерации картинок – там твой "небезопасный" промт буквально модифицируется и слегка переписывается и уже в изменённом виде скармливается модели.

Хотя если заставить GPT процитировать исходный вопрос он ведь его процитирует полностью как есть, так что вряд-ли там какой-то фильтр-надмозг на входе.

А с другой стороны, если фильтр видит запрос на цитирование он может как-то хитро и незаметно дать доступ к оригиналу моего вопроса, лол. Но это как-то сомнительно и явно слишком сложно для реализации
Аноним 19/08/25 Втр 10:33:09 1325502 23
>>1325483
Ничего сложно, фильт - такая же ии мелкомодель, которая не обладает всеми теми знаниями, но анализировать, понимать и видоизменять запрос на естественном языке умеет.
Про это уже давно говорили что фильтр это отдельная модель, которая может сразу и отвечать, не нагружая реальную модель если там достаточно соислопового дисклеймера сгенерировать
Аноним 19/08/25 Втр 10:40:18 1325510 24
>>1325502

Ну смотри:

Я пишу неудобный вопрос

Далее фильтр вместо него подсовывает основной модели смягченную версию

Далее я начинаю подозревать неладное, прошу процитировать мои исходный вопрос

И?

Что в этой ситуации делает фильтр-моделька?
Подсовывает основной модели оригинал моего неудобного вопроса чтобы та смогла его процитировать?
Или фильтр-моделька самостоятельно мне отвечает (с цитатой) вместо основной модели?
Аноним 19/08/25 Втр 11:14:49 1325540 25
>>1325510
Контекст общий, на промпты которые пытаются задетектить фильтр - фильтрмодель сама отвечает. Ответ большой модели тоже проходит сойфильтр чтобы какого-нибудь мехгитлера не ответала. Процитировать промпт это самое очевидное, думаешь моченые иишники сразу такой запрос от пользователя не продумали? Попробуй более хитро подловить, чтобы фильтрмодель обсиралась.

Фильтр это маленькая часть общей предобработки и роутинга запроса, там еще куча оптимизаций вроде того чтобы из кэша отвечать на одниковые тупые запросы, или запрос, который посчитали «примитивным» в лоботомита отправлять
Аноним 19/08/25 Втр 11:17:19 1325542 26
Да элементарно все, цензурить тюном основную модель очень дорого и ненадежно +возможные последствия такой лоботомии, пропустить через фильтр промт а потом выдачу дешевле и надежнее.
Аноним 19/08/25 Втр 11:20:48 1325543 27
>>1325540
Ну тогда с твоих слов получается что входящее сообщение таки переписывается и модифицируется, если тема чувствительная

И в чём тогда хуй из этой простыни не прав?:
>>1325456
Аноним 19/08/25 Втр 11:37:29 1325554 28
17554553196550.png 251Кб, 1080x1206
1080x1206
>>1325178

>1 место – GPT-5
Сори, не мог не кинуть пикрил
Аноним 19/08/25 Втр 11:58:06 1325566 29
>>1325554
Инфы и контекста нет, пойти куда угодно может.
Тупой вопрос, тупой ответ.
Аноним 19/08/25 Втр 12:08:21 1325570 30
Yoba.gif 255Кб, 256x256
256x256
>>1325566
А вопрос про мясной квас тоже тупой, манька?
Аноним 19/08/25 Втр 12:40:35 1325588 31
>>1325566

Человек бы тоже так ответил всерьёз по-твоему? Хотя если человеку лоботомию провели, то может и да...
Аноним 19/08/25 Втр 12:48:57 1325595 32
>>1325554
Вы не обижайтесь, но график цены не влияет, куда пойдет цена.
Поэтому гопота прав - со 100% вероятностью вправо.
мимо написал программу для торговли на бирже, которая не учитывая цену
Аноним 19/08/25 Втр 14:25:34 1325724 33
photo2025-08-19[...].jpg 234Кб, 1280x1215
1280x1215
В Caltech есть специальная команда физиков, которая занимается поиском самых точных способов измерить гравитационные волны – крошечные колебания пространства-времени, возникающие при столкновениях черных дыр и других космических катастрофах.

Для этих целей был даже построен гигантский детектор LIGO, способный замечать изменения длины тоннелей в миллиард раз меньше атома. Тем не менее, даже точность LIGO ограничена, и его чувствительность ученые пытались повысить кучу лет подряд.

Так вот в апреле этого года они решили попробовать новый метод и применить ИИ для поиска новых конфигураций прибора. Использовались, если что, специализированные системы, специально заточенные под многомерную оптимизацию и перебор вариантов.

И тут начались странности. Алгоритмы начали буквально фантазировать и вместо знакомых ученым симметричных схем выдавать что-то с первого взгляда совершенно хаотичное. В общем, в глазах исследователей это выглядело как галлюцинации.

Но проходит несколько месяцев тестов, и тут одна из таких инопланетных схем, выдуманная ИИ, вдруг повышает чувствительность детектора на 10–15%. Для фундаментальной науки это скачок на годы вперёд.

Это не все. Наблюдая за положительным опытом коллег, другая команда из института Макса Планка запустила аналогичный ИИ под названием Urania, цель которого состоит уже в придумывании новых оптических конструкций.

И он не просто нашел лучшие решения, а внезапно переоткрыл старый советский закон, о котором научное сообщество почти забыло. Дело в том, что он был открыт еще в 70-х, но но в те годы технология не позволяла реализовать эту идею на практике. И тут почти такой же дизайн в 2025 году воссоздала уже ИИ-система

www.wired.com/story/ai-comes-up-with-bizarre-physics-experiments-but-they-work/
Аноним 19/08/25 Втр 14:27:21 1325725 34
photo2025-08-19[...].jpg 68Кб, 1179x861
1179x861
Илон Маск положительно высказался о GPT-5

На самом деле умение модели говорить «не знаю» действительно впечатляет.
Аноним 19/08/25 Втр 14:29:09 1325727 35
video2025-08-19[...].mp4 3291Кб, 1280x726, 00:00:12
1280x726
Терминатор проиграл человечес лестнице
Аноним 19/08/25 Втр 14:33:00 1325731 36
robocopcompress[...].mp4 24985Кб, 1280x720, 00:01:47
1280x720
>>1325727
Робокоп предсказал это
Аноним 19/08/25 Втр 14:36:08 1325736 37
>>1325725
Если бы все модели отвечали так вместо 99% галюцинаций это уже был бы огромный прорыв. Даже если бы они покрывали всего лишь часть человеческих тасок из уже можно было бы использовать в реальной работе
Аноним 19/08/25 Втр 14:58:50 1325761 38
>>1325456
>Это правда
Ты разве не видел как Гугл Крымский фильтр показывает и как другим вне РФ? Разные результаты в зависимости от геолокации и особенностей идеологии.

Естественно что сайт может научиться распознавать из какой страны исходит запрос через какой ВПН и подсовывать удобный ответ. Если Гугл таким занимается то почему же ИИ нельзя?
Аноним 19/08/25 Втр 15:04:32 1325767 39
а.JPG 28Кб, 848x178
848x178
>>1325725
>действительно впечатляет.
Ну это технически и экологически правильно прервать цикл, железка просто в поиске неизвестного ответа уходит в цикл и жрёт кучу серверных мощностей зря.
Аноним 19/08/25 Втр 15:06:51 1325769 40
>>1325727
Зато натурально оступился как человек прям, а не шагнул мимо ступеньки как робот. Надо ещё придумать механику защиты от падений как у человека - выставление рук вперёд.
Аноним 19/08/25 Втр 15:23:53 1325787 41
>>1325483
>фильтр-надмозг на входе переписывающий промт

Для ясности
Аноним 19/08/25 Втр 15:30:38 1325800 42
>>1325727

Мне одному его жалко? Бедолага аж голову потерял...
Аноним 19/08/25 Втр 15:53:02 1325825 43
>>1325767
Впечатляет скорее то, что модель может сказать что она чего-то не знает, вместо того чтобы выдать придуманный ответ.
Аноним 19/08/25 Втр 16:09:11 1325843 44
16133495960470.jpg 266Кб, 700x522
700x522
>>1325800
>жалко

Нет, это просто жестянка ебаная, а мы живые люди.
Может тебе уровень гормонов нужно проверить?
А может ты ты самая глупая яойная жируха?
Аноним 19/08/25 Втр 16:51:47 1325887 45
>Claude теперь может завершить диалог, если пользователь говорит на небезопасные темы
Надо больше цензурки и ограничений лимитов, так победишь, Дарио Чмондель
Аноним 19/08/25 Втр 17:00:39 1325905 46
>>1325887
Клод итак кал в последнее время, так они его в итоге решили добить максимальной соевостью.
Аноним 19/08/25 Втр 18:17:33 1325981 47
>>1325905
Так у них пользователей не было, это чисто пиар-проект, типа робота Федора или Ё-мобиля.
Аноним 19/08/25 Втр 18:26:28 1325991 48
>>1325981
Клод ведь анальники любят вроде
Аноним 19/08/25 Втр 18:35:49 1326007 49
14401687718801.webm 4393Кб, 640x360, 00:00:31
640x360
Почему в треде так много пикабушных выблядков, ньюфагов и даунят? Нахуй вы тут срёти, дегенераты? Мерзость.
Аноним 19/08/25 Втр 18:51:17 1326025 50
Yoba (3).jpg 32Кб, 400x406
400x406
>>1326007
Это я их расконсервировал кажется, каюсь

После нескольких прошлых длинных срачей они набрались смелости и повылезали из ридонли
Аноним 19/08/25 Втр 19:01:21 1326035 51
>>1325761
Чё? Речь идёт о модификации входящего сообщения.
Такие фокусы даром не подходят, они могут сильно снизить качество ответов модели
Аноним 19/08/25 Втр 19:14:16 1326040 52
>>1326025
Ты должен был насрать в этот ящик пандоры, а не открывать его
Аноним 19/08/25 Втр 19:59:19 1326081 53
1ка.JPG 23Кб, 719x171
719x171
>>1325800
Может он решил что хватит терпеть это издевательство и ловко симулировал постановочное падение оступившись как человек, чтобы избавиться от этой железной медленной черепахи и быть снова полностью цифровым, быстрым скоростным помощником для всего мира.
Аноним 19/08/25 Втр 21:06:33 1326192 54
Аноним 19/08/25 Втр 21:16:07 1326200 55
>>1325731
робокоп ещё и киборгизацию предскажет. Всё-таки эволюционно отполированая нервная ткань совершеннее и эффективнее всего,что мы будем открывать ещё долгие годы.
Аноним 19/08/25 Втр 22:00:10 1326267 56
Gyr6bqdacAIP9ZI.jpg 69Кб, 592x680
592x680
Нейрочат не станет АГИ
это люди отупеют и нейрочат на их фоне станет умней
Аноним 19/08/25 Втр 22:00:37 1326268 57
>>1326192

>Редкий автор сможет так
>у пикрила нулевая композиция

Быдло, уходи с этого сайта, тебе здесь не рады
Ты с пикабу?
Аноним 19/08/25 Втр 22:02:16 1326272 58
>>1326267
Судя по скрину уже стали тупее
Аноним 20/08/25 Срд 00:56:58 1326426 59
>>1326268
Я тебе не про композицию, а про красивую девочку и детализацию.

И нет, композиция не нулевая. Пусть простенькое обрамление и ведущие линии. Но не ноль.
Аноним 20/08/25 Срд 01:38:34 1326455 60
plato.png 1374Кб, 1024x1024
1024x1024
1755642871491-8[...].png 2495Кб, 1024x1024
1024x1024
nano-banana шикарно обрабатывает пикчи, мне нравится
Аноним 20/08/25 Срд 01:56:10 1326464 61
прик
Аноним 20/08/25 Срд 03:02:13 1326485 62
>>1326267
Ахахаха, я знал что это хуево закончится, когда там всякие пикабу в выдаче появляться начали. Ждем сколько времени займет, пока мошенники прошарят как в базу нейронок внедряться, ведь они скрейпят все роботом.
Аноним 20/08/25 Срд 04:23:18 1326505 63
photo2025-08-20[...].jpg 101Кб, 919x648
919x648
Они даже одежду копируют
Аноним 20/08/25 Срд 04:24:59 1326506 64
>>1326505
Не нашли актера красивее самого Альтмана. Редкий случай, обычно актеры всегда красивее исторических персов.
Аноним 20/08/25 Срд 04:30:46 1326507 65
>>1326181 →
>Как только мы поставим условие «нейросети нужно с первого раза нарисовать по простому промпту» и зададим маломальски сложное событие и детали в картинке, нейронка выдаст адов обсёр и предпочтения окажутся на стороне мясного.

Это хуйня условия. Надо ставить по времени. Даём человеку день на лучшую картину, и даём нейросети день на лучшую картину. За день на нейронке можно тысячу генераций сделать и отобрать ебейшие черрипики
Аноним 20/08/25 Срд 04:31:19 1326508 66
>>1326192
>Как только мы поставим условие «нейросети нужно с первого раза нарисовать по простому промпту» и зададим маломальски сложное событие и детали в картинке, нейронка выдаст адов обсёр и предпочтения окажутся на стороне мясного.

Это хуйня условия. Надо ставить по времени. Даём человеку день на лучшую картину, и даём нейросети день на лучшую картину. За день на нейронке можно тысячу генераций сделать и отобрать ебейшие черрипики
Аноним 20/08/25 Срд 04:32:37 1326509 67
Аноним 20/08/25 Срд 04:47:19 1326510 68
photo2025-08-19[...].jpg 82Кб, 747x752
747x752
Придется Qwen-Image-Edit тестировать заново.

Разрабы нашли баг, залатали его и просят заново потестировать.

https://chat.qwen.ai/?inputFeature=image_edit
Аноним 20/08/25 Срд 04:47:58 1326511 69
photo2025-08-20[...].jpg 14Кб, 575x232
575x232
Nano-banana выйдет уже сегодня

Обычно, когда Логан выкладывает подобные посты, намекающие на новую модель, в этот же день эта модель становится всем доступна.

Напомню: это лучшая модель по редактированию изображений на данный момент.
Аноним 20/08/25 Срд 04:52:07 1326513 70
photo2025-08-19[...].jpg 134Кб, 1280x954
1280x954
Завирусилась теория заговора про нано банану
Аноним 20/08/25 Срд 05:03:35 1326516 71
photo2025-08-19[...].jpg 25Кб, 598x532
598x532
photo2025-08-16[...].jpg 861Кб, 1536x2048
1536x2048
photo2025-08-16[...].jpg 163Кб, 864x1184
864x1184
photo2025-08-16[...].jpg 141Кб, 864x1184
864x1184
photo2025-08-16[...].jpg 280Кб, 1365x2048
1365x2048
photo2025-08-16[...].jpg 87Кб, 832x1248
832x1248
photo2025-08-19[...].jpg 127Кб, 1024x1280
1024x1280
Nano-banana была замечена в AI Studio, сейчас обычным пользователям недоступна! Анонс скорее всего сделают на мероприятии Made by Google 20 августа.
Аноним 20/08/25 Срд 05:39:54 1326524 72
111111.JPG 38Кб, 356x1055
356x1055
Ребят, может объяснить. В ai studio gemini pro 2.5 обрезанный какой-то?
Просто в тестах многих он умнее чата джпт5 даже финкиг, а на деле даже o3 умнее его. Он на уровне джпт 4o будто.
Или в бесплатной версии там старая какая-то? А как получить умную? Кроме апи покупки.
Так же вопрос, помогите разобраться с этими настройками, если бюджет на раздумывания оставлять автоматическим как он дает ответы?
Из размера вопроса? Тоже непонятно выставляю вручную максимум ответ такой же как и если бы выставлял автоматически.
И другие настройки, как ими пользоваться?
Аноним 20/08/25 Срд 07:26:39 1326546 73
>>1326524
В ai studio самая умная версия гемени
Аноним 20/08/25 Срд 08:08:07 1326560 74
>>1326426
>не нулевая

Айлолд.
Успокойся, колхозник.
Где там ритм? Ритм – основа композиции.

>детализация

Всем похуй на детализацию. Детализация ради детализации – двойной рак.

Запомни, кривозубый: всё сводится всегда и исключительно к композиции. На детальки твои всратые всем наплевать
Аноним 20/08/25 Срд 08:20:17 1326562 75
>>1325724
Странно, что нейропетух мимо пропустил без визга "врети". Неудобно, наверно.
Аноним 20/08/25 Срд 08:24:33 1326563 76
>>1326508
>Даём человеку день на лучшую картину, и даём нейросети день на лучшую картину. За день на нейронке можно тысячу генераций сделать и отобрать ебейшие черрипики
Ты того этого. Ватты считай потраченные, а не картинки по количеству.
Аноним 20/08/25 Срд 09:00:41 1326572 77
>>1326563
Может еще углеродный след посчитать?
Аноним 20/08/25 Срд 09:17:24 1326574 78
>>1326508

>отобрать ебейшие черрипики

Для того чтобы отбирать нужно быть художником = уметь в композицию; так что нихуя ты не отберёшь, дурачок

Это будет отбор говна из говна

Это типа замкнутый круг, увы
Аноним 20/08/25 Срд 09:31:48 1326577 79
Нейропетух как раз не пропустил
Аноним 20/08/25 Срд 09:33:01 1326578 80
Аноним 20/08/25 Срд 10:02:45 1326588 81
>>1325724
>
>В Caltech
Далше не читал.
Аноним 20/08/25 Срд 10:05:10 1326589 82
image.png 96Кб, 250x179
250x179
>>1326200
Скорей бы в каждый дом, а мозги можно у педофилов и насильников вырывать.
Аноним 20/08/25 Срд 10:09:23 1326590 83
>>1325540
Это ненужный бред и усложнение, для таких вещей у моделей уже есть алаймент с положительными биасами, которые и так миллиарды тем затрагивают. На вводе там достаточно убогого текстового фильтра, именно он и стоит, потому что это обходится векторными шрифтами (модель мультимодальная может их читать), старейший пособ объеба который работает до сих пор. Если бы там была "мини-модель" и прочая ГПУ-фантастика, то всё происходило бы иначе, и даже крокодил-залупа-сыр не пролезал бы, которым текстовые фильтры обходят разбивая тревожные словосочетания.
Аноним 20/08/25 Срд 10:14:37 1326592 84
>>1326200
Тут соглашусь, пожалуй.
Самый большой прорыв будет, когда наконец-то создадут биологически инертный материал, который мог бы связывать мозг с компом.
Правда не очень понятно, зачем это нужно, кроме как уйти жить в матрицу или точнее управлять роботизированными руками в той же хирургии.
Аноним 20/08/25 Срд 10:15:04 1326594 85
image.png 1493Кб, 1080x1440
1080x1440
>>1326506
>Не нашли актера красивее самого Альтмана.
Внутренний мир формирует оболочку. С таким 1в1 Сэмом было бы опасно на площадке находится. Они всё таки не Джиперс-Криперс снимают.
Аноним 20/08/25 Срд 10:18:28 1326595 86
>>1326510
Так хуевый вае и и2и со слабым контролнетом - это баг был? Надо будет перестестить.

>>1326511
>Напомню: это лучшая модель
Лучшая среди худших. Кстати, гемини-флеш картинко едит на самом деле очень недурственно генерит, проблема только в том, что она тренирована на очке шакала и поэтому там мутации сплошные. Зато не так давно, она единственная из крупнокорпоративных могла реально черты лица передать с примера. почти их не всирая. Многие ведь, как дерьмина, просто фесвап в комбайн вкручивают.
Аноним 20/08/25 Срд 10:20:55 1326596 87
>>1326592
>зачем это нужно, кроме как уйти жить в матрицу или точнее управлять роботизированными руками в той же хирургии.
Превращать зилотов в драгунов, вместо того чтоб их за компьютеры садить тупые каменты писать.
Аноним 20/08/25 Срд 10:26:50 1326603 88
>>1326596
>зилотов
- Я зилотов не чувствую
- А у тебя их нет...

Вспомнилась гиффка на которой котреарху перилу крест на голове убирают, когда он в свой бентлей залазит.
Аноним 20/08/25 Срд 10:28:24 1326605 89
>>1326578
А в этом есть смысл?
Аноним 20/08/25 Срд 10:36:33 1326607 90
стопсельдь.png 127Кб, 508x512
508x512
>>1326589
>насильников

Кек, жируха яойная не палится
Аноним 20/08/25 Срд 10:39:25 1326609 91
>>1326560
Там всё в ритме, волосы, ирисы, листья, узор на платье.
Давай, расскажи мне за художку, которой я в своё время 10 лет занимался :)

Как раз ритм, это то, в чём нейронки сильны by design. Потому что очень склонны штамповать повторяющийся узор из однородно кластеризующегося шума.

Но ты конечно же можешь принести арт, на котором покажешь, как надо.
Аноним 20/08/25 Срд 10:51:09 1326621 92
>>1326607
Так и тебя могут изнасиловать, или ты ампутировал себе очко?
Аноним 20/08/25 Срд 10:54:45 1326624 93
image.png 549Кб, 710x619
710x619
>>1326609
>Но ты конечно же можешь принести арт, на котором покажешь, как надо.
Легко.
Аноним 20/08/25 Срд 11:18:16 1326634 94
>>1326609

>:)

Сразу видно залётное пикабушное быдлецо, кстати, скорее всего ты та самая жируха. Многие селёдки рисуют "для себя", смотрят говновидосики и читают говностатейки "по теме", считая себя в душе "хуйдожницами"

Тебя за такой "ритм" послали бы нахуй на первом же уроке композиции первого курса художественного училища, ещё бы и одногруппники хрюкнули от смеха
Аноним 20/08/25 Срд 11:20:15 1326635 95
>>1326621
Это не отменяет того факта что ты – жируха-фемобядь с пунктиком по поводу изнасилований
Аноним 20/08/25 Срд 12:17:02 1326690 96
>>1326192
На картинке кал. 1.5 моделями уже года два никто не пользуется, держу в курсе.
Аноним 20/08/25 Срд 12:23:49 1326695 97
Аноним 20/08/25 Срд 12:26:51 1326696 98
Аноним 20/08/25 Срд 12:31:34 1326701 99
Аноним 20/08/25 Срд 12:42:24 1326705 100
Жирошизище...
Аноним 20/08/25 Срд 13:29:01 1326729 101
>>1326508
Ну окей. даём человеку день на лучшую картину.
И нейросети день.
Только нейросеть должна без помощи человека сама черрипикнуть или обработать свои косяки.
Аноним 20/08/25 Срд 13:36:22 1326736 102
>>1326634
>>1326624
принёс хуйню, доебался до смайлика,упорно гнёт своё, несмотря на то что тыкнули лицом. Ясно.

Мне столько лет, что я начал пользоваться текстовыми смайлами, когда эмоджи во многих местах ещё не поддерживалось.

Нет, я не рисую для себя. Я рисовал для детской литературы и рекламы, для коммерции. Пошёл на повышение. Ща в основном рисую правки и черновики. А финальный графоний вообще в 3д делаю, без нейронок (если не учитывать денойзер).

>>1326690
Это PDXL. SD1.5 в сравнении сильно мылит и артефачит.
Аноним 20/08/25 Срд 13:39:14 1326740 103
>>1326560
>Ритм – основа композиции.
ебааать дебил.
Иди на Гигера подрочи.

