Главная Юзердоски Каталог Трекер NSFW Настройки

Дневнички

Ответить в тред Ответить в тред
Check this out!
<<
Назад | Вниз | Каталог | Обновить | Автообновление | 251 147 78
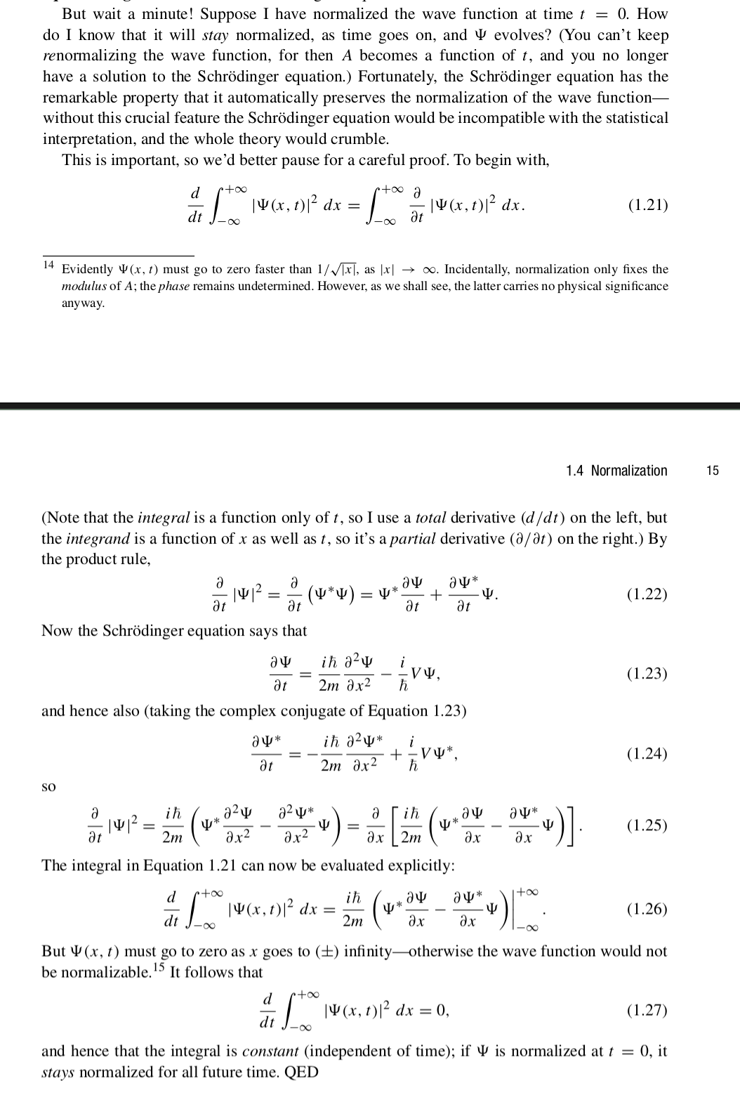
Путь к миллиону Инвестор !!Y8IjmDPN0c 15/07/21 Чтв 21:08:33 501633 1
image.png 91Кб, 2066x390
2066x390
Здесь будет мой дневник про инвестиции.
Недавно я посмотрел на свои счета, и понял что заработанное постепенно выгорает на сберкнижке. Что делать в этой ситуации? Конечно, инвестировать.
Во всех гайдах про инвестиции говорят, мол, сначала определитесь с целями инвестиций. Я выбрал цель понятную и бесхитростную: иметь миллион долларов.
Открыл брокерский счет, и исходя из этого, выбрал QQQ как первое приобретение. Это фонд, инвестирующий в хайтек компании - компьютеры, интернет. Один из самых популярных, существует 20 лет и хорошо растет. Компьютеры никуда не денутся и через 100 лет, так что это надежный вклад.
Покупать я буду только на долгосрок (от года).
Также у меня $14000 в крипте. Итого 2% от цели.
Аноним 15/07/21 Чтв 21:48:51 501652 2
Очередной аутист, который будет откладывать и копить заработанное на РАБотке, не смея потратить на лишнюю чашку кофе. ТНН чайлдфри бизнесмен
Аноним 15/07/21 Чтв 21:50:45 501653 3
>>501633 (OP)
> Компьютеры никуда не денутся и через 100 лет
Там щас кубиты пошли, компы сдохнут как сдохли телевизоры и двс брички. Потом чипы в голову посадят и сам себе кампухтер будешь.
Инвестор !!Y8IjmDPN0c # OP 15/07/21 Чтв 22:00:14 501657 4
image.png 284Кб, 2412x866
2412x866
>>501652
Нормич же, не? Между лишней чашкой кофе и миллионом я выберу миллион.

>>501653
>кубиты пошли
А кто их делает? Гугл. Куда я и вложился. Если будут новые компании специально по кубитам, фонд и в них вложится. Впрочем, потом планирую вложиться и в фонд специализирующийся на квантах. Сначала надо покрыть инвестициями большие индустрии.
>Потом чипы в голову посадят
Аналогично.
Аноним 15/07/21 Чтв 22:07:06 501661 5
>>501657
> А кто их делает? Гугл
У меня плохие новости, лидируют китайцы. Пока еще ничего не делают, идут разработки, но надеяться что гугл что-то запилит в скором времени это наивно.
Аноним 15/07/21 Чтв 22:14:11 501665 6
>>501661
Я никуда не спешу. Даже если лидируют китайцы, США точно будет участововать в этом.
В китайский рынок рискованно инвестировать. Он молодой, зависим от настроения левой пятки партии, вечно там пузыри, манипуляции, ложь. Может быть, пару процентов инвестирую когда-нибудь, если уже совсем от денег буду пухнуть.
Аноним 15/07/21 Чтв 22:29:30 501672 7
>>501665
Если бы надо было инвестировать в Украину, куда бы вложил?
Аноним 15/07/21 Чтв 22:41:03 501684 8
>>501672
Конкретных имен не могу сказать, не разбираюсь. По секторам в Украине в порядке приоритета: сельское хозяйство; финансы; utilities (трубопроводы и т.п.). По возможности бы вложился в фонд, собирающий компании в этих секторах.
Инвестор !!Y8IjmDPN0c # OP 16/07/21 Птн 19:00:36 501