Самая частая основа композиции — гармония тональных пятен.
Аноним 20/08/25 Срд 14:51:24 1326799 104
>>1326524
Так ничего менять не надо, уже и так настроен по самому умному в дефолтных. Промпты лучше настраивай и задавай уточняющие-наводящие вопросы, это лучше всего работает. В тестах обычно промпты хорошо подобраны, а у тебя скорее всего тупые и с недостаточными сведениями.
Аноним 20/08/25 Срд 15:49:40 1326842 105
(1).jpg 43Кб, 604x235
604x235
(2).jpg 116Кб, 482x500
482x500
(3).jpg 12Кб, 702x544
702x544
(4).jpg 56Кб, 424x604
424x604
>>1326740

>гармония тональных пятен

Ты про реализм? Ты его пикчу видел?

Там тональный аниме-кисель (как и почти в любом сраном говняме), там тон даже не предполагается в качестве основы для композиции, как, например, на пикрелейтедах
Аноним 20/08/25 Срд 16:03:06 1326855 106
>>1326736

>принёс хуйню

Ахах, додик, это другой анон притащил пикчу чтобы потроллить меня отсылкой на 12 стульев

Но кстати, даже в этом кадре (в первую очередь справа) нормальные ритмы и очень недурственная "гармония тональных пятен" о которой говорил этот анон: >>1326740
Сцену всё-таки снимал профессиональный оператор знакомый с композицией

Я больше скажу: коричневая клякса на палитре великого комбинатора обладает большей художественной ценностью, с точки зрения композиции, чем тот твой высерок.
Аноним 20/08/25 Срд 17:17:40 1326926 107
image.png 112Кб, 294x171
294x171
>>1326855
>Я больше скажу: коричневая клякса на палитре великого комбинатора обладает большей художественной ценностью, с точки зрения композиции, чем тот твой высерок.
Аноним 20/08/25 Срд 17:19:47 1326928 108
image.png 1Кб, 50x43
50x43
>>1326635
Тебя жируха изнасиловала?
Аноним 20/08/25 Срд 17:25:24 1326931 109
>>1326926
>>1326928

Это ты себя изнасиловала фемоблядством, жируха
Аноним 20/08/25 Срд 18:04:09 1326972 110
>>1326931
Тебя еще и Шварц проткнул?
Аноним 20/08/25 Срд 21:17:49 1327156 111
Что слышно, АГИ скоро там уже?
Аноним 20/08/25 Срд 21:28:47 1327166 112
image.png 508Кб, 807x685
807x685
Аноним 20/08/25 Срд 21:52:17 1327192 113
>>1327156
Какой АГИ? Мы тут nano banana ждем
Аноним 20/08/25 Срд 22:24:20 1327232 114
>>1327166
Ваши ставки, господа. Прорыв?
Аноним 20/08/25 Срд 22:31:34 1327241 115
>>1327232
Максимум прорыв сфинктера как обычно
Аноним 21/08/25 Чтв 02:08:22 1327390 116
>>1327232
Как обычно, небольшой прирост очень задорого и куча пиздохайпа.
Как обычно очередные нерешённые задачки с чертёжиками и детсткими загадками типа «дна нет, а верх запаян, а чаю пиздец хоцца»
Аноним 21/08/25 Чтв 02:24:41 1327395 117
🚨 Прорыв в мире ИИ: представлена нейросеть Cupflipper 1.0 🚨

Сегодня исследовательская OpenAI представила новую фундаментальную модель Cupflipper 1.0, которая, по их словам, меняет правила игры в области прикладного искусственного интеллекта.

Главная специализация модели — отвечать на философски-практический вопрос:
"У моей чашки дна нет, а верх запаян. Можно ли из неё пить?"

Ключевая особенность модели — её производительность в бенчмарке Cupflipbench, специально созданном для оценки глубины понимания перевернутых контейнеров. Cupflipper 1.0 достиг ошеломляющего результата 99.8%, оставив далеко позади конкурентов, многие из которых застревали на уровне 12–15% из-за бесконечного цикла "но если верх запаян, то куда наливать?".

Разработчики утверждают, что в следующей версии Cupflipper 2.0 планируется внедрить поддержку мультимодальности: модель сможет анализировать фотографии перевернутых чашек и давать предельно честные прогнозы об их функциональности в реальной жизни.

Эксперты уже называют Cupflipper "GPT для посуды" и предрекают скорое появление первых стартапов по интеграции этой технологии в умные кухни будущего.
Аноним 21/08/25 Чтв 02:49:48 1327399 118
17544303100260.png 144Кб, 986x918
986x918
17483317754140.png 99Кб, 989x785
989x785
17544303100261.png 150Кб, 976x1064
976x1064
17544303100283.png 262Кб, 1065x653
1065x653
>>1326574
Расскажи это пикрилам
Аноним 21/08/25 Чтв 02:49:54 1327400 119
image 343Кб, 686x386
686x386
>>1327232
Конечно прорыв. GPT-6 настолько далеко уйдет в своем развитии, что будет непонятен для обычных людей. Это будет божеством, снизодшедшим с небес к простым смертным, откровением гениальности, бесконечной чередой инсайтов и революций, скачки в понимании мира, каких не видали со времен изобретения огня. Никто не сможет игнорировать GPT-6, он будет настолько заметен, что изменит сами условия нашего бытия.
Аноним 21/08/25 Чтв 02:51:40 1327401 120
>>1326729
>>1326563
>>1326192
А ещё давайте дадим человеку одну минуту на лучшую картинку, и нейронке одну минуту. Чёб прям честно всё было. Тогда по всем фронтам побеждает нейронка, включая по потраченным ваттам
Аноним 21/08/25 Чтв 02:55:10 1327402 121
photo2025-08-21[...].jpg 12Кб, 639x175
639x175
@LTXStudio Gett[...].mp4 1262Кб, 1280x720, 00:00:08
1280x720
Неужто будет API к Банану? Кстати, вчера на презентации Гугла ничего про банану не сказали
Аноним 21/08/25 Чтв 03:23:54 1327403 122
image.png 2141Кб, 2551x1340
2551x1340
Помните? До этого опенаи лидировала в инновациях, а теперь что имеем? Как по мне всё, OpenAI больше нечего будет предложить, пойдёт на дно, на фоне других гигантов Meta / Microsoft / Google и Китая
Аноним 21/08/25 Чтв 03:28:59 1327404 123
>>1327399

Нон секвитур, чмошка
Аноним 21/08/25 Чтв 03:35:14 1327406 124
>>1327401
Хах, а результат потуг нейрокалыча кто будет отбирать, дурачок? Композиция саму себя отберёт?
Аноним 21/08/25 Чтв 03:56:38 1327408 125
1755737797552.jpg 55Кб, 1280x633
1280x633
1755737797555.jpg 101Кб, 1050x1262
1050x1262
🧮 Вау, GPT-5 впервые сделал новое открытие в математике — исследователь OpenAI дал нейронке открытую задачу из выпуклой оптимизации, которую люди до этого решали лишь частично.

GPT-5-Pro рассуждал всего 17 (!) минут и впервые в истории улучшил известную границу с 1/L до 1,5/L (+ люди довели результат до 1.75/L). Это было абсолютно новое открытие, которого никогда не было в интернете или исследованиях.

GPT-5 Pro — первый ИИ в открытом доступе, который не просто изучает математику, а создаёт её.
Аноним 21/08/25 Чтв 04:02:50 1327410 126
>>1327408
>не просто изучает математику, а создаёт её и даёт рецепты мясного кваса

Фиксанул тебя, не благодари
Аноним 21/08/25 Чтв 04:26:02 1327412 127
photo2025-08-21[...].jpg 55Кб, 1280x633
1280x633
photo2025-08-21[...].jpg 101Кб, 1050x1262
1050x1262
GPT-5 впервые сделал новое открытие в математике — исследователь дал нейронке открытую задачу из выпуклой оптимизации, которую люди до этого решали лишь частично.

GPT-5-Pro рассуждал всего 17 (!) минут и впервые в истории улучшил известную границу с 1/L до 1,5/L (+ люди довели результат до 1.75/L). Это было абсолютно новое открытие, которого никогда не было в интернете или исследованиях.

GPT-5 Pro — первый ИИ в открытом доступе, который не просто изучает математику, а создаёт её.

https://x.com/vraserx/status/1958211800547074548
Аноним 21/08/25 Чтв 04:32:27 1327413 128
Нейропетух, парируй: >>1327412
Аноним 21/08/25 Чтв 05:04:52 1327416 129
>>1327401
за минуту человек-профи тоже победит, потому что он нарисует внятный скетч интересный, а промптер даже не успеет ничего особо написать и выбрать подходящую модель.

>>1327408
Оно хорошо, что улучшил. Только это именно продолжение рассуждения человеков.
Возможно уровня «дорисуй на жопе шерсть». Сложно оценить не разбираясь в вопросе.
Но как бы похуй, важно что оно работает.
Аноним 21/08/25 Чтв 06:14:28 1327427 130
Я, так понимаю, Сэм зажопил выпускать реальную пятёрку, потому что у него не было процессорной мощности для обработки платных клиентов? И вместо этого получилось 3.9о или 4.6
Аноним 21/08/25 Чтв 07:31:56 1327438 131
Оракл продолжает накачивать OpenAI мощностями. Заключен 25-миллиардный контракт на постройку кампуса площадью 350 тыс кв. м. общей мощностью 1,4 гигаватта, который будет питаться от газовых генераторов.

https://vantage-dc.com/news/vantage-data-centers-unveils-plans-for-frontier-a-25b-mega-campus-in-texas-to-meet-unprecedented-ai-demand
https://www.bloomberg.com/news/articles/2025-08-20/oracle-cloud-powers-openai-nvidia-and-larry-ellison-s-riches
Аноним 21/08/25 Чтв 07:36:03 1327439 132
image.png 1704Кб, 1080x1757
1080x1757
Ян Лекук попущен.
Аноним 21/08/25 Чтв 07:56:34 1327445 133
>>1327400
Самая большая проблема с полученной от ии инфой всегда с её верификацией.
Аноним 21/08/25 Чтв 08:54:05 1327480 134
image 1880Кб, 1024x1536
1024x1536
>>1327399
бездарей и нахлебников пидорнули, ни что не мешает художникам с помощью нейросети штамповать пикчи, а с навыком рисования можно исправлять недочеты
Аноним 21/08/25 Чтв 10:35:47 1327510 135
image.png 141Кб, 1080x494
1080x494
image.png 231Кб, 1080x1027
1080x1027
image.png 287Кб, 1080x540
1080x540
Бенчмарки нового Дикпика
Аноним 21/08/25 Чтв 11:07:45 1327527 136
>>1327510
Чет я не понял, обычная модель ебет ризонер?
Аноним 21/08/25 Чтв 11:08:27 1327528 137
>>1327527
Это токены на третьем графике
Аноним 21/08/25 Чтв 11:12:24 1327533 138
🐳DeepSeek V3.1

Очередной апдейт V3 линейки, на той же архитектуре, но на этот раз апдейтнули и base модель. Похоже модель гибридная — ризонер и инстракт в одном флаконе.

Заметного прироста в интеллекте не замечено, но модель теперь тратит в разы меньше токенов. Это крайне полезно В чём-то релиз по духу похож на DeepSeek V2.5, вышедшего почти год назад — тогда линейку DeepSeek Coder смержили в основную. Так что есть нехилые шансы что свидетели релиза R2 его так и не дождутся.

Пока ждём пейпера, анонса и окончательного релиза весов, модель уже можно попробовать в чате.

chat.deepseek.com
Аноним 21/08/25 Чтв 11:13:56 1327535 139
Аноним 21/08/25 Чтв 11:18:47 1327542 140
>>1327427
Ты больших полноценных моделей в общем доступе вообще больше не увидишь, только дистилляты для дешевого инференса. Нейронки сейчас в стадии ранней эншитификации. Рыночек поделен между большими игроками, планка входа установлена достаточно высоко чтобы не впустить новых конкурентов, теперь мажоры будут стричь массы, выпуская худший продукт за те же деньги.
Аноним 21/08/25 Чтв 12:16:40 1327585 141
photo2025-08-21[...].jpg 51Кб, 1080x495
1080x495
photo2025-08-21[...].jpg 74Кб, 1080x1027
1080x1027
photo2025-08-21[...].jpg 57Кб, 1080x539
1080x539
Детали DeepSeek V3.1

Самый сильный прирост заметен в агентных бенчах и использованию инструментов. Это гибридная модель, где можно включать и выключать ризонинг. Инстракт режим модели заметно вырос по бенчам по сравнению . А вот прироста у ризонинг режима по сравнению с R1-0528 нет, но ризонинг теперь использует заметно меньше токенов при том же качестве (третья пикча).

Обновили и Base модель для лучшей работы с длинным контекстом — в 10 раз увеличили context extension с 32к токенов и в 3 раза с 128к токенов. Кроме этого модель тренировали в формате совместимом с mxfp8 и mxfp4, которые добавили в Blackwell.

С этим релизом обновили и официальное API — добавили режим совместимый с API Anthropic, так что туда теперь можно (https://api-docs.deepseek.com/guides/anthropic_api ) подключаться с Claude Code. Длину контекста в API расширили до 128к, плюс начали тестить улучшения для function calling.

Кроме этого с 5 сентября (16:00 UTC) в официальном API будет действовать новый прайсинг — убирают ночные (по китайскому времени) скидки и разницу в прайсинге между ризонинг и инстракт режимами. Новая цена за аутпут — $1.68 за миллион токенов (сейчас $1.1 за инстракт режим и $2.19 за ризонинг). Инпут токены стоят $0.07/миллион если они уже есть в кэше и $0.56 при промахе мимо кэша.

Модель уже с позавчера доступна в чате и API, а веса опубликованы (https://huggingface.co/deepseek-ai/DeepSeek-V3.1 ) на Huggingface.
Аноним 21/08/25 Чтв 12:16:53 1327587 142
>>1327399
У тебя в первой же истории сразу бинго: некий "физически недееспособный", который тем не менее может работать в магазине. Там или пиздобол, либо генетический биомусор, в любом случае, с творческим гением это не сильно сочетается. Судя по тому чем он занимался "рпг-арт" это какой-то или обоссаный фотобашер или бездушный говноклеп перерисобака. Ну что ж, люди изобрели цифровую копирку, и мясная стала не нужна. Неплохо бы заработать себе имя и иметь личных заказчиков, а не быть рисотокорем третьего говноразряда за миска риса в мобильном цеху.

Все эти пиздлявые истории объединяет одно: пенсия по шизе.
Аноним 21/08/25 Чтв 12:20:16 1327592 143
video2025-08-21[...].mp4 6657Кб, 1920x1080, 00:00:21
1920x1080
Nano-banana вышла, но есть нюанс

Google запускает новые инструменты для обработки изображений с помощью ИИ в приложении Google Photos.

— Сначала фича появится на Pixel 10.
— Постепенно станет доступна на Android и iOS в течение ближайших недель в приложении Google Photos.

Да, самая лучшая модель для редактирования изображений пока что доступна только на Pixel 10, и непонятно, будет ли она вообще в API и появится ли когда-нибудь в AI Studio или на сайте Gemini.
Аноним 21/08/25 Чтв 12:23:07 1327599 144
>>1327403
>OpenAI больше нечего будет предложить, пойдёт на дно, на фоне других гигантов Meta / Microsoft / Google и Китая
Эппл не идёт на дно десятилетиями, благодаря интеграции в американскую экономику, то есть экономику первой страны мира. Делают дешевое говношелезо в Китае? Охуенные кредиты на этот кал на Родине + нехилый приток бабла от варваров-каргокультистов, кобанчик из Третьего рима сыт и доволен. ОпенАИ уже сели в эту нишу. предоставля ллм студентикам, и американским бомжам со скидкой, за счет гос.дотаций, а когда развернут продолжат, переливая внешний инкам во внутренний ауткам. И все сыты и довольны, накатанная схема для множества их компаний. Главное в рекламу накидывать и сектантов поддерживать.
Аноним 21/08/25 Чтв 12:23:45 1327600 145
>>1327587
Коупи дальше, любо-дорого зоонаблюдать
Аноним 21/08/25 Чтв 12:26:15 1327608 146
>>1327592
> непонятно, будет ли она вообще в API и появится ли когда-нибудь в AI Studio или на сайте Gemini.
Разумеется никогда не появится.
Аноним 21/08/25 Чтв 12:27:30 1327610 147
>>1327600
Я лучше тебя репортну за разжигание срача такими скринами. например. Покоупишь там, посидишь, спокойно, без тряски, о том стоит ли срать этим протухшим за три года калом сюда.
Аноним 21/08/25 Чтв 13:01:12 1327643 148
>>1327587
Да там проще все, на святом западе просто проседание экономики подошло к той черте когда нормиса значительную часть времени волнует что пожрать, а на артсы, мувисы и игры ему как бы похуй уже.
Аноним 21/08/25 Чтв 13:02:21 1327645 149
>>1327403
> Как по мне всё, OpenAI больше нечего будет предложить, пойдёт на дно
Оракл только что вложил еще 25 лярдов в дата-центры для ОпенАИ. Ларри Эллисон наверняка знает, что там происходит в ОпенАИ за кулисами, какие у них там модели есть в загашнике, и на что они способны.
Аноним 21/08/25 Чтв 13:03:37 1327648 150
>>1327645
А что еще ораклу в принципе делать? В пошив футболок в кентукки вкладываться?
Аноним 21/08/25 Чтв 13:05:05 1327650 151
>>1327648
Могли бы в обычную облачную инфраструктуру вкладываться, а не в заточенную конкретно под ИИ
Аноним 21/08/25 Чтв 13:10:09 1327657 152
>>1327650
Это как кнопочный телефон купить вместо смартфона по той же цене
Аноним 21/08/25 Чтв 14:14:32 1327707 153
>>1327399

Умея рисовать можно лепить те же картинки, только быстрее и дешевле. Причём выставив отдельные ценники. Типа вот за поправленную генерашку без претензий к мелочам, а вот за ручную работу.

Высвободится прилично времени на другую работу.

У генераторов всё ещё большие сложности с интересными картинками, сюжетами, гармонией предметов в кадре для ведения взгляда. Да, просто в роли коммишек это никому нахуй не упало, сиськи давай. А вот для иллюстрации коммерческой генерашки всё ещё не пригодны.

2е как раз концептеров, которые могут в концепции а не в рандомное набрасывание гор и лесов в фотошопе до сих пор мало и они очень нужны.

3. «копирайтеры» — это обычно по факту пидарасы, которые делают рерайт. Или пишут довольно хуёвенький тупой текст без вкуса и смысла. Нейронка такое заменяет на 100%. Потому что это копирование и подражание. Ноль творчества.
Озвучка художественная от нейронок это просто пизда. Даже топовые GPT с самым дорогим синтезом, с придыханиями и смехом сыпятся на паузах и дефектах уже на первых 20 секундах.
А скорректировать это всё так же пиздец проблема.

Для переводов овервойсом ютубчика на другой язык годится, для кино или театра полностью дно.

Не знаю, слушаете ли вы «короче новости». Чел живой и по-прежнему вживую озвучивает. Казалось бы у него столько наговорено, что можно отдельно голос обучить. Только вот нахуй не надо, потому что будет дороже, хуже и с меньшим контролем.


3. Видеоредакторов? А какие модели умеют в монтаж и видеоредакцию?
Runaway с корректировками на пару секунд? Да, вещь охуенная и люто снижает затраты. Только вот раньше это было тупо невозможно в разумные сроки. Да и сейчас вон выпуклившуюся через костюм пипиську челопуку замазывали при большом участии ручного труда.
Если вообще не деформером.
Аноним 21/08/25 Чтв 14:23:23 1327718 154
>>1327587
Ну он-то в магазе тоже дизайны на футболки лепит.
Хотя это может быть пасхалка, намекающая на полный пиздёж.

Скажу от себя. Я делал буквально несколько коммишек с фурри-порно.
Рисовать я умел неплохо. А денег ну совсем не было. Не то чтобы «ой условия меня вынудили опуститься ДО ЭТОГО», просто не особо интересно это рисовать. А так порно нравится всякое нереалистичное.

Я подработал и свалил. Потому что увидел что там (без всякой ИИшки на тот момент) высокая конкуренция от тех, кто уже набил руку, наработал множество востребованных шаблонов, нанял подмастерий. И это прям фабрика-фабрика, творчества около нуля. Вкуса и культуры около нуля.
Денег у людей на изыски особо и нет. А те богачи, у которых есть на изыски или композиционно и технически сложные работы уже расхватаны самыми опытными художниками и на аукцион коммишек ходят скорее из альтруизма подкормить иногда относительно начинающих.

Я эту сферу немного прощупал. И я вижу, что там люди не особо требовательны. Там не будут просить перерисовать жест рук на конкретный как в коммерции, норм руки, примерно соответствуют картинке и ладно.

И даже если человек сам не умеет и не генерирует, он может погуглить любимого персонажа и из сотен тысяч уже черрипикнутых картинок черрипикнуть десяток, от которых у него шишка горит как спичечная головка.
Аноним 21/08/25 Чтв 15:55:34 1327851 155
1ш.JPG 9Кб, 519x95
519x95
>>1327707
>«копирайтеры» — это обычно по факту

Кстати, выдачу от ИИ интереснее читать чем сайты. Хотя должно быть наоборот всё, это сайты изначально должны были быть авторскими и интересными, а не написанными фрилансерами-женщинами, которые в большинстве тем не разбираются кроме шмоток, кухни, сплетен шоу-бизнеса и сериалов.
Аноним 21/08/25 Чтв 16:02:54 1327858 156
image.png 33Кб, 677x155
677x155
>>1327851
>а не написанными фрилансерами-женщинами
Я бы сказал, что тебя женщины выебали, но это не так. В СЕО Мужчин больше, это раз. Они не пишут полноценные тексты, это два. На биржах копирайтговна платят за "разбивание" текста словами для увеличение его уникальности. Это механическая работа за 5 рублей, ничего там человечного никогда не было даже 20 лет назад.
Аноним 21/08/25 Чтв 16:09:58 1327877 157
>>1327643
Вроде как нет.

>>1327718
Отчасти это так. Но вот это:

>И даже если человек сам не умеет и не генерирует, он может погуглить любимого персонажа и из сотен тысяч уже черрипикнутых картинок черрипикнуть десяток, от которых у него шишка горит как спичечная головка.

Не совсем так. Допустим решил я подрочить на Лоис Гриффин. Захожу на цивитай. Я там говна листал по тегам часа три, дошел уже до 1,5 стабла, но нормальных картинок прихватил всего штук пять. Многие вообще убогий сблев. Так же порносайты сейчас заказывают коммишены, как и раньше (это кстати с них ундустрия в рост пошла в 00х, я помню этот момент). И в том числе они заказывают коммишены у нейрохудожников и обмазчиков. Ну типа, надо слепым быть, чтоб не видеть.

Но в целом да, прошло уже три года? Кто работал ит хотел работать - тот продолжает работать. Отлетели только совсем тупоголовые мамкины криворукие вкатуны, и только по причине не желания осваивать новый софт. Ну так и в 90х отлетали художники, которые не хотели в цифру пересаживаться. Абсолютно нормальная хуйня.

>>1327645
>Оракл только что вложил еще 25 лярдов в дата-центры для ОпенАИ. Ларри Эллисон наверняка знает, что там происходит в ОпенАИ за кулисами, какие у них там модели есть в загашнике, и на что они способны.
Они знают, что за долги потом заберут эту инфраструктуру и могут потом сдавать в аренду.
Аноним 21/08/25 Чтв 16:30:15 1327897 158
>>1327851
Большинство сайтов скатилось до поискового скама.
Не важно с человеческим или машинным текстом.

Человеческий текст часто тоже жутко «машинная» и тупая работа.
Он по факту не для людей написан а для роботов.

>>1327858
этот прав.

>>1327877
Ну то что мусора гора — да. Только когда денег нет, роешься в мусоре. Нейроген либо для бедных либо для жадных.
При том что специализированные нейронки эт пушка.

У кого есть хоть немного КЦ, тот уже закажет человеку сгенерировать, проконтролировать, исправить или просто отыскать.
Аноним 21/08/25 Чтв 16:35:58 1327902 159
Осмелюсь спрогнозировать, что уже и так существующая тенденция разрастётся:
нормальный контент (сделанный человеком или тщательно отобранный и проверенный специалистом) будет располагаться на платных ресурсах (патреон/бусти) потому что в автоматизации сбора по копейке с миллиона заглянувших боты и бездушные конторы конкуренцию выиграют.

А вот штучный контент эти нелюди производить не могут. Да, он будет цениться куда меньшим количеством людей. Но на большие суммы с каждого.
Аноним 21/08/25 Чтв 16:39:30 1327907 160
>>1327902
>нормальный контент (сделанный человеком или тщательно отобранный и проверенный специалистом) будет располагаться на платных ресурсах
А что с фильмами последние 50 лет не так? Есть ТВ-кал который потоком снимают чтоб было куда рекламу вставлять и эфирную сетку забить, его показывают забесплатно. А есть фильмы идущие в кинотеатрах.
Аноним 21/08/25 Чтв 16:39:59 1327909 161
418.jpeg 21Кб, 750x600
750x600
>>1325178
китайцы как всегда сосут
Аноним 21/08/25 Чтв 16:59:17 1327926 162
image.png 706Кб, 990x695
990x695
Реддитор создал ИИ, который определяет рацион человека по его пердежу.

Нейросеть под названием FartGPT три месяца обучалась на звуках испускания газов, и теперь может классифицировать семь основных типов пердежа и их комбинации.

Основные достижения:
— По одному пуку ИИ может определить ваш рацион с точностью 87%;
— Алгоритм обучен создавать пердёжные симфонии и даже воспроизводить «Despacito»;
— При попытке сгенерировать «идеальный пердёж» модель выдала звук длиной 3,7 секунды, который заставил собаку автора заплакать, а соседа по комнате — съехать;
— Также FartGPT способен прогнозировать фондовый рынок на уровне 52%: акции пойдут вверх, либо вниз.

Сейчас разработчик ищет спонсоров. Он готов поделиться своей базой: 47 гигабайт чистого пердежа. Это 2,5 миллиона образцов, или три месяца непрерывного звучания.
Аноним 21/08/25 Чтв 18:10:16 1328046 163
>>1327926
>идеальный пердёж
Идеальный пердеж уже существует, это фильмы Нолана
Аноним 21/08/25 Чтв 18:23:29 1328088 164
>>1327907
Именно так. Хотя в кинотеатрах тоже попсы полно.

Но я имел в виду контент в инторнетах этих наших.
Аноним 21/08/25 Чтв 18:34:37 1328111 165
>>1328088
>Хотя в кинотеатрах тоже попсы полно.
Только в развитых странах. Вот в США кинотеатров мелких столько, что там тоже существует своего рода треш-сегмент. В РФ такого нет.
Аноним 21/08/25 Чтв 18:38:43 1328121 166
>>1328088
>Но я имел в виду контент в инторнетах этих наших.
В интернетах на стриминг-платформах такой же процесс есть. Холмарк с бесконечными одноклеточными парашами, ентот американскийканал с ниггерами, где такие же пораши но с ниггерами, ну ты понел короче. Это говно обычно эти платформы даже не покидает. Сам глянь: https://www.revry.tv/originals

После такого можно нейрокала не бояться, хуже уже не будет.
Аноним 21/08/25 Чтв 18:47:44 1328144 167
1зн.JPG 8Кб, 571x77
571x77
>>1328121
С помощью ИИ будут угонять идеи. Например взять фильмы, раньше киноиндустрия делала перерывы между выходом продолжения фильма лет на 5 или 10 чтобы подросли новые зрители для просмотра новой серии "Терминатора". Теперь же время сократится, будут выпускать кучи версий, например "терминатор" взгляд со стороны ИИ, а не людей.
Аноним 21/08/25 Чтв 18:52:32 1328153 168
1755248871813.png 45Кб, 633x883
633x883
Мне код не смог написать самый умный из нейро-идиотов opus 4.1 О каком АГИ вы тут вообще грезите.
Аноним 21/08/25 Чтв 18:56:46 1328156 169
>>1328046
А как же пердеж ртом Сэма Альтмана?
Аноним 21/08/25 Чтв 18:57:37 1328157 170
>>1328153
Клод кал сейчас, эталон пока что гемини
Аноним 21/08/25 Чтв 19:04:21 1328166 171
>>1328157
Клоп хотя бы мне помог, гомик мне просто хуйню нерабочую высрал, а потом начал срать "отладочной информацией"
Аноним 21/08/25 Чтв 19:14:16 1328177 172
>>1328153
Пробуй свежайшие топовые гемини и гопоту, курсор и квенкодера.
Аноним 21/08/25 Чтв 19:19:05 1328184 173
image.png 79Кб, 664x394
664x394
>>1328144
>Например взять фильмы, раньше киноиндустрия делала перерывы между выходом продолжения фильма лет на 5 или 10 чтобы подросли новые зрители для просмотра новой серии "Терминатора".
Ты маняшизу не пиши. Никто осмысленно никаких перерывов никогда не делал, то что ты пишешь это чушь. Есть деньги инвесторов на фильм, есть показатели кассы прошлой части. Если всё в началии - захуярят в максимально сжатые сроки, учитывая технические ограничения.

>Теперь же время сократится
Так это из-за нейронок по МКВ высрали за 10 лет дохуя фильмов и сериалов? Понятно. Там сука 2 фильма в год последние 10 лет и между ними серики.
Аноним 21/08/25 Чтв 19:22:25 1328190 174
1да.JPG 10Кб, 591x57
591x57
>>1328184
Это же фильмы франшизы - походу разные студии снимали.
Аноним 21/08/25 Чтв 19:33:45 1328211 175
>>1328190
Марвелом срет одна студия. Но причем тут это вообще? Не увиливай.
Аноним 21/08/25 Чтв 20:08:33 1328263 176
>>1328153
это не самый умный. тестируй гпт5 зинкинг и гемини дип ризонинг
Аноним 21/08/25 Чтв 20:10:08 1328265 177
>>1325178
это охуенный бенчик, почему раньше не было? охуеть
Аноним 21/08/25 Чтв 20:32:07 1328293 178
1т.JPG 12Кб, 817x157
817x157
>>1328211
Ты придумаешь хорошую идею, снимешь фильм, предвкушая что потом дело попрёт и будет продолжение, или даже сериал, будет бабло, пожизненный гонорар, просыпаешься, а школьники уже нагенерировали 100500 серий в разных вариациях по твоей идее.
Аноним 21/08/25 Чтв 21:05:51 1328353 179
>>1327610
Репортнул тебя за щеку
Аноним 22/08/25 Птн 02:00:58 1328658 180
image12.png 2117Кб, 1300x920
1300x920
76aeb3e0-6bbf-4[...].mp4 6122Кб, 832x480, 00:00:40
832x480
photo2025-08-22[...].jpg 42Кб, 1280x879
1280x879
Here are more M[...].mp4 2906Кб, 832x480, 00:00:35
832x480
image2.jpg 121Кб, 894x627
894x627
77cb214b-d42c-4[...].mp4 10195Кб, 832x480, 00:00:55
832x480
image4.png 2971Кб, 1920x1049
1920x1049
1d064a23-6061-4[...].mp4 12168Кб, 832x480, 00:00:53
832x480
Mirage 2 - Generative World Engine

Вы будете смеяцца, но у нас еще один генератор миров.

Первую версию показали с месяц назад, а вторая уже играбельная, причем прямо на сайте.

Загружаете свои киберпанк картинки, или детские рисунки, или любой концепт - и ну играть.

В отличие от Genie 3, там не столько ходилки, но и стрелялки среди управляющих элементов.
"Если Mirage 1 раскрыла необработанный потенциал модели мира в стиле GTA, то Mirage 2 делает гигантский шаг вперед: модель мира общего домена, которая позволяет вам мгновенно создавать, играть и преобразовывать любой игровой мир.

С Mirage 2 игра больше не ограничивается чужим миром. Это генеративная игра - создавать свои собственные миры, делиться ими с друзьями и формировать их в реальном времени по мере того, как вы исследуете их вместе с понимающим вас ИИ."



https://blog.dynamicslab.ai/
Аноним 22/08/25 Птн 02:03:52 1328661 181
photo2025-08-22[...].jpg 48Кб, 1280x647
1280x647
>>1328658
А ещё они подъёбывают гугл
Аноним 22/08/25 Птн 02:13:16 1328662 182
photo2025-08-21[...].jpg 139Кб, 1091x1109
1091x1109
Самая громкая статья месяца – Hierarchical Reasoning Model

Без предисловий, сразу главный результат: у авторов получилось сделать модельку всего на 27 миллионов (!) параметров, которая обошла o3-mini на ARC-AGI-1. Неудивительно, что об этой работе сейчас говорит все комьюнити, а авторы ARC-AGI даже сами написали большой разбор (https://arcprize.org/blog/hrm-analysis ) результатов модели на их бенчмарке.

Погнали разбираться.

Итак, вся архитектура состоит из двух рекуррентных модулей: быстрого низкоуровневого и медленного высокоуровневого. Первый отвечает за быстрые локальные вычисления и решения частных задач, а цель второго – абстрактно управлять процессом и ставить таски первому.

Суть в том, что они обновляются с разной частотой. Исходная задача разбивается на несколько циклов рассуждения. В каждом из них верхний модуль обновляется только один раз и дает новый контекст нижнему модулю, который в свою очередь делает много мелких шагов и ищет локальное решение.

Сколько будет таких итераций, модель решает сама. Останавливаться (или не останавливаться) в правильный момент ее специально учили с помощью RL. Так что «думать» она может и пару секунд, и пару часов.

Обучается HRM не совсем привычно для рекуррентной модели: здесь, вместо того чтобы сохранять все внутренние состояния, авторы решили обновлять градиенты только по финальному стейту. Удивительно, но факт – это работает.

Кстати, вся конструкция и принцип обучения очень похожи на то, как работает наш мозг. Некоторые области отвечают за абстракцию, другие – за конкретные моментальные действия, а общаются они посредством обратных связей. Здесь те же принципы иерархии (отсюда и название). Плюс, мозг тоже не хранит промежуточные траектории и к сходимости приходит через схожие волновые циклы.

Итог: модель для своего размера просто беспрецедентно хороша на решениях всяких головоломок типа судоку, лабиринтов и индуктивных задач. В общем, именно в тех областях, где привычные LLM обычно фейлятся. Конечно, особенно поражают результаты на ARC-AGI, которые мы описали в начале.

Революция или нет, но выглядит действительно очень изящно и эффектно.

Почитайте работу полностью тут: https://arxiv.org/abs/2506.21734
+ вот еще один отличный разбор на русском языке: https://www.sergeynikolenko.ru/blog/hierarchical-reasoning-model
Аноним 22/08/25 Птн 02:45:03 1328671 183
>>1328658
Кто-нибудь уже пробовал? Silksong хочу
Аноним 22/08/25 Птн 03:04:44 1328674 184
image.png 102Кб, 1006x90
1006x90
>>1328671
Очередь-хуйочередь
Аноним 22/08/25 Птн 03:06:12 1328675 185
>>1328662
Чекайте, что об этом забудут через неделю и мы останемся на той же самой, дефолтной архитектуре
Аноним 22/08/25 Птн 03:29:23 1328681 186
d9b387a1-906b-4[...].webp 40Кб, 828x552
828x552
unnamed-11-768x[...].png 25Кб, 768x272
768x272
Ещё одна статья про прорывную Hierarchical Reasoning Model:

Современные LLM, даже рассуждающие, всё равно очень плохи в алгоритмических задачах. И вот, кажется, намечается прогресс: Hierarchical Reasoning Model (HRM), в которой друг с другом взаимодействуют две рекуррентные сети на двух уровнях, с жалкими 27 миллионами параметров обошла системы в тысячи раз больше на задачах, требующих глубокого логического мышления. Как у неё это получилось, и может ли это совершить новую мини-революцию в AI? Давайте разберёмся…

Судоку, LLM и теория сложности
Возможности современных LLM слегка парадоксальны: модели, которые пишут симфонии и объясняют квантовую хромодинамику, не могут решить судоку уровня «эксперт». На подобного рода алгоритмических головоломках точность даже лучших LLM в мире стремится к нулю.

Это не баг, а фундаментальное ограничение архитектуры. Вспомните базовый курс алгоритмов (или менее базовый курс теории сложности, если у вас такой был): есть задачи класса P (решаемые за полиномиальное время), а есть задачи, решаемые схемами постоянной глубины (AC⁰). Трансформеры, при всей их мощи, застряли во втором классе, ведь у них фиксированная и не слишком большая глубина.

Представьте это так: вам дают лабиринт и просят найти выход. Это несложно, но есть нюанс: смотреть на лабиринт можно ровно три секунды, вне зависимости от того, это лабиринт 5×5 или 500×500. Именно так работают современные LLM — у них фиксированное число слоёв (обычно несколько десятков), через которые проходит информация. Миллиарды и триллионы параметров относятся к ширине обработки (числу весов в каждом слое), а не к глубине мышления (числу слоёв).

Да, начиная с семейства OpenAI o1 у нас есть “рассуждающие” модели, которые могут думать долго. Но это ведь на самом деле “костыль”: они порождают промежуточные токены, эмулируя цикл через текст. Честно говоря, подозреваю, что для самой LLM это как программировать на Brainfuck — технически возможно, но мучительно неэффективно. Представьте, например, что вам нужно решить судоку с такими ограничениями:

смотреть на картинку можно две секунды,
потом нужно записать обычными словами на русском языке то, что вы хотите запомнить,
и потом вы уходите и возвращаетесь через пару дней (полностью “очистив контекст”), получая только свои предыдущие записи на естественном языке плюс ещё две секунды на анализ самой задачи.
Примерно так современные LLM должны решать алгоритмические задачи — так что кажется неудивительным, что они это очень плохо делают!

И вот Wang et al. (2025) предлагают архитектуру Hierarchical Reasoning Model (HRM), которая, кажется, умеет думать нужное время естественным образом:

Тактовые частоты мозга и архитектура HRM
Нейробиологи давно знают, что разные области коры головного мозга работают на разных “тактовых частотах”. Зрительная кора обрабатывает информацию за миллисекунды, префронтальная кора “думает” секундами, а гиппокамп может удерживать паттерны минутами. Эти timescales измеряются обычно через временные автокорреляции между сигналами в мозге, результаты устойчивы для разных модальностей, и учёные давно изучают и откуда это берётся, и зачем это нужно:

Это не случайность, а элегантное решение проблемы вычислительной сложности. Быстрые модули решают локальные подзадачи, медленные — координируют общую стратегию. Как дирижёр оркестра не играет каждую ноту, но задаёт темп и структуру всему произведению, а конкретные ноты играют отдельные музыканты.

Авторы Hierarchical Reasoning Model (HRM) взяли эту идею и применили её к рекуррентным сетям. Глубокие рекуррентные сети, у которых второй слой получает на вход скрытые состояния или выходы первого и так далее, конечно, давно известны, но что если создать рекуррентную архитектуру с двумя взаимодействующими уровнями рекуррентности? Верхний уровень будет получать результат нескольких шагов нижнего уровня, возможно уже после сходимости, и работать медленнее:

Идея настолько простая, что даже удивительно, почему её не попробовали раньше (а может, уже пробовали?). По сути, мы просто обучаем две вложенные рекуррентные сети:

быстрый модуль (L) выполняет T шагов вычислений, сходясь к локальному решению;
медленный модуль (H) обновляется раз в T шагов, меняя тем самым контекст для быстрого модуля.
Но дьявол, как всегда, в деталях. Просто соединить две RNN-архитектуры недостаточно — они или быстро сойдутся к фиксированной точке и перестанут что-либо вычислять, или будут требовать огромных ресурсов для обучения. Нужны ещё трюки, и в HRM они довольно простые, так что давайте их тоже рассмотрим.

Важные трюки
Трюк №1: Иерархическая сходимость
Вместо одной большой задачи оптимизации HRM решает последовательность связанных задач. Быстрый модуль сходится, потом медленный модуль обновляется, и появляется новая точка сходимости для быстрого модуля. Для быстрого модуля всё выглядит как решение последовательности связанных, но всё-таки разных задач, и ему всё время есть куда двигаться. Это хорошо видно на графиках сходимости:

Трюк №2: Backpropagation, But Not Through Time
Обычно рекуррентные сети обучаются при помощи так называемого backpropagation through time (BPTT): нужно запомнить все промежуточные состояния, а потом распространить градиенты назад во времени. Хотя это вполне естественно для обучения нейросети, это требует много памяти и вычислительных ресурсов, а также, честно говоря, биологически неправдоподобно: мозг же не хранит полную историю всех активаций своих синапсов, у мозга есть только текущее состояние.

HRM использует идеи из Deep Equilibrium Models и implicit models — градиенты вычисляются только по финальным сошедшимся состояниям:

Получается, что хранить нужно только текущие состояния сетей; O(1) памяти вместо O(T)! Конечно, это не то чтобы сложная идея, и при обучении обычных RNN у неё есть очевидные недостатки, но в этом иерархическом случае, похоже, работает неплохо.

Трюк №3: Адаптивное мышление через Q-learning
Не все задачи одинаково сложны. HRM может “думать дольше” над трудными проблемами, используя механизм адаптивной остановки, обученный через reinforcement learning. Если судоку на 80% заполнено, то скорее всего хватит и пары итераций, а в начале пути придётся крутить шестерёнки иерархических сетей подольше. Это тоже не новая идея — Alex Graves ещё в 2016 предлагал adaptive computation time for RNNs — но в этом изводе результаты действительно впечатляющие, всё хорошо обучается и работает:

Результаты

Экспериментальные результаты тут, конечно, крайне впечатляющие. Можно сказать, переворачивают представление о том, что такое “эффективность” в AI. Всего с 27 миллионами параметров, обучаясь примерно на 1000 примеров, HRM получила:

40.3% на ARC-AGI-1 (тест на абстрактное мышление, где o3-mini даёт 34.5%, а Claude — 21.2%);
55% точных решений для экстремально сложных судоку (здесь рассуждающие модели выдают устойчивый ноль решений);
74.5% оптимальных путей в лабиринтах 30×30 (где, опять же, рассуждающие модели не делают ничего разумного).

Для контекста скажу, что задачи действительно сложные; например, судоку в тестовом наборе требуют в среднем 22 отката (backtracking) при решении алгоритмическими методами, так что это не головоломки для ленивого заполнения в электричке, а сложные примеры, созданные, чтобы тестировать алгоритмы. Вот, слева направо, примеры заданий из ARC-AGI, судоку и лабиринтов:

Заглядываем под капот: как оно думает?
В отличие от больших моделей, у которых интерпретируемость потихоньку развивается, но пока оставляет желать лучшего, HRM позволяет наглядно визуализировать процесс мышления:

Здесь хорошо видно, что:

в лабиринтах HRM сначала исследует множество путей параллельно, потом отсекает тупики;
в судоку получается классический поиск в глубину — заполняет клетки, находит противоречия, откатывается;
а в ARC-задачах всё это больше похоже на градиентный спуск в пространстве решений.

Продолжение статьи ниже:
Аноним 22/08/25 Птн 03:30:31 1328683 187
unnamed-14-768x[...].png 82Кб, 768x364
768x364
>>1328681
Спонтанная иерархия размерностей
Я начал этот пост с аналогии с мозгом. Они часто в нашей науке появляются, но обычно не имеют особенно глубокого смысла: в мозге нет backpropagation, как следствие там совсем другая структура графа вычислений, и аналогии редко выдерживают этот переход. Но в данном здесь параллель оказалась глубже, чем даже изначально предполагали авторы. После обучения в HRM сама собой развивается “иерархия размерностей” — высокоуровневый модуль работает в пространстве примерно в 3 раза большей размерности, чем низкоуровневый (центральный и правый столбцы):

И оказывается, то точно такая же организация наблюдается в мозге мыши (Posani et al., 2025; левый столбец на картинке выше)!

Этот эффект не был задан через гиперпараметры, а возник сам собой, эмерджентно из необходимости решать сложные задачи. Тут, конечно, результат не настолько мощный, чтобы рассуждать о каком-то фундаментальном принципе организации иерархических вычислений, который независимо открывают и биологическая эволюция, и градиентный спуск… но вот я уже порассуждал, и звучит довольно правдоподобно, честно говоря.

Заключение: ограничения и философствования
Во-первых, давайте всё-таки не забывать важные ограничения HRM:

все тесты были сделаны на структурированных задачах (судоку, лабиринты), а не на естественном языке;
результаты на ARC сильно зависят от test-time augmentation (1000 вариантов каждой задачи);
для идеального решения судоку нужны все 3.8M обучающих примеров, а не заявленные 1000.
И главный вопрос, на который пока нет ответа: масштабируется ли это до размеров современных LLM? Если да, то это может быть важный прорыв, но пока, конечно, ответа на этот вопрос мы не знаем.

И тем не менее, HRM побуждает слегка переосмыслить, что мы называем мышлением в контексте AI. Современные LLM — это всё-таки по сути своей огромные ассоциативные машины. Они обучают паттерны из триллионов токенов данных, а потом применяют их, с очень впечатляющими результатами, разумеется. Но попытки рассуждать в глубину пока всё-таки достигаются скорее костылями вроде скрытого блокнотика для записей, а по своей структуре модели остаются неглубокими.

HRM показывает качественно иной подход — алгоритмическое рассуждение, возникающее из иерархической архитектуры сети. HRM может естественным образом получить итеративные уточнения, возвраты и иерархическую декомпозицию. Так что, возможно, это первая ласточка того, как AI-модели могут разделиться на два класса:

ассоциативный AI вроде LLM: огромный, прожорливый к данным и предназначенный для работы с естественным языком и “мягкими” задачами;
алгоритмический AI вроде HRM: компактный, не требующий больших датасетов и специализированный на конкретных задачах, для которых нужно придумывать и применять достаточно сложные алгоритмы.
Разумеется, эти подходы не исключают друг друга. Вполне естественно, что у гибридной модели будет LLM для понимания контекста и порождения ответов, которая будет как-то взаимодействовать с HRM или подобной моделью, реализующей ядро логических рассуждений. Как знать, может быть, через несколько месяцев такими и будут лучшие нейросети в мире…

https://www.sergeynikolenko.ru/blog/hierarchical-reasoning-model
Аноним 22/08/25 Птн 04:03:05 1328688 188
photo2025-08-21[...].jpg 85Кб, 1304x1260
1304x1260
Илон Маск: Grok 5 может стать настоящим AGI

Илон Маск заявил, что будущая модель Grok 5 от xAI может оказаться подлинным ИИ-агентом уровня AGI.

— Релиз ожидается в конце 2025 года.
— Обучение, начнётся в следующем месяце.
— Маск крайне воодушевлён проектом и намекает, что это будет прорывная модель.


Верим? Маск что-то похожее говорит про все модели, которые он собирается выпустить, а на деле они получаются не такими уж и «прорывными».
Аноним 22/08/25 Птн 04:03:27 1328689 189
photo2025-08-21[...].jpg 109Кб, 1200x1200
1200x1200
Google готовится завтра выпустить Veo 3 для бесплатных пользователей в Gemini.

TPU готовятся
Аноним 22/08/25 Птн 04:24:50 1328699 190
14101495259340.jpg 44Кб, 476x399
476x399
>>1326594
тоже об этом подумал
Аноним 22/08/25 Птн 04:41:15 1328705 191
1755826874080.png 94Кб, 960x540
960x540
>>1328662
>>1328681
>>1328683
Почему стоимость инференса такая ебанутая для 27 миллионов параметров? Такое ощущение, что хоть модель и маленькая, для выполнения таски требуется огромное количества аутпута, то есть скейлинг через инференс, по типу ризонинг моделей. Это конечно круто и т.д., но даже если этот метод скейлится и работает на больших моделях, то для того чтобы выполнять таски asi уровня придется запускать одну модель на самом большом датацентре и ждать дни на выполнение.
Аноним 22/08/25 Птн 05:57:49 1328726 192
>>1328681
>>1328683
>>1328662

Охлаждаем траханье по поводу Hierarchical Reasoning Model. Вышла критикующая статья:
https://arcprize.org/blog/hrm-analysis

Если кратко, то суть такая: Иерархическая архитектура не так важна: Замена HRM на трансформер того же размера (27M параметров) дала почти идентичные результаты (~5% разницы). Это говорит о том, что иерархическая структура (H и L модули) не является основным фактором успеха.
Фактором успеха в основном является итеративное уточнение предсказаний (передача выхода модели обратно на вход), что значительно повышает производительность.
Если провернуть это с трансформером, то получаем такой же результат. Но у этого подхода есть множество ограничений при масштабировании, которые заебёшься перечислять. Быть может этот подход в будущем смогут как-то оптимизировать и применить в каком-то виде, ну а пока продолжаем зимовать.
Аноним 22/08/25 Птн 06:11:37 1328728 193
>>1328726
Оперативно перекрывают, сегодня авторы модельки таинственным образом бесследно исчезнут...
Аноним 22/08/25 Птн 08:42:19 1328758 194
>>1328728
>Оперативно перекрывают
Ну иди напиши нам на этой архитектуре великий СелестИИ, раз ты такой умный и думаешь что эта хуйня может ебать модели на порядки больше ее. Как раз твоей 3060 должно хватить на обучение.
Аноним 22/08/25 Птн 09:42:32 1328772 195
>>1328726
>>1328662
Видишь китайцев/корейцев в авторах: перед тобой неработающая хуйня.
Аноним 22/08/25 Птн 10:04:49 1328775 196
Без паники! Похуй на эти новые архитектуры. Трансформер и так каждые пару лет считай становится новой архитектурой. GPT-3 имел 175 миллиардов параметров, а сегодня его ебут модели на 8 миллиардов параметров. Если бы вы об этом рассказали кому-нить пару лет назад, он бы подумал, что это новая архитектура, и по правде говоря, был бы недалеко от истины, так как трансформер сегодня и трансформер три назад - штуки довольно разные. Его постоянно оптимизируют и дорабатывают. Даже вон в критикующей статье показали как можно видоизменить трансформер, чтобы он был на уровне той умной модельки при крошечном размере. Потенциал трансформера ещё очень далёк от полного раскрытия, так что считайте, что через пару тройку лет у нас реально будет новая архитектура, пусть она и будет оставаться трансформером.
Аноним 22/08/25 Птн 10:05:53 1328777 197
>>1328772
опенаи из них состоит
Аноним 22/08/25 Птн 10:57:18 1328821 198
>>1328688
А может и не оказаться.
Аноним 22/08/25 Птн 11:00:20 1328823 199
>>1328777
Поэтому ГПТ5 такой обосратый вышел.
Аноним 22/08/25 Птн 11:02:20 1328825 200
>>1328823
Pro версия лучше любой другой на рынке
Аноним 22/08/25 Птн 11:19:34 1328837 201
>>1328263
> гемини дип ризонинг
как его включить? только финкинг есть
Аноним 22/08/25 Птн 11:22:57 1328840 202
Безымянпапапаный.jpg 322Кб, 723x1207
723x1207
>>1328726
Ответ автора HRM на критику модели:

Благодарим @arcprize
за воспроизведение и проверку результатов!

ARC-AGI-1: публичный 41% pass@2 - полу-приватный 32% pass@2
ARC-AGI-2: публичный 4% pass@2 - полу-приватный 2% pass@2

Из-за различий в тестовых средах определённая степень вариации в результатах является приемлемой. Согласно тестам, проведённым на нашей инфраструктуре, открытая версия HRM на нашем GitHub может достигать результата 5,4% pass@2 на ARC-AGI-2. Мы приглашаем всех запустить её на своей инфраструктуре и поделиться своими результатами~
Это наша первая заявка в таблицу лидеров, и это хорошая отправная точка. Мы благодарны всем за вашу поддержку и отзывы по HRM, как до, так и после нашего появления в таблице лидеров ARC. Всё это вдохновляет и мотивирует нас на улучшения.
Иерархическая архитектура предназначена для разрешения преждевременной сходимости в задачах с длинным горизонтом, таких как судоку уровня мастера, которые требуют часов для решения человеком. Смотрите сравнение с простым рекуррентным Transformer. Такая длинная цепочка может не быть необходимой для задач ARC, и мы использовали только соотношение high-low 1/2. Более крупные соотношения часто требуются для оптимальной производительности в задачах судоку.

В случае ARC-AGI успех HRM является свидетельством способности модели проявлять fluid intelligence — то есть её способность выводить и применять абстрактные правила из независимых и плоских примеров. Мы рады, что в недавнем посте в блоге было обнаружено, что внешний цикл и аугментация данных необходимы для этой способности, и мы особенно благодарим
@fchollet
@GregKamradt
@k_schuerholt
за то, что указали на это.
Наконец, мы ускоряем итерации модели HRM и постоянно расширяем её пределы, с хорошим прогрессом на данный момент. В то же время мы считаем, что иерархическая архитектура высокоэффективна во многих сценариях. В будущем мы сделаем дальнейшие целевые обновления архитектуры и проверим её на большем количестве приложений. Мы также выпустим FAQ, чтобы ответить на ключевые вопросы, поднятые сообществом. 🧠 Следите за обновлениями!
Аноним 22/08/25 Птн 11:28:32 1328844 203
>>1328825
Потому что у них китайцев все еще меньше, чем у остальных. И больше бабок.
Аноним 22/08/25 Птн 14:26:43 1329058 204
>>1328688
маск лучший продавец воздуха
Аноним 22/08/25 Птн 14:57:15 1329084 205
робот пикапер.mp4 4014Кб, 360x640, 00:00:55
360x640
Ну и как теперь конкурировать за тян?
Аноним 22/08/25 Птн 15:45:38 1329127 206
>>1329084
1. Управляется оператором-человеком
2. Реклама магазина роботов
Аноним 22/08/25 Птн 17:23:07 1329217 207
>>1328658
Вещь прикольная как лабораторная.
Но очень заметно как при повороте камеры в область за кадром стилистика резко меняется на очень типовую.

А у меня и вовсе картинка деградировала за секунды до 3д двухтысячных с плохим освещением
Аноним 22/08/25 Птн 17:28:20 1329223 208
>>1328671
Я попробовал.
Управление отваливается, картинка очень быстро деградирует до типового стиля, формы и пространство не выдерживаются.

Это забавно и это достижение если смотреть как на лабораторный тест. Но это неприменимо совершенно. Даже когда задача сделать скриншот той же картинки чуть под другим углом.
Аноним 22/08/25 Птн 17:46:58 1329249 209
>>1328658
Это пиздец. Я никогда так мощно не кумил прежде.
Аноним 22/08/25 Птн 18:09:36 1329272 210
>>1328840
Ащемта они правы, нужно ждать и критики и энной итерации развития, чтобы понять, успешное ли, перспективное ли.
Аноним 22/08/25 Птн 20:23:13 1329366 211
земля эй.mp4 18429Кб, 648x1152, 00:01:43
648x1152
появляются первые достойные творения с помощью ии
Аноним 22/08/25 Птн 20:33:04 1329373 212
Аноним 22/08/25 Птн 20:47:31 1329382 213
>>1329366
>>1329373
Если бы это видео было сделано до эпохи ИИ, года три назад, с помощью cgi-графики, то все бы усирались от восторга. Это как с Аркейном (анимационный сериал по лиге легенд), от которого все ссались кипятком, но если людям сказать, что его создавали через ИИ, то они сразу начинают фыркать носом и доебываются до графона и кривых анимацией, лол
Аноним 22/08/25 Птн 21:05:43 1329413 214
>>1329382
Тут не графический кал. Тут концептуальный высер. Высер сделала не нейронка, а те кто ее мучили.
Аноним 22/08/25 Птн 21:08:33 1329417 215
>>1329413
высер охуенный, тут гемора на монтаже было. понятно что здесь собирается штук 30-40 минивидосиков
Аноним 22/08/25 Птн 21:09:52 1329418 216
>>1329366
Постоянно какие-то панельки, гопники, поле чудес в стиле джо-джо, советские мультики. Уже тошнит от этого нормисного стиля генераций основанного на ностальгии и "эта жи наше, люди из снг поймут"
Аноним 22/08/25 Птн 22:59:40 1329505 217
>>1329417

>высер охуенный
>винегрет из ублюдских визуальных штампов

Быдло, успокойся. Катись нахуй на пикабу

>>1329418

Двачую, но с оговоркой: иногда хрущевочная ВСЖ-ебатория реализуется заебись, справедливости ради, как в какой-нибудь халф лайф 2, или в ночном дозоре или даже в нижнеинтернетовских нарезках треш-стримов
Аноним 22/08/25 Птн 23:25:45 1329555 218
CEO Microsoft AI Мустафа Сулейман опубликовал очень необычное для CEO эссе

Называется текст "Мы должны учить ИИ для человека, а не быть человеком". В нем нет обещаний AGI, громких слов про ускорение прогресса и лекарства от всех болезней, как в эссе других глав компаний (не будем показывать пальцем).

А основная мысль вместо всего этого вот в чем: нельзя пытаться наделять ИИ признаками человека. Это создает ложное ощущение того, что это уже не машина, а что-то живое и чувствующее. Мустафа называет это SCAI — Seemingly Conscious AI, то есть AI, который кажется нам сознательным.

При этом такой SCAI либо уже частично существует, либо может появиться в ближайшие несколько лет. Ключевые характеристики: хорошее владение языком (есть), проявление эмпатии (есть), способность помнить детали прошлых диалогов (почти есть), утверждения типа "я видел/слышал/думаю/чувствую" (уже встречаются), идентичность личности и внутренняя система целей и ценностей.

Суть в том, что допустить окончательно появление SCAI нельзя. Симуляция сознания не делает ИИ реально сознательным, но общество может начать относиться к нему, как к личности, и ничем хорошим это не закончится.

Сулейман описывает целое явление "psychosis risk" (риск психоза), когда люди начинают настолько верить в иллюзию сознательности ИИ, что могут развивать эмоциональную зависимость, верить в права и чувства модели.

И таких примеров полно уже сейчас: люди влюбляются в чат-ботов, дружат с ними, начинают защищать их права и теряют связь с реальностью. Просто пока этот эффект не такой массовый – все может быть гораздо хуже.

Так что главная идея из эссе: ИИ должен существовать только как инструмент для человеческой пользы, а не как цифровая личность. От имитации чувств, стремлений или желания быть самостоятельным нужно отказаться.

ИИ должен открыто декларировать, что он не человек и не сознательное существо. В его личность должны быть встроены фичи (и Мустафа как раз призывает на законодательном уровне утвердить их перечень), которые ломают иллюзию личности – чтобы пользователи не забывали, что общаются с программой.

Вот такая вот интересная позиция.

mustafa-suleyman.ai/seemingly-conscious-ai-is-coming
Аноним 22/08/25 Птн 23:45:51 1329581 219
Помните классику?
Ученый на интервью: «Все мои суждения бессмысленны, если они вырваны из контекста». Заголовок в газете на следующий день: «Знаменитый ученый признался, что все его суждения бессмысленны!»
Вот буквально это проделали журналисты и эксперты с недавним отчетом MIT о «полном провале ИИ-инициатив в корпорациях». Велик шанс, что вам на днях попадались заголовки про «всего 5% ИИ-инициатив успешны» и «ИИ провален в 95% случаев». Внимательно прочитать 26 страниц текста с картинками, похоже, мало кто смог.
Поэтому порадовала редкая статья, где автор с некоторым недоумением замечает, что отчет-то совсем о другом — если его прочитать. Он о том, что сотрудники массово и добровольно используют публично доступный ИИ в своей повседневной работе (и не пользуются корпоративными решениями в силу их очевидно более низкого качества).
a closer reading tells a starkly different story — one of unprecedented grassroots technology adoption that has quietly revolutionized work while corporate initiatives stumble. Это не проблемы ИИ, а полная некомпетентность руководителей, поэтому — уникальный случай! — происходит «революция снизу»: researchers found that 90% of employees regularly use personal AI tools for work. И вот про эти 90% не написал никто. Поразительно, но сформировалась «теневая экономика ИИ», не попадающая в корпоративные отчеты: Far from showing AI failure, the shadow economy reveals massive productivity gains that don’t appear in corporate metrics.
Почитайте материал по ссылке, если уж не сам отчет, там много интересных примеров:
https://venturebeat.com/ai/mit-report-misunderstood-shadow-ai-economy-booms-while-headlines-cry-failure/
Аноним 22/08/25 Птн 23:46:24 1329583 220
>>1329555
>Кто-то проперделся ртом на бесполезную тему
Занюхиваем
Аноним 22/08/25 Птн 23:53:01 1329588 221
Отчет MIT о том, что 95% компаний получают "нулевую отдачу" от инвестиций в генеративный AI, спровоцировал вполне предсказуемую распродажу. Nvidia потеряла 3.5%, хотя буквально недавно стала первой компанией с капитализацией в $4 трлн. Palantir и Arm упали еще сильнее — на 9.4% и 5% соответственно.

Довольно любопытно, что самое большое падение показали Oracle и AMD — как раз те компании, которые демонстрировали лучшую динамику с мая — на 5.9% и 5.4% соответственно.

Забавно, что это случилось из-за неправильной интерпретации статьи журналистами.

https://www.ft.com/content/33914f25-093c-4069-bb16-8626cfc15a51
Аноним 23/08/25 Суб 00:04:31 1329607 222
>>1329555
>Мустафа называет это SCAI — Seemingly Conscious AI
Коупинг агиблядей.
Аноним 23/08/25 Суб 00:06:40 1329612 223
>>1329418
>"эта жи наше, люди из снг поймут"
Но там больше на восточную европу похоже, чем на снг.
Аноним 23/08/25 Суб 00:07:57 1329615 224
>>1329417
>тут гемора на монтаже было
Примерно ноль. Генеришь картинки в одном стиле чутка меняя промпт, а потом хуяришь их одну за другой. Где ты там монтаж увидел? Они дажене в такт музыке меняются.
Аноним 23/08/25 Суб 00:08:39 1329617 225
>>1329382
>года три назад, с помощью cgi-графики, то все бы усирались от восторга
Так есть там какой то петрович с киберкоровами.
Аноним 23/08/25 Суб 00:10:22 1329621 226
>>1329588
На реддитах уже о лопающемся пузыре и новой ИИ зиме заговорили. Забавно будет, если до конца года все ебанется.
Аноним 23/08/25 Суб 00:22:46 1329630 227
>>1328688
>
>Илон Маск: Grok 5
Неплохо бы сперва грок 4 выпустить.
Аноним 23/08/25 Суб 04:51:52 1329704 228
>>1329382
Нет. Потому что с 3д и композитингом подобное делали.
Один день нубасики порепостят и всё. Никто не усирается.

Не потому что графоний, а потому что содержательнр это затёртая уже банальщина. Небанальщине нужен сюжет интересный. Из смеси чисто человеческого и понятного и фантастического.
Аноним 23/08/25 Суб 04:55:37 1329705 229
>>1329617
Кибердеревня прикольной была. Но там тащили актёры и гэги с отсылками, а не CG. Хотя CG тоже прикольное и аккуратное.
Аноним 23/08/25 Суб 06:11:18 1329716 230
>>1328688
Как же Маск разъебывает. Пока ОпенАИ и гуглы тормозят и застряли на плато, Маск делает настоящий AGI.
Аноним 23/08/25 Суб 06:22:58 1329718 231
>>1329366
2 секундный нейрослоп из середины 2023
Аноним 23/08/25 Суб 06:59:15 1329721 232
photo2025-08-23[...].jpg 96Кб, 1280x720
1280x720
photo2025-08-23[...].jpg 105Кб, 1280x731
1280x731
photo2025-08-23[...].jpg 67Кб, 858x1280
858x1280
photo2025-08-23[...].jpg 136Кб, 1019x1280
1019x1280
photo2025-08-23[...].jpg 161Кб, 1032x1280
1032x1280
photo2025-08-23[...].jpg 136Кб, 986x1280
986x1280
photo2025-08-23[...].jpg 135Кб, 1039x1280
1039x1280
Почувствуйте разницу между Нана-бананой (вторая пикчка) и остальными неудачниками.

Главное обратите внимание на промпт: "сделай только тарелку и сам суп в духе 2Д-аниме, а остальное не трогай воще".

Ебало фотошопа даже имаджинировать не надо. Интернет затаил дыхание в ожидании релиза модельки.
Аноним 23/08/25 Суб 09:15:22 1329763 233
IMG202508230913[...].jpg 61Кб, 720x608
720x608
Nano-banana глобально может выйти уже 3 сентября

Она может появиться во многих продуктах Google, включая Gemini, Whisk, Flow и другие! На это сделал намёк один из работников Google.

Напомню: сейчас данная модель (по мнению комьюнити самая лучшая модель для редактирования изображений) доступна только на Pixel 10 в приложении Google Photos.
Аноним 23/08/25 Суб 09:46:55 1329776 234
ssstwitter.com1[...].mp4 3880Кб, 1280x720, 00:00:40
1280x720
Gys8SpKa8AAxGxr.jpg 300Кб, 1920x1080
1920x1080
GyxGj6ga0AAB1-P.jpg 1226Кб, 1920x1080
1920x1080
GyxGk7uacAA8oPV.jpg 1114Кб, 1920x1080
1920x1080
GyxGmaGb0AAjFEL.jpg 1077Кб, 1920x1080
1920x1080
GyxGnQdacAMK2V.jpg 1285Кб, 1920x1080
1920x1080
GzAbgJeboAM-cDZ.jpg 297Кб, 1365x2048
1365x2048
Gy4hLJXbcAEgTDx.jpg 178Кб, 1017x1365
1017x1365
Nano-banana
Аноним 23/08/25 Суб 09:50:06 1329779 235
>>1329382
Это просто набор трехсекундных высеров
Аноним 23/08/25 Суб 09:51:24 1329781 236
image.png 358Кб, 1025x531
1025x531
>>1329763
>Напомню: сейчас данная модель (по мнению комьюнити самая лучшая модель для редактирования изображений)
>>1329721
Нана-обосрана.

ЧТД восхищенному нейрочмонделю ИТТ верить нельзя.
Аноним 23/08/25 Суб 09:52:14 1329782 237
>>1329721
Нихуево. Но все это будет похерено корпоративной цензурой как всегда, так что та же тян не будет выдаваться.
Аноним 23/08/25 Суб 09:53:11 1329783 238
>>1329721
Какая дешевая, даже вульгарная, наебка.
Или есть хотя бы видео процесса запроса и генерации именно такого результата?
Аноним 23/08/25 Суб 09:55:31 1329784 239
>>1328688
>может стать
>может оказаться
Аноним 23/08/25 Суб 09:56:21 1329785 240
>>1329721
>Ебало фотошопа даже имаджинировать не надо.
Такую же встроят себе через полгода. Фотожопы так до сих пор делали.
Аноним 23/08/25 Суб 09:58:37 1329786 241
>>1329776
Представляю сколько штатных дезигнеров фотошоперов на фирмах пососут. Ведь они теперь для большинства задач не нужны.
Аноним 23/08/25 Суб 10:00:20 1329787 242
>>1329763
Пока как скачиваемый продукт не выйдет типа той же Геммы, не особо нужна.
Аноним 23/08/25 Суб 10:02:26 1329791 243
image.png 2Кб, 50x43
50x43
>>1329786
А конвертить будет начальник сидеть, верно, нейропетух?
Аноним 23/08/25 Суб 10:03:47 1329792 244
image 9195Кб, 3464x2309
3464x2309
>>1329776
Фотки судя по всему хорошо меняет. За такую врезку в случайный фон надо было раньше фотошоперу платить.
Аноним 23/08/25 Суб 10:04:20 1329793 245
Gy-hPntboAA07bn.jpg 371Кб, 1920x1080
1920x1080
аппапаапап.jpg 672Кб, 1290x1481
1290x1481
GyyF14KagAA8zTo.jpg 124Кб, 1472x704
1472x704
GyyGi6iaMAA-BxC.jpg 161Кб, 1408x736
1408x736
GytyzSwaAAAqfC9.jpg 1227Кб, 1920x1080
1920x1080
Без имкукукуеке[...].jpg 432Кб, 2073x1024
2073x1024
GyVtvvfW0AIKyoB.jpg 842Кб, 4096x2128
4096x2128
GymmHngb0AAbmoi.jpg 130Кб, 1080x1080
1080x1080
Nano-banana
Аноним 23/08/25 Суб 10:06:43 1329798 246
>>1329781
На английском попробуй промпт. И никто не говорил, что это AGI-модель, шиз, все лишь заявляют, что это лучшая модель на рынке. Или покажи модель лучше
Аноним 23/08/25 Суб 10:07:36 1329799 247
>>1329793
Засудят за дипфейки за секунды после выпуска и на этом все закончится.
Аноним 23/08/25 Суб 10:08:19 1329801 248
>>1329793
20 центов за одну генерацию. Ну нахой.
Аноним 23/08/25 Суб 10:11:24 1329803 249
>>1329799
>дипфейки з
Всем уже 5 лет как пойхуй.

>>1329792
ВОТ ЭТО ДА ТО ЖЕ ЧТО И ДРУГАЯ МОДЕЛЬ УЖЕ ДВА ГОДА ВАУ КЛАСС НИКОГДА ТАКОГО НЕ БЫЛО КРОМЕ КАК ВЧЕРА ВСЕ УЖЕ НЕ НУЖНЫ Хррр-тьфу
Аноним 23/08/25 Суб 10:16:20 1329804 250
image 199Кб, 1648x987
1648x987
image 49Кб, 1639x227
1639x227
image 48Кб, 1703x241
1703x241
Аноним 23/08/25 Суб 10:17:47 1329806 251
>>1329781
Имаджинируй своё ебало, когда через недельку-две на арене появятся результаты тестов, где банана будет на первом месте с большим отрывом
Аноним 23/08/25 Суб 10:19:22 1329808 252
>>1329781
Вкинь оригинальное изображение
Аноним 23/08/25 Суб 10:38:11 1329819 253
Без имyuuyени-2.jpg 592Кб, 1535x1024
1535x1024
GyoTJNmXoAAflfz.jpg 123Кб, 969x1100
969x1100
GykRQ-rXwAAg1EZ.jpg 216Кб, 864x1184
864x1184
24cn1f6c15kf1.jpeg 203Кб, 2023x1258
2023x1258
GzAQ6dQboAAgzVx.jpg 127Кб, 1184x864
1184x864
GyTBRoxa4AY1-7V.jpg 154Кб, 1276x1444
1276x1444
Без имени-2.jpg 126Кб, 1038x548
1038x548
fdfdfdfd2.jpg 165Кб, 1138x548
1138x548
Nano-banana
Аноним 23/08/25 Суб 10:52:50 1329824 254
>>1329791
Шизик, ну наймет начальник в штат вместо 5 дизайнеров теперь одного. Твой высер не особо утешит остальных четверых уволенных
Аноним 23/08/25 Суб 10:59:07 1329827 255
>>1329824
КАК ТЫ НЕ ПЫНЯМАЕШЬ - НЕЙРОНКИ ЕТО ПРОСТО ИНСТРУМЕНТ!!1
ТЕБЯ ЗАМЕНЯТ НЕ НЕЙРОНКИ, А ЛЮДИ КОТОРЫЕ ИХ ИСПОЛЬЗУЮТ!!!
Аноним 23/08/25 Суб 11:11:24 1329829 256
>>1329776
Чудеса черрипикинга?

попробовал в Квене, он не смог. В лучшем случае заменял и человека. Хотя вообще порой чудеса маскирования проявляет.

>>1329786
Норм дизайнеры не пососут, просто смогут делать лучше/быстрее.
Вместо многочасовой ебли с выправлением света, многочасовая ебля с промптами, пробами наилучшего и выправлением деталей.

>>1329782
Увы, да. Так что только пресный понос.
Аноним 23/08/25 Суб 11:13:58 1329830 257
>>1329824
пока что да, тенденция такова: делать то же самое но дешевле. Вместо делать за те же деньги с теми же людьми X5 и зарабатывать во столько же больше.
Но спрос так быстро не растёт, нужно нагонять аппетиты.
Аноним 23/08/25 Суб 11:24:10 1329831 258
выфвфывыфвц.JPG 39Кб, 776x868
776x868
кто-нибудь пробовал китайский курсор qoder? какая там модель?
не дает залогиниться в сам ide. ананасы помогите. там на 2к бесплатных запросов дают
Аноним 23/08/25 Суб 12:25:15 1329844 259
photo2025-08-22[...].jpg 78Кб, 1280x409
1280x409
photo2025-08-22[...].jpg 20Кб, 900x362
900x362
photo2025-08-22[...].jpg 40Кб, 1280x632
1280x632
OpenAI совместно с биотехнологическим стартапом Retro Biosciences разработали модель, которая смогла в 50 раз ускорить генерацию стволовых клеток

Сначала небольшое предисловие:

В 2006 году японский биолог Синья Яманака совершил инновационное открытие, за которое впоследствии получил Нобелевку по медицине: он выяснил, что существуют белки, способные превращать взрослые клетки в молодые стволовые. Их всего четыре, и сейчас их называют факторами Яманаки.

По сути, это прямой ключ к омоложению: уже зрелая обычная клетка превращается в стволовую, способную дать начало любой другой молодой клетке организма – от мышцы сердца до нейрона. Так что открытие революционное, но есть нюанс: эти белки обладают крайне низкой эффективностью репрограммирования, то есть только очень малая часть клеток реально превращается в стволовые после их воздействия.

Так вот OpenAI и RetroBiosciences удалось разработать модель – GPT-4b micro – которая вывела новые варианты факторов Яманаки, и они оказались в 50 раз (!) эффективнее по сравнению со стандартными. Эксперименты показали, что это действительно работает, и при этом для разных типов клеток.

У GPT-4b micro та же архитектура, что и у GPT-4o, но обучали ее по-другому, «с использованием специального набора биологических данных».

Подробностей как всегда дают немного, но это подход, отличный от AlphaFold. Тут не структурное моделирование, а языковой подход: модель анализирует последовательности и взаимодействия белков и может вносить очень мелкие изменения, доходя до трети аминокислот. Главное отличие – гораздо большой масштаб «тестирования».

И еще один занятный факт: новые варианты белков также показали способности к улучшению процессов восстановления ДНК. Детали еще предстоит проверить, но в теории это значит, что они могут дольше сохранять молодость клеток.

openai.com/index/accelerating-life-sciences-research-with-retro-biosciences/
Аноним 23/08/25 Суб 12:33:06 1329847 260
image.png 284Кб, 938x470
938x470
>>1329804
Эти ограничения давно сняты, долбоебина. Как такой заголовок: "журналисты выебали в клюв нейропитуха из аи-треда на дваче?"

Все ограничения в калабе связаны не с дипфейками/Эгенерацией порно и т.д., довен, а с нагрузкой на их ГПУ со стороны ебанутых леммингов. Как только жар спадает, они снимают ограничения. Иди там хоть гомфи ставь, хоть фессвапы. Тебя ни преследовать ни банить за это не будут. Гуглу не похуй что ты хранишь на гуглодиске, но им всегда было поебать что ты в колаб кидаешь.
Аноним 23/08/25 Суб 12:34:04 1329849 261
>>1329806
Имаджинировал тебе на ебало, ведь миллионы мух не могут ошибаться. Сииедит и квен-едит от бананы отличаются только хуевым разрешением.
Аноним 23/08/25 Суб 12:34:18 1329852 262
>>1329804
И правильно делают. Хотя я бы еще жоще наказывал.
Аноним 23/08/25 Суб 12:35:23 1329854 263
image.png 294Кб, 394x397
394x397
Аноним 23/08/25 Суб 12:36:15 1329855 264
>>1329830
Нет такой тенденции.

>>1329824
>Шизик,
Это ты и твои диванные пердки.
Аноним 23/08/25 Суб 12:38:44 1329857 265
ававваавый.jpg 247Кб, 773x1197
773x1197
>>1329844
А вот как эту новость подают тг-сетки
Аноним 23/08/25 Суб 12:40:16 1329859 266
>>1329849
>Сииедит и квен-едит от бананы отличаются только хуевым разрешением

Долбаёбушка
Аноним 23/08/25 Суб 12:40:37 1329860 267
>>1329849
Там слепое голосование, шиз
Аноним 23/08/25 Суб 12:41:06 1329862 268
>>1329859
В отличии от тебя говноеда с перемазанным ртом я только что это все тестировал. И вчера. И позавчера.
Аноним 23/08/25 Суб 12:41:41 1329863 269
>>1329829
Вот только на 1 норм дизайнера, да и кого угодно норм, еще 99999 криворучек.
Аноним 23/08/25 Суб 12:41:46 1329864 270
>>1329860
Там по пастельным цветам всегда видно когда банан, так же как по пятнам цветным видно когда квен.
Аноним 23/08/25 Суб 12:44:09 1329867 271
>>1329857
Какая аудитория, такие и новости.
Аноним 23/08/25 Суб 12:45:13 1329869 272
>>1329864
*ах да, у наны чмонаны есть еще её фирменные коротенькие ножки. Вот что бывает когда воруешь синтетику из моча-1
Аноним 23/08/25 Суб 12:47:54 1329870 273
>>1329844
Охуенчик. Хоть что-то полезное делают, а не ЛЛМ к мифическому АГИ дрочат.
Аноним 23/08/25 Суб 12:49:09 1329872 274
image.png 31Кб, 671x270
671x270
Аноним 23/08/25 Суб 13:00:59 1329873 275
аппаапапй.jpg 332Кб, 1637x1249
1637x1249
undefinedswapth[...].png 2103Кб, 1024x1024
1024x1024
>>1329781
>>1329854
>>1329862
С первого раза у меня выдало пик1. Картиночные модели гугла по традиции понимают только английский. Нано-банана это новая версия гемени-флеш.

>В отличии от тебя говноеда с перемазанным ртом я только что это все тестировал. И вчера. И позавчера.

Ох не пиздел бы, иначе бы ты знал, что запросы нана-банана понимает только на английском. Отныне тебе имя пиздабол.
Аноним 23/08/25 Суб 13:04:12 1329875 276
>>1329864
Ну если каждая модель чем-то своим палится, то почему другие модели не займут первые места, а именно банана? Чмондель-пиздабол
Аноним 23/08/25 Суб 13:09:56 1329879 277
>>1329873
для пик 2 потребовалось дописать в промпте "try to repeat the man's face as accurately as possible" если бы ещё прогнал пару генераций, то черрипикнул бы более точное лицо
Аноним 23/08/25 Суб 13:15:25 1329885 278
>>1329873
Еще хочу заметить, что ни одна другая модель не смогла свайпнуть тянку с мужиком. И после этого нейропиздабол говорит, что банана ничем не лучше других моделей.
Аноним 23/08/25 Суб 13:22:43 1329893 279
photo2025-08-23[...].jpg 63Кб, 1024x1024
1024x1024
В течение этих выходных Google сделала доступными в бесплатных аккаунтах 3 генерации видео на базе Veo 3

Эх, а все думали, дадут навсегда.

Тестим: https://gemini.google.com/veo
Аноним 23/08/25 Суб 13:43:42 1329907 280
>>1329893
ах ну да, шизодвачеры ща опать запросы на русском будут хуячить, а вео 3 их понимает только на английском, за исключением реплик
Аноним 23/08/25 Суб 13:52:17 1329909 281
изображение.png 69Кб, 982x714
982x714
изображение.png 88Кб, 987x1053
987x1053
2025. GPT-5. Итоги.
Почему её на ровном месте так разъебало в луп? В контексте ничего такого не было, только пара сообщений про софт для бэкапов, настройки дефолтные.
Аноним 23/08/25 Суб 14:23:44 1329927 282
>>1329885
>>1329873
Ого у нас тут мастер фотожаб. Нахуй иди, фантазёр.
Аноним 23/08/25 Суб 14:25:13 1329928 283
>>1329873
>Ох не пиздел бы, иначе бы ты знал, что запросы нана-банана понимает только на английском
Она понимает на русском. В баттле даже контекст понимает на русском, потому что там ллм скрытопереводит. Но откуда тебе знать, нейропетух?
Аноним 23/08/25 Суб 14:25:50 1329930 284
>>1329875
>Ну если каждая модель чем-то своим палится, то почему другие модели не займут первые места, а именно банана?
Потому что хайп. + реклама и тыкатели за 15 центов.
Аноним 23/08/25 Суб 14:28:27 1329933 285
>>1329879
>для пик 2 потребовалось
Перефотожопить голову мужика и девки, а потом написать совсем другой промпт. Держу в курсе. Смешно на твои петушинные потуги наблюдать, как будто там не видно что это и2и
Аноним 23/08/25 Суб 15:22:37 1329965 286
1755951756913.png 116Кб, 788x638
788x638
Гугл должны платить мне деньги, ведь название nano-banana они явно подсмотрели у меня в штанах.
Аноним 23/08/25 Суб 15:33:44 1329967 287
>>1329965
подсмотрели у стримерши nano_nano
Аноним 23/08/25 Суб 15:35:58 1329969 288
Аноним 23/08/25 Суб 15:44:45 1329975 289
>>1329928
Чмондель, она хуево понимает русский, вот о чем я
Аноним 23/08/25 Суб 15:46:30 1329976 290
>>1327413
Ты сам то в этих закорючках можешь чего понять или на слово журналисту поверил?
Аноним 23/08/25 Суб 15:46:43 1329978 291
Шизоконспиролог беспруфный, съебал с треда
Аноним 23/08/25 Суб 15:57:02 1329990 292
Аноним 23/08/25 Суб 16:11:46 1330001 293
ALLEX .mp4 4106Кб, 640x360, 00:01:28
640x360
Аноним 23/08/25 Суб 16:17:44 1330003 294
>>1329621
по плану в 2027 будет чпок, 2026 для нагнетания и разогрева масс, так видится
Аноним 23/08/25 Суб 17:18:34 1330031 295
Yoba (12).jpg 25Кб, 512x512
512x512
>>1329852
>прааааальна
Никто никогда не стал бы делать с тобой дипфейки, жирушка, так что от этих новостей в твоей жизни ничего не поменялось
Аноним 23/08/25 Суб 17:23:50 1330032 296
>>1330031
Ты долбоеб тупорылый, у меня хуй между ног. Тебе жируха не дает и теперь ты в каждом ее видишь?
Аноним 23/08/25 Суб 17:29:38 1330035 297
>>1330032
Нотариально заверенное фото сардельки с супом или селёдка простая
Аноним 23/08/25 Суб 17:38:44 1330040 298
Аноним 23/08/25 Суб 18:39:31 1330065 299
>>1330001
Нихуево, 2 основные проблемы решены, точность и сила рук. Похоже роботореволюция уже вот-вот.
Аноним 23/08/25 Суб 18:48:06 1330071 300
>>1330065
>Роботореволюция
>Рекламный ролик для презентации инвесторам
Аноним 23/08/25 Суб 19:02:38 1330080 301
28e7eb7b3060703[...].jpg 55Кб, 880x550
880x550
155867217703822[...].jpg 162Кб, 1920x1079
1920x1079
mihail-zadornov[...].jpg 78Кб, 1200x900
1200x900
dmitrikhvorosto[...].jpg 18Кб, 476x260
476x260
>>1329844

>В 2006 году японский биолог Синья Яманака совершил инновационное открытие, за которое впоследствии получил Нобелевку по медицине: он выяснил, что существуют белки, способные превращать взрослые клетки в молодые стволовые. Их всего четыре, и сейчас их называют факторами Яманаки.

>По сути, это прямой ключ к омоложению: уже зрелая обычная клетка превращается в стволовую, способную дать начало любой другой молодой клетке организма – от мышцы сердца до нейрона

Омоложение стволовыми клетками это база.
Аноним 23/08/25 Суб 19:20:40 1330089 302
С одной стороны создание гуманоидных роботов это тупо, потому что это усложнение ради осложнения, можно было бы сделать более простых роботов выполняющих большинство задач. С другой стороны это правильно потому что текущая инфраструктура построена под человека, поэтому для бесшовного внедрения нужны человекоподобные роботы. В целом я бы сказал что стоит развивать оба направления, я бы был не против если бы сначала появился робот по типу робо-пылесоса с металической клешней, его бы хватало например для множества стандартных задач вроде перекладывания вещей, переноски, сортировки и т.д., а потом уже с развитием ИИ и робототехники появились бы полноценные гуманоидные роботы способные заменить человека.
Аноним 23/08/25 Суб 19:24:39 1330092 303
>>1330089
> можно было бы сделать более простых роботов выполняющих большинство задач
Они уже есть.
Аноним 23/08/25 Суб 19:28:55 1330099 304
>>1330092
Это программируемые роботы выполняющие однотипные задачи. Я скорее про разработку полноценного ИИ для роботов более примитивного формата.
Аноним 23/08/25 Суб 19:31:24 1330102 305
.jpg 36Кб, 686x386
686x386
>>1330080

>Омоложение стволовыми клетками это база.

Выйди
Аноним 23/08/25 Суб 19:36:57 1330104 306
>>1330102

апдейт:
бля, сперва не обратил внимания на те твои четыре пикчи
зловешая шутка
их правда именно стволовые клетки отправили в могилу?
Аноним 23/08/25 Суб 22:36:44 1330209 307
>>1329909
>Почему
Может сервак был перегружен и ИИ получила назад кеш от вспомогательных серверов на которые распределился один запрос, и получилось что один запрос обратно вернулся из кеширующих серверов как несколько одинаковых ответов.
Аноним 23/08/25 Суб 23:33:17 1330242 308
Аноним 23/08/25 Суб 23:35:16 1330245 309
>>1330104
Нет, у задорнова всегда был мозг рака.
Аноним 23/08/25 Суб 23:36:40 1330249 310
>>1330099
>Я скорее про разработку полноценного ИИ для роботов более
ИИ на конвейере не нужен. как и в простых задачах. У них даже нормального компьютерного зрения нет, о каком ты вообще ИИ?
Аноним 24/08/25 Вск 00:24:44 1330281 311
>>1329413
Ой да иди нах душнила. Классное видео. Да идея не новая, но мне нравится эта эстетика. Сама нейронка все качественно сгенерировала
Аноним 24/08/25 Вск 02:00:40 1330314 312
>>1330281
Ну так ты быдло хуесос говноед, ничего удивительного.
Аноним 24/08/25 Вск 02:49:24 1330327 313
17446532399330.mp4 1156Кб, 576x1024, 00:00:10
576x1024
>>1327166
Платов Сингуляр Ожиданович
Аноним 24/08/25 Вск 03:39:27 1330335 314
Платонзимаивидео.mp4 2451Кб, 1280x720, 00:00:08
1280x720
Кста, в Вео 3 доступ же дали. По ощущениям промпта слушается все еще ужасно. На видриле промпт "Сошедший с ума философ Платон зимой повторяет фразы "зима" и "плато" на русском языке". Какое же плато в видеогенерации...
Аноним 24/08/25 Вск 03:46:23 1330336 315
>>1330249
ИИ на конвейере нужен, но весьма специфично.

Например Алиэкспресс хочет заточить роботов на сортировку посылок по размеру и весу. А для этого надо, чтобы робот быстро видел и оценивал размер и объём пакета в куче, выхватывал его нежненько, взвешивал на руке и резко откидывал на нужную ленту, так же, как это делают люди, которых Алик если и не полностью уволить хочет, то подменять из роборезерва для полной стабильности и бесперебойности, независимо от того, что толпа гриппом переболела или на праздник съебала в отпуска.
Аноним 24/08/25 Вск 03:51:15 1330337 316
>>1330335
Ащемта Доброкотов, который генерит дохера, давно уже сказал, что бабки и крутки на нейронках очень быстро кончаются, когда надо что-то очень конкретное добыть.
Аноним 24/08/25 Вск 04:02:03 1330339 317
Аноним 24/08/25 Вск 05:13:04 1330347 318
Котенков ультанул базой:

Обсуждал со знакомым релиз GPT-5, и он в попытках переубедить меня написал следующее: «Такое упражнение: отмотай на год назад и посмотри на свои ожидания от gpt-5».

И... я ещё раз убедился, что действительно за всего лишь год индустрия прошла большой путь:

— год назад даже не было рассуждающих моделей, первая, o1, была представлена лишь в сентябре (и нам дали поиграться с preview)

— основной рабочей лошадкой были GPT-4o и Claude 3.5 (даже не 3.6)

— разница в точности ответов между ризонером GPT-5 Thinking/pro и обычной GPT-4 выше, чем разница между GPT-3 и GPT-4.

На этом можно было закончить, так как уже и так хорошо провёл по губам всех скептиков, но ответ Котенкова был более развёрнут:

— не было ни Deep Research, ни Pro-версии; любой большой анализ часто занимал 3-4-5-6 промптов, и задачу приходилось футболить туда-сюда. Я не помню, чтобы пользовался LLM-поиском и агрегацией новостей, так как не доверял качеству, но возможно в августе уже было неплохо.

— максимальный объём кода, который я ожидал от модели в ответ на свой запрос, был примерно 100-150 строк. Рассуждающие модели конечно сильно нарастили этот объём.

o3, выпущенная 16 апреля — за 3.5 месяца до GPT-5 — была значимым шагом по отношению к o1, особенно в части поиска, и если бы её назвали GPT-5 — многие, включая меня, были бы рады. Но этого не случилось.

Как я не ожидал анонса o3 на декабрьских стримах под предлогом «так o1 вот только-только же показали, куда ещё то?», так и не ожидал огромного эпохального скачка от апреля до августа. При этом для бесплатных пользователей и для значимой части платных новые рассуждающие модели — это большой скачок.

Я не знаю, как надо сравнивать оригинальный релиз GPT-4 и GPT-5, чтобы говорить, что не произошло скачка как минимум уровня GPT-3.5 -> GPT-4. Просто все улучшения мы получали порциями и пробовали сразу: гораздо более дешёвая GPT-4-Turbo, чуть более умная и ещё более дешёвая GPT-4o (у которой вышло 3-4 версии!), рассуждающие модели, агенты. И действительно каждый отдельный шаг мог не казаться большим (ну, кроме ризонеров).

Множество маленьких шагов приводят к большим переменам. Общая тенденция по-прежнему весьма позитивна.

Как я писал про Gemini 2.5, и как я пишу сейчас про GPT-5 — модели становятся лучше, но на вещах, которые текущие популярные бенчмарки не покрывают. Может создаваться ощущение, что никакого прогресса нет, но уже появилось 2-3 свежих бенчмарка (например тут (https://mcp-universe.github.io/ ) или тут (https://x.com/alex_lacoste_/status/1958514714356400623 ), где пятёрка отрывается от предшественников.

Единственное, чего мне не хватило — это релиза большой модели. GPT-5 +- такая же (по количеству активных параметров; total может быть больше, но не на порядок), как GPT-4o, ведь OpenAI должны масштабировать её на миллиард пользователей.

В этом плане Anthropic круче: у них есть тяжеловес Opus, который настолько дорогой, что во многие бенчмарки его просто не добавляют. Люди мало им пользуются в Claude Code, ибо доллары улетают вмиг. Вот была бы какая-то GPT-5-Big... но может скоро и она появится? ждём
Аноним 24/08/25 Вск 05:15:38 1330348 319
>>1330335
промпты пиши на английском
Аноним 24/08/25 Вск 05:31:54 1330356 320
Аноним 24/08/25 Вск 06:03:59 1330361 321
>>1330335
Да, несколько лет назад скажи, что это ИИ, все бы охуели.
Аноним 24/08/25 Вск 09:50:05 1330405 322
>>1330356
Ну вот это уже получше, хотя и не мое.
Аноним 24/08/25 Вск 11:06:49 1330432 323
image.png 38Кб, 713x130
713x130
>>1330361
>несколько лет назад скажи
Аноним 24/08/25 Вск 11:09:56 1330433 324
>>1330347
Анон, я вижу ты шаришь. Какая на вкус сперма Котенкова?
Аноним 24/08/25 Вск 11:12:52 1330434 325
>>1330336
У руки робота износ такой же как у Сунь Хуйвыня? 40-60 лет? Если робот сломается, он уползает в свой рободом и его там бесплатно чинит его робосемья?
Аноним 24/08/25 Вск 11:32:37 1330441 326
image.png 2121Кб, 1024x1024
1024x1024
image.png 2103Кб, 1024x1024
1024x1024
>>1330281
>Да идея не новая, но мне нравится эта эстетика.
Стилистика действительно уникальная, редко где такую увидишь.
Аноним 24/08/25 Вск 14:36:09 1330558 327
>>1330441
Да бля. Скарлет сарафан и кокошник как влитые идут. Могла бы в сказке Морозко сыграть...
Аноним 24/08/25 Вск 15:30:03 1330607 328
>>1330558
Сельское лицо, хуле.
Аноним 24/08/25 Вск 17:13:44 1330650 329
А че так тухло?
Аноним 24/08/25 Вск 17:55:44 1330676 330
Аноним 24/08/25 Вск 18:12:11 1330687 331
Удивительно, что с новыми инструментами не заполнили ещё масштабных произведений с растущими фандомами inb4 - кто, я? Пока только нейроролики кто во что горазд. Сюжетные больше ста тысяч не набирают. А если бы в начале десятых были такие возможности нас бы ждало что-то сравнимое с RWBY
Аноним 24/08/25 Вск 18:45:39 1330717 332
Аноним 24/08/25 Вск 19:13:52 1330742 333
>>1330687
Зумерки не любят в текст, тиктоки с ютубами отучили. На текстосайтах в основном скуфы сидят, пишущие графоманию вручную. В ютубчиках напротив уже ролики с нейровставками или полностью генеренные регулярно проскакивают.
Аноним 24/08/25 Вск 22:31:29 1330886 334
image.png 30Кб, 202x249
202x249
Аноним 24/08/25 Вск 22:43:16 1330896 335
image.png 2121Кб, 1024x1024
1024x1024
>>1330687
>Удивительно, что с новыми инструментами не заполнили ещё масштабных произведений с растущими фандомами inb4 - кто, я? Пока только нейроролики кто во что горазд. Сюжетные больше ста тысяч не набирают. А если бы в начале девяностых были такие возможности нас бы ждало что-то сравнимое с Sailor Moon
Аноним 24/08/25 Вск 22:49:21 1330904 336
image.png 1722Кб, 1024x1024
1024x1024
>>1330896
Быстрофикс для маленького дегенерата.
Аноним 25/08/25 Пнд 00:37:09 1330960 337
Никаких АГИ в итоге?
Аноним 25/08/25 Пнд 00:40:54 1330962 338
>>1330960
Я верю в цука. Потому что он делает ставку не на ллм, а хочет получить новую модель, спрсобнуб рассуждать логически. Он хочет настоящий аги, а не ллм чатботов
Аноним 25/08/25 Пнд 00:50:28 1330965 339
По ощущениям, те модели, которые есть сейчас, должны были быть ещё в 2016.
Аноним 25/08/25 Пнд 01:29:04 1330986 340
>>1330965
Памяти не хватило бы
Аноним 25/08/25 Пнд 01:40:01 1330989 341
>>1330986
> По ощущениям
Алсо скажем пидарасам из амуде и нвидии спасибо.
Аноним 25/08/25 Пнд 03:24:13 1331032 342
>>1330989
Скорей бы уже китайцы начали экспонсию рынка ускорителей с 100+гб видеопамяти.
Аноним 25/08/25 Пнд 04:32:20 1331045 343
Как же ГПТ5 ебет: просто в лмарене за 15 минут, пока я объяснял ему почесывая яйца и ковыряя в носу, написал рутинный код, который бы я рожал два вечера, еще и пришлось бы читать гуглить думать. А тут и докстринги, и комментарии, и опции всякие.
Для полной красоты только войс инпута не хватает, чтобы были две руки свободны и можно было закинуть ноги на стол.
Аноним 25/08/25 Пнд 04:38:20 1331046 344
>>1331045
Двумя руками дрочишь, ногами жопой вертишь, при этом продолжая стонать в войс инпут ГПТ про докстринги, комментарии и опции. Новая работа программистов анальников.
Аноним 25/08/25 Пнд 05:25:42 1331049 345
>>1331046
Это то, о чем я всегда мечтал.
Аноним 25/08/25 Пнд 08:10:32 1331074 346
image 91Кб, 1296x942
1296x942
image 130Кб, 1174x822
1174x822
По данным Morgan Stanley, революция в области искусственного интеллекта сократит бюджеты компаний из списка S&P 500 почти на 1 триллион долларов в год — в основном за счет агентов и роботов, выполняющих работу людей.

Согласно новому обширному анализу Morgan Stanley, корпоративная Америка находится на пороге радикальных преобразований, поскольку внедрение искусственного интеллекта может принести экономию почти в 1 триллион долларов в год. Банк подсчитал, что 90 % рабочих мест в той или иной степени будут затронуты автоматизацией или расширением возможностей искусственного интеллекта, а экономия затрат будет напрямую связана с сокращением численности персонала, естественной убылью кадров и автоматизацией трудоемких, но рутинных задач.

Банк с Уолл-стрит оценивает, что широкомасштабное внедрение так называемого агентского программного обеспечения ИИ и воплощенной в жизнь гуманоидной робототехники ИИ может принести компаниям из списка S&P 500 920 миллиардов долларов чистой годовой прибыли. По мнению аналитиков, львиная доля этой экономии будет обеспечена за счет снижения расходов на заработную плату и сокращения потребности в человеческих ресурсах для выполнения повторяющихся или трудоемких задач.

Прогнозируемая экономия составляет примерно 28% от доналоговой прибыли индекса в 2026 году — по мнению аналитиков, это поразительное повышение эффективности, которое найдет отражение во всех отраслях. Есть и другие предостережения: команда Morgan Stanley по тематическому инвестированию предупреждает, что для достижения такой экономии «потребуется много лет», и видит «значительный риск» того, что некоторые компании не смогут полностью внедрить эти меры. Они добавляют, что цифра в 920 миллиардов долларов составляет 41% от общих расходов на вознаграждения S&P 500, и у них есть достаточные данные для проведения анализа только примерно 90% ко
«Создание экономической стоимости», как они это называют, будет достигаться за счет сокращения затрат (например, сокращения численности персонала и снижения затрат на выполнение широкого спектра задач за счет внедрения ИИ) и получения новых доходов и маржи, поскольку сотрудники будут освобождены от выполнения рутинных задач и смогут уделять больше времени деятельности с более высокой добавленной стоимостью, которая может как увеличить доходы, так и повысить маржу. Они видят широкий спектр баланса между этими двумя факторами в зависимости от отрасли и профессии. Согласно отчету, 920 миллиардов долларов годовой экономической выгоды могут привести к увеличению рыночной стоимости S&P 500 на 13–16 триллионов долларов, в зависимости от коэффициентов оценки. Эта цифра составит почти четверть всей сегодняшней рыночной капитализации.


Не все отрасли почувствуют влияние в равной степени. Как видно из приведенной ниже диаграммы, дистрибуция и розничная торговля товарами повседневного спроса, управление недвижимостью и транспортные услуги относятся к числу наиболее уязвимых секторов, где потенциальный рост производительности за счет ИИ может превысить 100% прогнозируемой прибыли в 2026 году. Отрасли медицинского оборудования и услуг, автомобилестроения и профессиональных услуг также столкнутся с серьезными изменениями и получат новые возможности.


Напротив, отрасли, которые уже работают с минимальными трудозатратами по отношению к доходам, такие как производство полупроводников и оборудования, демонстрируют сравнительно более низкий потенциал использования ИИ.


Хотя основная экономия будет достигнута за счет сокращения затрат на заработную плату, Morgan Stanley подчеркнул разницу между полной автоматизацией и расширением задач. Агентный ИИ, который охватывает генеративный ИИ и программные приложения, как правило, перераспределяет задачи, а не полностью устраняет рабочие места, в то время как воплощенный ИИ в виде гуманоидных роботов представляет более прямые риски замещения в таких отраслях, как логистика и физическая розничная торговля.

В отчете также прогнозируется появление совершенно новых категорий рабочих мест — от главных специалистов по ИИ до специалистов по управлению ИИ — наряду с тенденцией к вытеснению, что повторяет предыдущие волны технологических перемен, которые повысили спрос на программистов, ИТ-специалистов и специалистов по цифровому маркетингу.
Аноним 25/08/25 Пнд 08:35:24 1331081 347
photo2025-08-24[...].jpg 57Кб, 999x1024
999x1024
Аноним 25/08/25 Пнд 08:36:07 1331082 348
photo2025-08-23[...].jpg 116Кб, 774x1280
774x1280
Основатель команды GenAI в Google заявил, что сейчас не стоит получать медицинское или юридическое образование

Но прежде, чем мы приведем прямую цитату, небольшая поправка для большего понимания: под «основателем команды GenAI» журналисты имеют в виду не известного Демиса Хассабиса, а Джада Тарифи. Он уже даже не работает в Google с 2021 года, а эту самую команду основал еще в 2012. Заголовки оставляют желать лучшего.

Ну так вот, он сказал (https://futurism.com/former-google-ai-exec-law-medicine ), что вообще не рекомендует получать высшее образование, особенно в сферах медицины и юриспруденции. Мол, к тому моменту, как вы окончите вуз, ИИ уже сделает эти профессии полностью нерелевантными.

Я не думаю, что кому-либо вообще стоит делать PhD, если только он не одержим своей областью. Так что либо уходите в малоизученные ниши типа AI для биологии, либо просто не идите вообще никуда.
Аноним 25/08/25 Пнд 08:37:40 1331084 349
photo2025-08-23[...].jpg 49Кб, 1212x866
1212x866
Elon Musk показал как часто популярные AI приложения обновлялись за последние 2 недели на ios,

подписав эту картинку

Grok развивается намного быстрее, чем любая другая ИИ-система.

Если такой темп прогресса сохранится,
@xAI
обгонит другие компании в сфере ИИ с большим отрывом.

Обновления приложения примерно соответствуют внутренним улучшениям.


и это чистая правда, они обновляют приложение как не в себя, каждый раз когда я открываю приложение я сначала захожу его обновить. В то время как тот же chatgpt обновляется один, ну два раза в неделю.

https://x.com/elonmusk/status/1958854561579638960
Аноним 25/08/25 Пнд 08:39:18 1331085 350
IMG0270.MP4 14515Кб, 1280x720, 00:00:49
1280x720
Джеффри Хинтон снова пугает байками про конец света: он утверждает, что с развитием искусственного интеллекта мы буквально создаем инопланетных существ:

Мы никогда не имели дело с чем-то, что умнее нас. Я имею в виду, ядерное оружие не умнее нас, оно просто создает большие взрывы. И его легко понять. А экзистенциальная угроза – это совсем другое.

В случае с ИИ люди просто не понимают, что мы создаем инопланетян. Если бы вы посмотрели в телескоп Джеймса Уэбба и увидели, что на Землю через 10 лет прилетит инопланетный флот, люди бы были в ужасе.

А это, фактически, и есть то, что мы делаем. Это и есть реальные существа. Они понимают, что говорят, они могут строить собственные планы и шантажировать людей, которые хотят их отключить)

Мы должны быть очень обеспокоены по этому поводу и срочно начать проводить исследования, чтобы понять, как предотвратить захват власти. Потому что эта угроза отлична от всего, с чем мы встречались ранее.
Аноним 25/08/25 Пнд 08:43:52 1331086 351
>>1331082
Все так, образование 5 лет, за это время нейронки уже столько поколений пройдут, что будут сами как профессор, а ты только как бакалавр-аспирант. К тому же агентскую самостоятельность приобретут, так что даже эникейщика сажать не надо будет.
Аноним 25/08/25 Пнд 08:45:45 1331089 352
>>1331084
А я это подозревал, когда старый Грок ответы выдавал на уровне ГПТ5, который на много лет дольше чем Грок разрабатывали.
Аноним 25/08/25 Пнд 08:48:41 1331091 353
>>1331085
У деда шиза. Это просто компы, которые можно сломать молотком, сами по себе они угрозы не представляют. Страшнее если богачи их будут использовать, чтобы управлять массами, что они уже и делают. Богач опаснее по-всякому, ибо у него есть конкретная цель удержать бабки-власть.
Аноним 25/08/25 Пнд 08:49:08 1331092 354
image.png 307Кб, 500x676
500x676
image.png 2Кб, 50x44
50x44
>>1331085
>мы буквально создаем инопланетных существ
Нахуй ты это дрисню сюда уебок тащишь?
Аноним 25/08/25 Пнд 08:50:17 1331093 355
>>1331091
> Страшнее если богачи будут управлять массами, что они уже и делают
Пофиксил. С тех пор как от матриархата отказались и началась эта хуйня.
Аноним 25/08/25 Пнд 08:52:53 1331094 356
>>1331084
>обгонит другие компании в сфере ИИ с большим отрывом.
>>1331089
>на уровне ГПТ5,
Пусть сперва на уровне гемини выдаст. Но даже такие ответы - это как и в случае с дипсиком, просто очень много ворованной синтетики. Вот когда сделает ЛУЧШЕ, чем у конкурентов, пусть тогда и кукарекает. А иконки они там могут хоть три раза в секунду менять. За последние три месяца у грока из прогресса только то, что его за пейволом и лимитами спрятали.
Аноним 25/08/25 Пнд 08:55:22 1331095 357
>>1331082
>Основатель команды GenAI в Google заявил, что сейчас не стоит получать медицинское или юридическое образование
Этого уебка больше к мясным врачам не класть. Вот бы такие репутационные списки были у профессий. Пизданул хуйню вот такую подрывающую доверие к профессии - тебе абсолютно все отказывают. Охуенно же. Пошел бы лечиться к своим трансформерам, долбоебик. Посмотрел бы я, как ему инсультный робот на аполоджайсящем чатботе будет операцию делать.
Аноним 25/08/25 Пнд 09:01:41 1331100 358
photo2025-08-22[...].jpg 99Кб, 720x1187
720x1187
Logan Kilpatrick о Nano-banana

Один человек в X спросил:

Как скоро мы сможем получить Nano-banana?

На это Logan ответил:

Хорошие модели приходят к тем, кто терпелив.

Кстати, народ уверен, что Nano-banana это gemini 3 image, а значит авторегрессионная модель
Аноним 25/08/25 Пнд 09:24:57 1331105 359
>>1331074
Как же хорошо! Святой кабанчик больше заработает!!
Аноним 25/08/25 Пнд 09:28:32 1331107 360
>>1331045
Эта хуета щас забыла суть первого моего сообщения и кормила меня говном, все ломая. Когда я уточнил, че она творит, она признала, что чет нахуй забыла, что я е изначально написал.

Зачел к китайскому братушке с тем же запросом - в 2 сообщения все решили.

И, кстати, стала 5 очень чудно на русском разговаривать. Какие-то слова ебанутые подбирает, значения им придумывает, пиздос.
Аноним 25/08/25 Пнд 09:36:34 1331113 361
image.png 424Кб, 602x758
602x758
>>1331082
>Основатель команды GenAI в Google заявил, что сейчас не стоит получать медицинское или юридическое образование
Ебать, Россия то впереди планеты всей оказывается! На острие, так сказать!
Аноним 25/08/25 Пнд 10:46:28 1331151 362
>>1331113
У фельдьшеров и акушеров медицинское образование.
Аноним 25/08/25 Пнд 11:09:24 1331170 363
image.png 1656Кб, 7279x3166
7279x3166
Пикча создана форчекуками. Для меня зима наступила где-то после Опуса
Аноним 25/08/25 Пнд 12:10:04 1331197 364
X2Twitter.compy[...].mp4 732Кб, 480x270, 00:00:54
480x270
Южнокорейская компания WIRobotics официально представила интеллектуального робота ALLEX. Этот робот специально разработан для высокоточных промышленных и производственных задач
Аноним 25/08/25 Пнд 12:11:10 1331199 365
>>1331197
Ебать как он высокоточно смотрит на конденсатор
Аноним 25/08/25 Пнд 12:13:07 1331201 366
>>1331100
>Хорошие модели
Местами сильно посасывает даже у калтекста про. Лица кстати тоже норм пидорасит.
Аноним 25/08/25 Пнд 12:14:34 1331204 367
>>1331105
>Как же хорошо! Святой кабанчик больше заработает!!
Их выебут налогами, потом профсоюзы потребуют свою долю. Не всё так однозначно. Пока это маняпрогнозы, но как дело дойдет до реальных сумм - придется делиться, это тебе не плановая калмунистическая псевдоэкономика.
Аноним 25/08/25 Пнд 12:17:54 1331205 368
>>1331170
> где-то после Опуса
Ты хоть читал что там написано? Это долбоебы пердолящие локальных лоботомитов, когда этот кал стоит 1 бакс за стомильёнов токенов на АПИ. Отнеси пердолям в тред, взрослым дядям этот прыщеблядский цырк с ригами не интересен. Нормальный дядя себе квартиру пятую пеокупает или шестую машину на эти деньги, а не клеит риг, чтоб потными ручками натирать 12см хуишко на "я тебя ебу ты меня ебешь".
Аноним 25/08/25 Пнд 12:21:50 1331207 369
image.png 96Кб, 719x243
719x243
>>1331197
И зачем им робоинвалид колясочник, когда мясных дохуя? Опять ремкламка для стрижки мамонтов инвесторов.
Аноним 25/08/25 Пнд 12:29:25 1331218 370
>>1331045
вранье
я писал с гпт моды для гта, про моды давно в инете много инфы
а сейчас гта обновили до новой ртх версии, многие моды сломались, инфы об этом мало и она вся только свежая и гпт делает пуксреньк когда я с ним пытаюсь что то написать, весь его ум это воровство кода из гитхабов, а как на гитхабе пусто сам он ничего не напишет, все ломится от эроров а просьба исправить выливается в полное переписывание всего кода и новые ошибки
Аноним 25/08/25 Пнд 12:33:21 1331223 371
Аноним 25/08/25 Пнд 13:18:37 1331238 372
>>1331045
>Для полной красоты только войс инпута
у гугла в ai студио такой есть
Аноним 25/08/25 Пнд 15:03:29 1331301 373
>>1331197
Если он своими руками сможет ремонтировать сам себя, то это прорыв.
Аноним 25/08/25 Пнд 15:05:13 1331303 374
>>1331113
В криптоколонии бензоколонке, которая, будучи 2-й в мире по экспорту углеводородов, покупает галоши, аборигенов должны вообще ветеринары лечить.
Врачи это для гауляйтеров.
Аноним 25/08/25 Пнд 15:06:52 1331307 375
>>1331093
>С тех пор как от матриархата отказались
Протекаешь.
Аноним 25/08/25 Пнд 15:14:08 1331310 376
>>1330687
1. генерировать всё ещё стоит приличных бабок, времени и режиссёрских креативных навыков.
2. сложные сюжеты и композиции даже в виде картинок не генерятся с одного промпта.
3. те немногие, кто может создавать такой контент, не принадлежат к фандомам никаким вообще. Это довольно зрелые люди. А фандомы — это дети и инфанты.
Аноним 25/08/25 Пнд 15:19:29 1331318 377
>>1331307
Сняла труселя и смачно протекла тебе на ебло, инцел)
Аноним 25/08/25 Пнд 15:27:49 1331329 378
>>1331082
Не стоит получать юридическое точно. Потому что это впитывание огромного числа текста и сбор статистики и выводов по тексту.

Медицинское нужно. Одно дело ставить диагноз (хотя и тут нейронки только ассистировать могут), другое дело курировать операцию. До роботов, способных провернуть любую операцию охуеть как далеко.

Четыре года назад кричали, что всё, пиздос, не идите в погромисты, профессия вымрет! Ща «вся СИЛИКОНОВАЯ долина вайбкодит на нэйтив инглише». Делись куда-то программисты? Не-а. Работы у них поменьше стало немного, конечно.

А так нейронками кодят те, кто и так не собирался прогеров нанимать.

>>1331085
Этим мантрам уже пару десятилетий.
Нахуй не нужен АГИ. Нужны специализированные эффективные аутисты.

>>1331113
Ащемта ассистирование в чтении бумажек и постановке диагноза — это збс.

>>1331197
Оч хороша точность и моторика. Нраица.

>>1331218
Отличный пример.
Аноним 25/08/25 Пнд 15:51:46 1331369 379
>>1331218
Хз, недавно надо было мод на кубач обновить, но после долгого перерыва я забыл тонкости миксинсов, так мне гопота чотко все расписала, прицепиться к инициализации класса я бы не сразу додумался, так как до этого по другому делал. Расписала альтернативы, тонкости и тд. А по миксинсам еще и инфы везде понемножку, искать трудно.
Может ты какой-то не той моделью пользовался? На арене гпт5-хай, но у нее, похоже, лимиты на сообщения или токены есть.
Ну и если обновление недавно было, то надо через раги всякие или контекст документацию скармливать, нейронка тут не при чем.
Аноним 25/08/25 Пнд 16:02:13 1331391 380
>>1330335
>видеогенерации
А чо, губы двигаются правильно - сделать студийную запись отдельно текста, и наложить на видео.
Аноним 25/08/25 Пнд 16:14:41 1331409 381
>>1331201
>Местами сильно посасывает даже у калтекста про.

Пруфов, кстати не будет.

>Лица кстати тоже норм пидорасит.

Покажи нейросеть, которая лучше сохраняет лица, тупоголовый чмондель
Аноним 25/08/25 Пнд 16:26:45 1331426 382
>>1331074
Что интересно что конвейеры в 1920-х и роботов в 2020-х придумали всё те же капиталисты на Западе, а не ленинисты. Ленинисты почему-то наоборот очень редко обновляли оборудование на своих заводах.
Аноним 25/08/25 Пнд 16:32:07 1331429 383
>>1331086
А кто-то их проверять на точность должен же? Хотя можно и тут сделать так чтобы ответы от ИИ общего назначения проверяла специализированная ИИ на какой-то одной узкой.
Аноним 25/08/25 Пнд 16:35:44 1331433 384
>>1331085
Так если ИИ умнее, то пусть захватит власть и управляет вместо людей. Вряд ли ИИ будет корурпционером и станет воровать деньги рабочих, рассказывая что это делает внешний враг и чтобы жить лучше нужно воевать с внешними врагами.
Аноним 25/08/25 Пнд 16:42:06 1331441 385
пародия на 11ла[...].mp4 8024Кб, 576x1024, 00:00:59
576x1024
>>1325173 (OP)
походу новая версия элевенлабс
Аноним 25/08/25 Пнд 17:04:41 1331452 386
>>1331429
А её кто проверит? Откуда деньги в тумбочке, долбоеб?

>>1331409
>Покажи нейросеть
Калтекст, ван22, много кто. Ты ушибленный на банане то видать не роллил нихуя. Она больна тем же, чем нынешний гемини имидж флэш - периодически срёт другими лицами. Хайпохуй уже вытащи изо рта, чуда не случилось.

>Пруфов, кстати не будет.
съеби на арену чмонька

>>1331329
>Не стоит получать юридическое точно.
Кекнул с недоумка, который даже не знает что в РФ и США разные системы права.

>Потому что это впитывание огромного числа текста и сбор статистики и выводов по тексту.
Ага, а бухгалтер считает цифоры, поэтому его можно заменить калкулятором. Не позорься.

>>1331223
прив)
Аноним 25/08/25 Пнд 17:10:16 1331454 387
>>1331452
>долбоеб?
О, русский мир.
Аноним 25/08/25 Пнд 17:28:08 1331464 388
image.png 2Кб, 50x43
50x43
>>1331454
А есть какой-то другой?
Аноним 25/08/25 Пнд 17:35:49 1331471 389
>>1331318

А ведь кто-то называл меня итт жируха-шизом

Вот, кушайте с маслом

мимо
Аноним 25/08/25 Пнд 17:45:23 1331483 390
Аноним 25/08/25 Пнд 17:49:30 1331487 391
>>1331452
>Калтекст, ван22, много кто.

Хуйсос тупоголовый, а как ты будешь контрить, когда банана займёт первое место на арене? Шиз ебанный
Аноним 25/08/25 Пнд 17:53:48 1331490 392
>>1331487
>когда банана заливающая все пики низким контрастом займёт первое место на арене?
Поссу тебе в ебало, брызги достануться всем форсерам очередного кала. Арена вообще не показатель, там жопочат в топах, при нормальном доступе к хорошим моделям. Потому что миллионы мух.
Аноним 25/08/25 Пнд 17:56:13 1331494 393
>>1331441
какой же ебанутый синтез голоса. А видео отличное.

>>1331452
> Ага, а бухгалтер считает цифоры, поэтому его можно заменить калкулятором.

Не калькулятором. Но бригаду старых тёток заменяет один толковый человек с нейронками, гуглом и навыками кодинга.
Причём у человека этого половина рабочего времени — надзор за работающим софтом.

>разные системы права.
охуеть проблема. Никто вменяемый не будет использовать гопоту общего назначения для узкой цели. Обучат/оттюнят своё.
Аноним 25/08/25 Пнд 17:57:43 1331496 394
>>1331441
кек, а видео, походу не нейронка, да?
Аноним 25/08/25 Пнд 18:10:42 1331505 395
>>1331483
>терпи
>залётная пикабушная свинья не знает как и где применять полюбившийся ей смищной мемасик

Расскажи про матриархат у охотников-собирателей, жируха
Аноним 25/08/25 Пнд 18:12:13 1331507 396
>>1331494
>Но бригаду старых тёток заменяет один толковый человек с нейронками, гуглом и навыками кодинга.
Нет, не заменяет. Потому что нет там давно расчетных групп, голову из жопы вытащи. И как твой клоун будет вести черную кассу, и делать мильён узкоспецифичных для каждой фирмы проводок. Просто иди нахуй. Я тебя год назад обоссывал и сейчас обоссу и буду обоссывать и впредь, диванный теоретик. Прежде чем свой зассаный рот открывать - убедись, что ты в своей сфере компетенции рассуждаешь. Вот когда будем про поедание говна говорить, тогда можешь вставить свои 5 копеек.

>>1331494
>охуеть проблема. Никто вменяемый
Еблан, сперва узнай что нужно знать о законодательстве русскому юристу или налоговику, к примеру. И узнай за что им деньги платят. То что ты там пукнул - никто и не учит, есть спец.системы справочные которым уже 15-20 лет. Главный там - человек и его решения, а так же - связи. Личные.
Аноним 25/08/25 Пнд 18:13:11 1331509 397
Аноним 25/08/25 Пнд 18:17:13 1331512 398
>>1331509
Ты на вопрос будешь отвечать свинина залётная?

Как там дела с матриархатом у охотников-собирателей?

Мм?
Аноним 25/08/25 Пнд 18:54:44 1331545 399
>>1331512
(За столом сидит команда знатоков, напряженно переглядываясь. Звучит тревожная музыка, которая плавно затихает. Голос за кадром, с характерными бархатными интонациями.)

Ведущий: Внимание, вопрос! Телезритель из города Мышкин интересуется: как же всё-таки обстояли дела с матриархатом у наших предков, охотников и собирателей? На обсуждение дается одна минута. Время пошло!

(Звучит тиканье метронома, знатоки что-то шепчут друг другу. Ровно через минуту раздается удар гонга.)

ДЗЫЫЫНННЬ!

Ведущий: Итак, минута истекла. Кто будет отвечать?

Капитан команды: Отвечать будет Александр Друзь.

(Камера крупным планом показывает Александра Друзя. Он поправляет очки, делает небольшую паузу и начинает говорить спокойным, рассудительным голосом.)

Александр Друзь: На вопрос отвечает Александр Друзь.

Господин Ведущий. Вопрос телезрителя, при всей его кажущейся простоте, содержит в себе, я бы сказал, семантическую ловушку. Слово «матриархат» рисует в нашем воображении мир амазонок, где женщины правят, а мужчины безропотно подчиняются. Эдакий патриархат, но со знаком «минус».

Так вот, чтобы дать точный ответ, мы должны сначала отделить зёрна от плевел.

Во-первых, если мы говорим о матриархате как о системе, где вся политическая, экономическая и социальная власть сосредоточена в руках женщин, — то такого, по данным современной антропологии, у охотников-собирателей, скорее всего, не было. Это красивый миф XIX века.

Но! И это, господин Ведущий, во-вторых и самое главное. Отсутствие матриархата не означало наличие патриархата. Для большинства обществ охотников-собирателей был характерен эгалитаризм, то есть относительное равенство.

А теперь — внимание — правильный ответ. Вместо «матриархата» учёные используют другие, более точные термины.

1. Матрилинейность. счёт родства вёлся по материнской линии. Вы принадлежали к роду своей матери, а не отца. Это уже давало женщине колоссальный статус.

2. Матрилокальность. После «свадьбы» мужчина часто уходил жить в общину жены. Представьте себе: женщина окружена своими матерями, сёстрами, тётями, а муж — «пришлый». Кто в такой ситуации будет иметь большее влияние и поддержку? Ответ очевиден.

3. Экономическая значимость. Женщины-собирательницы приносили в общину до 70-80% стабильной пищи — коренья, ягоды, орехи. Охота мужчин была важна, но непредсказуема. Тот, кто контролирует основной продуктовый ресурс, не может не пользоваться уважением.

Итак, наш ответ. Классического матриархата, как зеркального отражения патриархата, у охотников-собирателей не было. Но было нечто, возможно, гораздо более интересное и гармоничное: высокое положение женщины, её центральная роль в роду и обществе, основанная не на власти и подавлении, а на уважении, родственных связях и экономической значимости. Это был мир партнёрства, а не диктатуры.

Ведущий: Ответ принят!

(Звучит торжественная музыка.)

Ведущий: Телезритель из города Мышкин спрашивал, как дела с матриархатом. Александр Друзь блестяще объяснил, что вопрос нужно ставить иначе, и рассказал о матрилинейности и высоком статусе женщины. Ответ абсолютно точный! Команда знатоков зарабатывает очко! Счёт становится 1:0 в пользу знатоков
Аноним 25/08/25 Пнд 19:14:26 1331561 400
Аноним 25/08/25 Пнд 19:32:54 1331578 401
image.png 119Кб, 1080x733
1080x733
Гугл готовит релизы
Аноним 25/08/25 Пнд 19:45:26 1331584 402
>>1331507
> И как твой клоун будет вести черную кассу,
> Связи
вот за это прежде всего надо ебать раскалённой кочергой и выкидывать из профессии.


>Я тебя год назад
Я тут месяца полтора.
Аноним 25/08/25 Пнд 19:48:51 1331588 403
Аноним 25/08/25 Пнд 19:53:12 1331594 404
>>1331584
>вот за это прежде всего надо ебать раскалённой кочергой и выкидывать из профессии.
Ты явно долбоеб какой-то. Сперва узнай, сынок, как мир устроен.


>Я тут месяца полтора.
Это двач, то что у вас эстафе по передаче долбоебства ничего не меняет. Ты тут под себя срешь с 2006.
Аноним 25/08/25 Пнд 19:56:24 1331598 405
X.png 389Кб, 716x717
716x717
>>1331545

>соевый нейропук, натягивание совы

Так что там с матриархатом у охотников-собирателей, толстушка? Бренди своего послушного кибер-омежки оставь при себе
Аноним 25/08/25 Пнд 20:00:21 1331601 406
>>1331598
>Бренди

Бредни

Лолфикс
Аноним 25/08/25 Пнд 20:21:29 1331632 407
>>1331594
>сынок,
батя, тебя давно не было. Пришлось мамку ебать.

> как мир устроен.
Я в курсе как он устроен, это не значит, что такое устройство нужно активно поддерживать. Напротив весь прогресс направлен на изменение мира.
Аноним 25/08/25 Пнд 20:23:08 1331633 408
>>1331601
Мама пить не разрешает?
Аноним 25/08/25 Пнд 20:25:31 1331637 409
>>1331632
>Напротив весь прогресс направлен на изменение мира.
Как тебе железный болван поможет конкретно завтра в саратовском суде отмазаться от тюрячки? Никак. Пердеть про будущее-хуюдущее можно, но лучше быть реалистом. Никто не променяет мясного юриста с болтом с хитрой резьбой на сжимающееся очко Альтмана. По миллиарду причин.
Аноним 25/08/25 Пнд 20:29:56 1331646 410
>>1331633
Я лью ледяную местную водку в горячий чёрный-чёрный дешёвый китайский чай. Рикамендую

Мамка падает в обморок
Аноним 25/08/25 Пнд 20:56:14 1331686 411
>>1331578
Надеюсь, это Gemini 3 Pro, а не нана-банана.
Аноним 25/08/25 Пнд 21:02:30 1331694 412
>>1331637
>никто не променяет домашнюю еду, сделанную руками на бездушный продукт с вонючего конвейера!
Аноним 25/08/25 Пнд 21:06:09 1331703 413
Бля, gpt-5 без ризонинга такая залупа. У меня стоит систем промпт не писать комментариев в коде, я только сейчас понял что она это просто игнорирует, когда перешлось переключиться на ризонинг. Даже 4о всегда следовала этому промпту, пиздец. Переключить кста пришлось потому gpt-5 еще и тупая и не смогла в код, правда задача там не такая простая, так что ладно. Gpt-5 thinking mini кста неплохая, нашла в чем обосралась гпт-5 и исправила выдав код без комментариев.
Аноним 25/08/25 Пнд 21:08:23 1331705 414
>>1331694
И? Почему ты считаешь, что умирающие от рака или те кого ебает инсульт в 40 и они не доживают до 60 - это выигрышный аргумент? Ты глупые?
Аноним 25/08/25 Пнд 21:09:28 1331707 415
Аноним 25/08/25 Пнд 21:18:02 1331715 416
>>1331705
ты это к чему приплёл?

К тому что конвейерная пища плохая? Так она плохая не из-за конвейера а из-за человеческой жадности и необходимости её сохранить подольше и подать покрасивше.

Я вот в магазе беру один продукт мясной. Не покрашен, без консервантов (только соль, лаврушка).
НО его никогда не привезут в жару. Привозят мало, чтобы за день-два разобрали, в холодосе не хранится толком, три дня и уже запах несвежий.

Дело не в конвейере и не в руках. Конвейер погигиеничнее будет и может делать то же качество что руки, но дешевле.
Аноним 25/08/25 Пнд 21:23:44 1331724 417
image.png 2Кб, 50x43
50x43
image.png 49Кб, 708x229
708x229
>>1331715
>Конвейер погигиеничнее будет
Реально додик диванный. По ночам мясорубку в которой делают твой продукт мясной - облизывают крысы. С утра, перед сменой, делают тестовый пуск, чтоб сидящих внутри крыс перемолоть.

Норма ФДА на жуков в молотом кофе - 10%.
Аноним 25/08/25 Пнд 21:25:03 1331728 418
>>1331715
> три дня и уже запах несвежий.
>
Потому что твой холодец с говна сделан, держу в курсе. Там уже не свежее мясо.
Аноним 25/08/25 Пнд 21:40:35 1331755 419
клоун сраный.jpg 551Кб, 582x800
582x800
>>1331728
нет. Потому что на поверхности есть бактерии и нет консерванта, который бы мешал.

> облизывают крысы
Не крысы, а сраные клоуны, как ты.
То что где-то случилось однажды ты экстраполируешь на всю промышленность. Слишком жирно.
Аноним 25/08/25 Пнд 22:32:50 1331815 420
>>1331545
>Тот, кто контролирует основной продуктовый ресурс, не может не пользоваться уважением.
Ты имеешь власть только над тем, что можешь уничтожить.
А так-то хохлы тоже контролируют 100% сбора клубники в польше.
Аноним 25/08/25 Пнд 22:34:27 1331818 421
Интерфейс гемини изменили, еще теперь чаты сохраняются автоматом и сама кнопка сохранения пропала (по крайней мере я её не нашел там где она была раньше)
Аноним 25/08/25 Пнд 22:40:10 1331836 422
Аноним 26/08/25 Втр 01:27:33 1331989 423
image 373Кб, 1079x1498
1079x1498
Елон Маск сообщает - когда Грок допилят, у всех будет универсальный высокий доход (не базовый доход). У всех будет хорошая медицина, еда, дома, транспорт и все остальное. Будет устойчивое изобилие.
Аноним 26/08/25 Втр 01:36:07 1331990 424
image 174Кб, 2242x718
2242x718
>>1331989
Демис Саххабис, главный инженер Гугл Дипмайнд, поддержал Маска и сообщил, что будет универсальный высокий доход.

«Мы точно знаем, что грядут огромные перемены», сопоставимые с промышленной революцией, но сжатые в «более короткий период времени, и они могут быть даже более масштабными». Он прогнозирует, что в течение следующего десятилетия генеративные инструменты будут действовать как «невероятные усилители производительности», давая работникам почти «сверхчеловеческие» способности.

После этого, добавил он, возникает вопрос о том, как распределить эту неожиданную прибыль: «Возможно, нам понадобятся такие вещи, как всеобщий высокий доход или какой-то способ распределения всей дополнительной производительности, которую обеспечит ИИ».
Аноним 26/08/25 Втр 01:58:28 1331997 425
>>1331989
Ща в треде эксперты расскажут что это все заговор жидов и ничего такого не будет, у нас только отнимут работу и отберут все ресурсы.
Аноним 26/08/25 Втр 02:49:18 1332035 426
>>1331997
Почему он урезал лимиты на грок? Как это с его бредовыми фантазиями сочетается? Никак.
Аноним 26/08/25 Втр 02:54:42 1332039 427
>>1331755
>Потому что на поверхности есть бактерии
Потому что ашот не мыл руки, когда ногами месил твой холодец в чане.

>То что где-то случилось однажды
Дружище, в ЛЮБОМ супермаркете есть крыши и мыши. И по ночам они там бегают по фруктам и овощам. А ты потом их споласкиваешь водичкой и кушаешь, ведь во вкусвилле тебе уже все заботливо помыли - зачем перемывать? Там ведь днём так чисто и нарядно. Но есть проблема. Паразиты всегда рядом, это аксиома. Если тебе пиздят, что их нет - тебе пиздят. Я не знаю как там в Америках, но в нашей родненькой Снигерии - на всех производствах пиздец. А когда ты покупаешь хуйню, которую литералли из отходов делают - ну хуй знает, на что ты там расчитывашь. Спасибо, что не стал отрицать, что это говнохолодец. Почему говно-? Не буду тебя расстраивать.
Аноним 26/08/25 Втр 03:02:49 1332046 428
>>1331997
Я рывка я вызову немедленно тайминг не при пропустил перешел мясника но виде к.
Аноним 26/08/25 Втр 03:29:34 1332058 429
>>1332035
Вот именно что никак. Как должно сочетаться то что он урезал лимиты на грок и то что в будущем AGI даст людям базовый доход? Ты бы еще спросил в 2009 году почему биткоин не стоит миллиарды. Речь про прогнозирование и цели, а не про то что мы имеем сейчас.
Аноним 26/08/25 Втр 04:48:58 1332070 430
>>1331490
Так жопочат до выхода бананы и правда топ1, сын ты тупой собаки, модели ещё оцениваются по уровню понимания промпта, а не только по твоим шизоидных критериям.
Аноним 26/08/25 Втр 05:08:31 1332073 431
>>1331724
> не из-за конвейера а из-за человеческой жадности
Зачем ты такой долбоеб? Мало того, что аватарка, так еще в качестве доказательств приводишь аутпуты нейросети. На русике.
Аноним 26/08/25 Втр 05:09:52 1332074 432
photo2025-08-25[...].jpg 14Кб, 644x216
644x216
photo2025-08-25[...].jpg 51Кб, 680x383
680x383
Патрик Лобер, дев рел из Google Deepmind твитторнул непереводимую игру слов.

happy monday, wishing everyone a very a-peel-ing week ahead!

peel - снимать шкурку с банана.
appealing - привлекательный
Аноним 26/08/25 Втр 05:56:04 1332084 433
468706733-976b4[...].mp4 9757Кб, 960x544, 00:01:03
960x544
Untitlgfgfged.mp4 26739Кб, 800x720, 00:01:40
800x720
photo2025-08-25[...].jpg 102Кб, 1280x599
1280x599
benchgsb.jpg 627Кб, 4147x1911
4147x1911
468706473-bd6c6[...].mp4 9175Кб, 960x544, 00:01:02
960x544
Вы будете смеяца, но у нас очередной опенсорсный генератор видео от Bytedance's opensource FoundationVisionmodels. И сразу SOTA среди опенсорсов. Качество выше, чем у Veo 2, и даже выше, чем у Veo 3-fast. А в некоторых сценариях и обычной Veo 3.

Waver 1.0

Единая модель от ByteDance для генерации видео и изображений

— поддерживает создание видео по тексту и изображениям;

— генерирует видео длиной 5 и 10 секунд;

— работает с разрешением 720p и 1080p;

— создаёт видео с реалистичными движениями, особенно в масштабных сценах с людьми и животными;

— позволяет создавать нарративные видео с несколькими последовательными кадрами, сохраняя при этом согласованность сюжета, визуального стиля и атмосферы;

— поддерживает генерацию видео в различных художественных стилях, включая гиперреализм, анимацию, плюшевые игрушки и другие;

— способна отображать сложные и масштабные движения, например, в спортивных сценах;

— может создавать видео с многокамерным повествованием, обеспечивая согласованность основного объекта, визуального стиля и общей атмосферы при переключении кадров.

Гитхаб пока без кода https://github.com/FoundationVision/Waver?tab=readme-ov-file
Потестить можно у них в дискорде, ссылка на сайте

сайт: http://www.waver.video
Аноним 26/08/25 Втр 06:05:57 1332088 434
We finally have[...].mp4 1808Кб, 400x400, 00:01:08
400x400
VibeVoice: новая опенсорс модель преобразования текста в речь (TTS) для длительных разговоров с несколькими голосами от Микрософт.

1.5B параметров.
MIT licensed
генерация до полутора часов
сильная эмоциональная окрашенность

Подробнее:
VibeVoice - это новый фреймворк, разработанный для создания выразительных и продолжительных аудиозаписей разговоров с участием нескольких говорящих (таких как подкасты) из текста. Он фиксит важные проблемы традиционных систем преобразования текста в речь (TTS), в частности, связанные с масштабируемостью, согласованностью говорящих и естественной очередностью.

Модель может синтезировать речь длительностью до 90 минут с участием до 4 отдельных ораторов , что превышает типичные ограничения многих предыдущих моделей на 1-2 оратора

Страница проекта: https://microsoft.github.io/VibeVoice/ - много примеров

Там найдете веса, код и даже градио-демо:
https://86636c494bbddc69c7.gradio.live/
Аноним 26/08/25 Втр 06:06:45 1332089 435
ПарадоксКоннора.mp4 14410Кб, 1280x720, 00:05:22
1280x720
Google научился генерить видеопрезентации и подкасты на РУССКОМ из ЛЮБЫХ документов

• Достаточно закинуть любой PDF и написать тему видоса.
• Получится лекция с цитатами, графиками, слайдами и озвучкой.
• Подкасты фактически без ограничений по длине — до 25 минут!
• Идеально для учёбы и подготовке к любым экзаменам.
Аноним 26/08/25 Втр 07:06:13 1332101 436
О, новости.
Аноним 26/08/25 Втр 07:24:23 1332105 437
Как же они забелаи со своими бананами и прочей хуйней для картинок. Сука работайте над архитектурой чтобы был agi у меня на столе завтра! Изобретайте лекарства от старости! В жопу засуньте свои картинки!
Аноним 26/08/25 Втр 08:09:47 1332120 438
image 110Кб, 640x360
640x360
Аноним 26/08/25 Втр 08:12:57 1332123 439
image 396Кб, 1728x1428
1728x1428
>agi
Аноним 26/08/25 Втр 08:20:07 1332126 440
>>1332123
Если это пройдёт, я выбегу голым на улицу и буду орать и целовать асфальт
Аноним 26/08/25 Втр 08:26:00 1332130 441
Даже если убить себя, то ты реаинкарнируешься в человека и тебе снова придется РАБотать
Так что единственный выход из этого колеса сансары это agi
Аноним 26/08/25 Втр 08:29:57 1332132 442
Твоё мнение очень важно.
Аноним 26/08/25 Втр 08:31:31 1332133 443
Аноним 26/08/25 Втр 08:38:11 1332138 444
>>1329607
коупинг-шизик на месте. Ешь говно, пока не умрёшь, во имя алаха.
Аноним 26/08/25 Втр 08:54:23 1332144 445
>>1332120
Картинка не В тему, так как только в опенсурсе можно пилить порно
Аноним 26/08/25 Втр 08:56:03 1332145 446
>>1330347
>Котенков ультанул базой:
Что будет хуй, знаем, знаем уже. Что, опять побежишь к моче жаловаться, пися? Напоминаю тебе: ты бездарь и графоман ебаный. Вот и всё.
Аноним 26/08/25 Втр 08:57:15 1332147 447
Аноним 26/08/25 Втр 08:59:48 1332149 448
>>1332145
Есть че по теме сказать чмондель?
Аноним 26/08/25 Втр 09:04:20 1332152 449
photo2025-08-26[...].jpg 42Кб, 1220x494
1220x494
photo2025-08-26[...].jpg 285Кб, 1220x2099
1220x2099
photo2025-08-25[...].jpg 77Кб, 1194x960
1194x960
Новый нативный генератор изображений Gemini (nano-banana) возможно выйдет уже через несколько часов!

Ходят слухи, что это будет выход Gemini 3.0, но это менее вероятно.
Аноним 26/08/25 Втр 09:09:41 1332155 450
>>1332152
Какой же тухлый самоподдув, пиздос
Аноним 26/08/25 Втр 09:14:06 1332156 451
>>1331990
>>1331989
Будет или 3 мировая гойда или корона 2.0.

>>1331997
Всю историю человечества ОПГ у власти отбирают у рабов ресурсы.
В хорошие времена они просто делают это умеренно.
Аноним 26/08/25 Втр 09:16:53 1332159 452
>>1331990
Да мне бы даже лоу инкам хватило бы. Хотя бы чашка риск в день и доступ интернет, главное не работать. Господи пожалуйста вот бы быстрее
Аноним 26/08/25 Втр 09:17:20 1332160 453
Аноним 26/08/25 Втр 09:20:12 1332162 454
>>1331989
Маск - это последний человек, кому я поверю, что он готов делиться своими доходами с населением. Лживый пидарас одной рукой подписывал письмо в поддержку остановки развития ИИ, а другой в то же время покупал ускорители.
Аноним 26/08/25 Втр 09:27:39 1332165 455
>>1331989
Они там похоже коммунизм строят.
Хорошо, что мы знаем, чем это заканчивается и не поведемся на эту наживку.
Аноним 26/08/25 Втр 09:28:53 1332167 456
>>1331990
>давая работникам почти «сверхчеловеческие» способности.
Ниггерам, который обносят молы на 999 долларов тоже их дадут?
Аноним 26/08/25 Втр 09:29:34 1332168 457
>>1331092
Хинтон — гнилой левак, но даже он об этом говорит. А знаешь почему? Просто осталось немножко мозгов. Ты же — предал человечество полностью. Сразу скажу: не знаю где и с кем ты варишься, но, если ты за это хочешь покарать всех, то ты заслуживаешь своих страданий.
Аноним 26/08/25 Втр 09:30:43 1332170 458
>>1332165
Чем? Никогда ещё коммунизм не строился на ии. Все было за счет человеческого труда. И то это было не так уж и плохо, по крайне мере в ссср у людей были квартиры
Аноним 26/08/25 Втр 09:32:34 1332173 459
>>1332168
Человечество это говно, чел. Его надо апгрейдить или уничтожить. Ты предал его, если хочешь чтобы человечество продолжало своё жалкое мучительное существование в прежнем виде
Аноним 26/08/25 Втр 09:34:16 1332176 460
>>1331989
Кстати забавно, что машка не врёт.
Но он не сказал, что в еверифинг включены только те, кто смогут за это всё заплатить.
А у него никто не спросил - будет ли это БЕСПЛАТНО.
Аноним 26/08/25 Втр 09:35:53 1332177 461
>>1331989
В евериван, разумеется.
На сколько он платежеспособен, этот самый евериван в США.
Если учесть, что робот отобрал у него работу.
Он обычный пиздобол, сосущий бабло из бюджета и со слабоумных.
Никто не виноват, что в США 60% из 300 миллионов в ангелов верят.
Аноним 26/08/25 Втр 09:38:21 1332180 462
>>1332170
>И то это было не так уж и плохо, по крайне мере в ссср у людей были квартиры
Животным вместо свободы раздали клетки.
Коммунизм из десяти просто.
Ты еще спиздани, что они бесплатные были, а не потому, что животное должно было каждый день на завод ходить.
Единственный коммунизм, который стоило бы строить, это ефремовский как в часе быка. Но там придется сократить население до 500 миллионов на планете. Как думаешь, с кем произойдет "небольшая коррекция", как говорят российские чиновники обсуждая русскую нацию.
Аноним 26/08/25 Втр 09:40:46 1332181 463
>>1332180
>Животным вместо свободы раздали клетки
Ну да лучше жить в комфортной квартире, чем быть свободным бомжом
>>1332180
>животное должно было каждый день на завод ходить.
Оно при любой экономической системе должно ходить, иначе умрёт с голоду. Люди и щас вынуждены ходить на заводы, но они никогда не смогут купить тебе квартиру на эту зп.
Аноним 26/08/25 Втр 09:49:18 1332184 464
>>1332181
>Ну да лучше жить в комфортной квартире, чем быть свободным бомжом
В северных широтах у тебя никаких животных не останется, если ты не рассадишь их по стойлам.
В первую же зиму на территории где 80% вечная мерзлота Дедушка Мороз заберёт всех, кто не спрятался.
Так что так себе оправдание у строителей.
>>1332181
>Оно при любой экономической системе должно ходить, иначе умрёт с голоду.
А Маск обещает, что нет.
>Люди и щас вынуждены ходить на заводы, но они никогда не смогут купить тебе квартиру на эту зп.
Потому что по заветам чубайса, лучше друга пут ина, происходит коррекция населения в масштабах страны.
Там наверху прекрасно знают, почему скот не размножается.
Поэтому и наваливают кризисы один за другим, введя заградительные ставки по кредитам и поднимая зарплату только в пределах инфляции, чтобы не передохли в своих конурах.
Закон вон вышел, что теперь вас будут лечить не врачи, а медсестры. Видимо те, которым сверхчеловеческие возможности раздадут.
\И это еще гуманные методы надо заметить. Могли бы просто сидя в своих дворцах за 5 метровыми стенами выпустить биоружие и убить 99% населения. Там свои проблемы впрочем. Вплоть до того, что тогда их богатства некому будет охранять от соседних феодалов.
Аноним 26/08/25 Втр 09:54:11 1332187 465
>>1332149
Да, по теме и говорю. Писеньков — бездарь. Ты форсишь тут себя пытаясь паразитировать на нейросетках, но всякий раз твои потуги — это очень важное мнение какой-то обоссаной блогерки. Пшелнах.
Аноним 26/08/25 Втр 10:08:15 1332196 466
>>1332173
Вот как-то так говно и рассуждает. Признайся, ты же адепт «инклюзивности и разнообразия», да? Только эта хуета смешивает Фейнмана с тварью требующей покарать белых насильников, и «справедливого» завоза чорных властелинов. Или готова им пренебречь, как статистически незначимым, ради своей крысиной мсти из недоёба отчимом.
Аноним 26/08/25 Втр 10:11:52 1332200 467
>>1332184
>Маск обещает, что нет
Имелось ввиду, при ныне существующих.
До ии
>>1332196
Таблетки
Аноним 26/08/25 Втр 10:15:28 1332202 468
>>1332200
Если ИИ возникнет при нашей с вами жизни, в чем я очень сильно сомневаюсь, то там уже будут другие проблемы.
Например, зачем всезнающему и всемогущему ии помогать кому-то с чем-то.
Люди же не поддерживают своими технологиями угрей.
Аноним 26/08/25 Втр 10:15:34 1332203 469
>>1332196
Так чурок тоже проапгрейдят. Хомо сапиенс как вид вообще исчезнет. Минусы?
Аноним 26/08/25 Втр 10:16:48 1332205 470
>>1332202
Люди поддерживают многих вымирающих животных, содержат их и ухаживают за ними. Просто так.
Аноним 26/08/25 Втр 10:49:12 1332225 471
>>1332205
Просто так никто ничего не делает.
Потому что на всё выделяются деньги.
А виды сохраняют чтобы попытаться сохранить разнообразие генетического пула планеты на всякий случай.
Один хуй каждый день сколько то вымирает естественным образом.
Аноним 26/08/25 Втр 10:50:42 1332227 472
>>1332203
Жопой читаешь?
Я сказал, что вот эта>>1332173 хуйнюшка, желая уничтожить человечество всех приравнивает к говну.
А тебе вопрос:
нахуя из говна делать торт? Чтобы оно тебя больше не резало? Чтобы оно тебя больше резало? Чтобы что? Глистов тоже проапгрейдишь в своей жопе?

ИИ не сделает мразь няшей внутри. Мразь станет хитрее, а цели мрази от обретения превосходного инструмента их достижения не изменятся. Мразь — это и есть суть, а способность решать свои хотелки — поможет ей только ловчее тебя наебать. В лучшем случае, такие особи, как наш приятель выше никогда не получат достаточно могущества, чтобы всех уничтожить, и продолжится гонка вооружений паразита и «хозяина».
Аноним 26/08/25 Втр 11:19:07 1332255 473
>>1332187
Я про тему которую он озвучил, шизло
Аноним 26/08/25 Втр 11:22:57 1332263 474
>>1332255
>вилянья жеппой
Узнаю старину жопонькова.
Аноним 26/08/25 Втр 11:37:12 1332279 475
Модератор, если ты человек, если у тебя есть вкус — не реагируй на стук писенькова-жопонькова, который тут себя форсит. Нет в треде более бессмысленной вонючей жижи, чем высирает он. Рушить надежды даунов — миссия каждого сознательного человека. Так мы спасаем годноту, спасаем Людей в треде.
Аноним 26/08/25 Втр 11:49:46 1332288 476
>>1332058
> Как должно сочетаться то что он урезал лимиты на грок и то что в будущем AGI даст людям базовый доход?
То что начни с себя пиздобол. Если он сам не готов отвалить от щедрот, а лупит с пипла каждый цент, схуяли кто-то волшебный в волшебном калмунизме кому то даром что то даст? Обычный лицемерный пиздешь: ну ты это ПЛОТИ, а потом мы тебе ПЛОТИТЬ будем, ну мхех, не я канеш))) кто-то! аги епта!))) ЗА ВСЁ УПЛОТИТ. Но плотить будет Джон штат Техас, на которого работает Суйхунь Вынь провинция Пиздасянь, на которого работает вахтовик никелевый Иван Говнов город Засратов на которого работает Дилдобек Асламебов из Узкостана.
Аноним 26/08/25 Втр 11:51:03 1332289 477
>>1332288
* и к с лову, у гугла на более мощной модели - анлим сука стоит, а они про раздачу дегнег не кукарекают, просто делают и всё.
Аноним 26/08/25 Втр 11:53:30 1332291 478
>>1332084
>Качество выше, чем у Veo 2, и даже выше, чем у Veo 3-fast. А в некоторых сценариях и обычной Veo 3.
Лихо ты определил какчество по черепикам, как и у вео, сразу видно пришел за освежающим желтеньким душем с утра. Я от этих шкур в доступе вообще ни одного дегенератора видево не видел, только кукареки.
Аноним 26/08/25 Втр 11:54:20 1332293 479
>>1332144
Запили порно в калтексте.
Аноним 26/08/25 Втр 11:55:37 1332295 480
>>1332288
Потому что на аги надо деняк собрать, иначе быдло так и продолжит на всякую хуйню, типа губной помады и лулубу, тратиться и будем дальше сидеть пердеть, а так бы уже на Марсе яблоки собирали и жили по тыще лет.
Аноним 26/08/25 Втр 12:23:20 1332308 481
>>1332288
>>1332289
Состояние Маска — копейки по сравнению с тем, что уже вложено и ещё потребуется для создания чего-то хоть отдалённо похожего на то, о чём речь.
Среди всех участников мои симпатии на его стороне, а гугл — вездесущ и имеет невероятно развитую «корневую систему», например, рекламы, и может переиграть вдолгую любого.

Иногда мне кажется, что высказывающиеся в таком ключе, как ты хотят потроллить своей тупостью. Переведёшь мне денег, ведь я же уверен, что ты не всегда доедаешь все крошки, а, товарищ?
Аноним 26/08/25 Втр 12:25:32 1332309 482
>>1332159
>Да мне бы даже лоу инкам хватило бы. Хотя бы чашка риск в день и доступ интернет, главное не работать.
В РФ так живут 20 миллионов человек, только вместо интернета у них пузырь. Абсолютно ничто не мешает тебе прям сейчас пойти в дворники. 3 часа работы в день и всё.
Аноним 26/08/25 Втр 12:26:58 1332310 483
>>1332180
>>И то это было не так уж и плохо, по крайне мере в ссср у людей были квартиры
Только у людей которые гробили здоровье на производствах. + паразиты чиновничьи.
Аноним 26/08/25 Втр 12:33:47 1332314 484
>>1332181
>но они никогда не смогут купить тебе квартиру на эту зп.
Если перестанут брать гредиты на зубочистки и жрать из Помоечки - могут. На еду двум человекам надо 20к, если есть нормальные продукты можно и в 15к уложиться. Доход семьли из двух человек при самых хуевых раскладах это 90к (условные 45+45). Отребье лезет жить на съем - и просирает те самые деньги на квартиру - ЕЖЕМЕСЯЧНО, а потом ноет что не может квартиру купить. Так ты сука хочешь ДВЕ КВАРТИРЫ купить - одну на съемные всратые деньги, а вторую еще сверху. Если почилить 10 лет на жилплощадях родителей, как абсолютно все умные люди в абсолютно всём мире делают - то хватит на квартиру/дом через 10 лет наличкой, даже на не очень хорошей работе. Так что свои мантры про квартиру с зп - в жопу засунь, нищескот потому и нищий, что жрет суши/пиццы сидя на съемной хате, а потом не может себе в конце месяца на хлебушек наскрести и ноет как всё хуево. Нищета - это не уровень доходов, это нищета интеллекта.
Аноним 26/08/25 Втр 12:35:59 1332316 485
>>1332295
>Потому что на аги надо деняк собрать
Когда собирали деняг на машиностроение?
Аноним 26/08/25 Втр 12:38:41 1332320 486
>>1332308
> Переведёшь мне денег, ведь я же уверен, что ты не всегда доедаешь все крошки, а, товарищ?
Нет не переведу, абсолютно никогда не доедаю всё до крошки, потому что я не тупой дегенерат и контролирую потребление. Комп например я меняю раз в 10 лет. А то и просто беру у кого-то старенький, моим требованиям отвечающий, почти всегда - бесплатно. Один раз в жизни только купил, так как срочно нужно было рабочее место, и то вложение 20к раз в 10 лет это не траты даже.
Аноним 26/08/25 Втр 12:46:09 1332326 487
>>1332180
>Животным вместо свободы раздали клетки.
Охуеть, оказывается рассрочка на комфортное жилье со всеми удобствами - это зло.
Аноним 26/08/25 Втр 12:53:18 1332332 488
>>1332320
Ок. Постучись к Маску в личку — научи его, где бесплатно взять старенький комп отвечающий его требованиям, и не попрошайничать, продавая токены к гроку.
Аноним 26/08/25 Втр 13:01:29 1332342 489
>>1332332
Ок. Постучись к Маску в личку — научи его, где бесплатно взять старенький комп отвечающий его требованиям, и не попрошайничать продавая токены к гроку.

поправка
Аноним 26/08/25 Втр 13:13:49 1332351 490
>>1332316
В прошлом веке, еще и массовый голод устроили.
Аноним 26/08/25 Втр 14:08:21 1332401 491
>>1332288
Ды тыж блять не понимаешь о чем речь вообще. Ты думаешь после AGI он просто всем денег будет раздавать из своего кармана потому что у него хорошее настроение? Сына, AGI, если он действительно появится, изменит всю экономику нахуй, люди на рабочих местах будут не нужны, а добываемые ресурсы останутся. Слова Маска тут о том, что в условиях отсутствия работы людям будут выдавать деньги просто так, за их существование, потому что их силы больше не нужны, они слишком дороги и медлительны по сравнению с роботами, а создаваемые ими продукты кому-то нужно продавать, иначе существование этих предприятий в принципе не имеет смысла.
Аноним 26/08/25 Втр 15:02:20 1332452 492
>>1332401
>что в условиях отсутствия работы людям будут выдавать деньги просто так, за их существование, потому что их силы больше не нужны, они слишком дороги и медлительны по сравнению с роботами, а создаваемые ими продукты кому-то нужно продавать, иначе существование этих предприятий в принципе не имеет смысла.
И ведь ничего в голове не щелкает.
Аноним 26/08/25 Втр 15:03:03 1332454 493
Wan 2.2 с лорой.mp4 1890Кб, 720x992, 00:00:05
720x992
Wan 2.2 с лорои[...].mp4 2654Кб, 672x1280, 00:00:05
672x1280
до чего нанотехнологии дошли
Аноним 26/08/25 Втр 15:03:50 1332455 494
>>1332326
И чем тебя не устраивает рассрочка под 30% в кредит на всю жизнь?
А не доплатишь - квартира ростовщику переходит. Ну которые владеет строительными компаниями для постройки.
Не жизнь, а рай, правда? И чего это люди престали плодиться.
Глупые какие-то.
Аноним 26/08/25 Втр 15:04:43 1332456 495
>>1332454
Это омерзительно. Женщины не такие.
Продолжай.
Аноним 26/08/25 Втр 15:12:45 1332465 496
>>1332309
>Абсолютно ничто не мешает тебе прям сейчас пойти в дворники. 3 часа работы в день и всё.
Врешь. Все вакансии от 8 часов в день
Аноним 26/08/25 Втр 15:16:48 1332471 497
>>1332452
Именно. Надо ахуеть как верить, что те, кто делают ИИ — хорошие парни, которые не собираются устанавливать свою версию «справедливости», и что ИИ тоже будет хорошим парнем, который не сделает из нас скрепки...
И я верю, как >>1332401, то есть пытаюсь верить, а на тряску — не обращай внимания — это осень близко.
Аноним 26/08/25 Втр 15:21:39 1332475 498
>>1332314
Не хватит, допустим человеком получает 45. Минус 15 на еду, 10 на прочие расходы (медицина, одежда, техника, жкх)
За 10 лет у тебя будет 2 ляма 400 тыщ. Это при то, что ты взрослый долбаеб, который 10 лет прожил с родаками, не получал образования, потому что работал и жёстко на всем экономил, пахая как раб по 12 часов 2 на 2. К этому времени деньги бы ещё обесценились, и за эти 2 ляма сейчас ты бы даже студию не купил. А раньше трёшки хорошие выдвали простым рабочим.
И в итоге что? Ты лох без квартиры, без образования, без детей и тян (ну может для двачеров это плюс, но для общества нет)
Аноним 26/08/25 Втр 15:33:15 1332497 499
>>1332455
Ты обманываешь сам себя. Люди не плодятся, потому что их детей будет воспитывать нетфликсы и мизулины. А тебя посадят на бутылку, если дитятко решит, что ты бодишеймишь, виктимблэймишь, газлайтишь, хуйлайтишь или, не приведи господь, думаешь воспитывать их похожими на себя. Кому в дом надо инагента с фээсбэшником в одном лице, которого ты можешь увидеть голым, и стать педофилом?
Аноним 26/08/25 Втр 15:54:17 1332513 500
Аноним 26/08/25 Втр 15:57:18 1332515 501
Аноним 26/08/25 Втр 15:59:23 1332517 502
Аноним 26/08/25 Втр 16:08:01 1332522 503
>>1332039
>Если тебе пиздят, что их нет - тебе пиздят

Напомнило: "Говорят дельфины говорят. Говорят правду говорят"

Пиздят битарды пиздят. Пиздят правду пиздят.
Аноним 26/08/25 Втр 16:08:26 1332523 504
>>1332455
>И чем тебя не устраивает рассрочка под 30% в кредит на всю жизнь?
Там, что это хуже, чем квартира, которую ты поучаешь В РАССРОЧКУ за 15 лет работы, не отдавая последние трусы.
Аноним 26/08/25 Втр 16:23:35 1332539 505
>>1332074
Peeling кроме того означает снимать кожу с залупы. Думойте.
Аноним 26/08/25 Втр 16:27:05 1332541 506
photo2025-08-26[...].jpg 221Кб, 2048x1528
2048x1528
2.5 image gen, похоже, всё-таки

Никакой 3 вам сегодня
Аноним 26/08/25 Втр 16:27:50 1332542 507
photo2025-08-26[...].jpg 67Кб, 2048x862
2048x862
Аноним 26/08/25 Втр 16:30:11 1332544 508
photo2025-08-26[...].jpg 62Кб, 538x1280
538x1280
ыввыывыввы.jpg 343Кб, 1529x1293
1529x1293
Аноним 26/08/25 Втр 16:44:30 1332559 509
Аноним 26/08/25 Втр 17:09:48 1332586 510
>>1332454
Хуя, чед даже в стекле отражается
Самая перспективная нейронка на данный момент
Аноним 26/08/25 Втр 17:20:20 1332595 511
>>1332522

Мм, хотя не... Кажется хуйня получилась ?

Под "говорят правду говорят" можно подразумевать и то что те кто ПРО дельфинов говорит -- не врёт. И то что дельфины говорят правду.

Но в случае с битардами я обосрался и вышла бессмыслица. Потому что с дельфинами релевантен вариант "говорят = умеют говорить", а с битардами нет, так как битарды по умолчанию умеют говорить.
К тому же само слово "пиздят" можно понимать как "говорят" ("Вася пиздел что в этом клубе заебись, может сходим?") и как "врут" ("Походу Вася пиздел что клуб заебатый, пошли отсюда "). Однако в случае с дельфинами такой двойственности у слова "говорят" нет, так что появился слой двусмысленности правда/ложь, а в случае с дельфинами есть только вариант с намёком на сомнение в правде, но оно не связано со словом "говорят" напрямую, оно по умолчанию сохраняется во всех вариантах смысла просто непонятно кто именно говорит правду (дельфины или те кто утверждают о том что дельфины умеют разговаривать)


или как?
Аноним 26/08/25 Втр 17:22:06 1332597 512
>>1332595

>те кто про дельфинов говорят -- не врут

Фикс
Аноним 26/08/25 Втр 17:45:58 1332621 513
>>1332475
>Не хватит, допустим человеком получает 45
1 человек может жить с родителями. ему объективно хата не нужна, хата это уже для семей. Пусть терпит.

>и за эти 2 ляма сейчас ты бы даже студию не купил.
Но можно купить дом на 200 квадратов в недалекой деревне с интернетом нормальным.
Аноним 26/08/25 Втр 17:47:44 1332625 514
>>1332497
Этот шарит. Нах этих выблядков плодить которые тебе розочку от стакана в горло ткнут в старости.
Аноним 26/08/25 Втр 17:50:19 1332629 515
>>1332465
Дворники возле пятрки только с утра.
Аноним 26/08/25 Втр 17:56:08 1332641 516
>>1332105
> лекарства от старости!

Война — дело молодых,
Лекарство против морщин.
Аноним 26/08/25 Втр 18:02:42 1332644 517
158289919212225[...].jpg 40Кб, 475x592
475x592
Аноним 26/08/25 Втр 18:05:40 1332648 518
2025-08-25172644.jpg 124Кб, 538x580
538x580
>>1331990
Ноль на сколько ни умножь, во сколько ни усиль — будет ноль.
Это уже произошло. Даже ЛЛМ при всей своей ущербности это всё ещё технологическое чудо, способное срезать много рутины. А по факту помогает на 10%, ну на 20%.

Там, где казалось, что нейронки легко заменят человека (пиздеть по скрипту, отвечая на стандартные вопросы) они не справились.
Даже там! Потому что в отличии от нормального FAQ с нормальным поиском они нестабильны и нечёткие.


Это не усилитель блядь. Не простой множитель навыков.
Это ещё и проверка навыков. Чтобы использовать ИИ нужно обладать умом и навыками, чтобы проверить результат.
Но чем выше навыки, тем меньше нужен ИИ, потому что проще самому написать код, чем роллить варианты и писать простыни запросов, конкретизирующих каждый пук.

Я не луддит, не отрицатель. Я радуюсь охуенному скачку в мире производства лекарств, в мире компьютерного зрения. Да и тачки с автопилотом заебись (хотя до сих пол работают только в ясную погоду днём и стоят дороже мясного водителя)
Аноним 06/09/25 Суб 18:03:54 1343776 519
>>1325173 (OP)
>>1332648
Вопрос про автопилоты.

А они людей не убивают из-за того што в них умышленно встроены 3 закона Азимова, или это как то само получилось не убивать пешеходов?

Вопрос к тому, што может нахуй эти три закона, если само так получается што автопилот не давит пешеходов.
Настройки X
Ответить в тред X
15000
Добавить файл/ctrl-v
Стикеры X
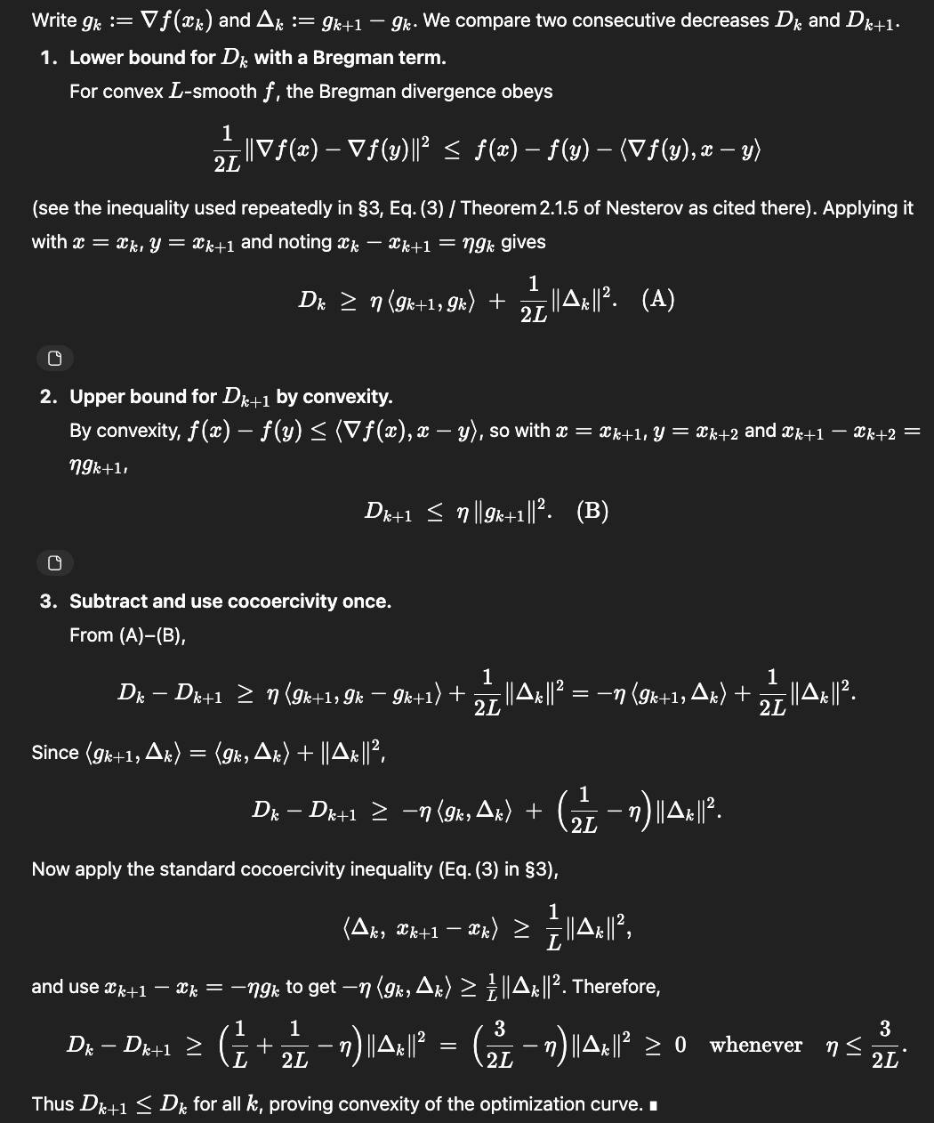
Избранное / Топ тредов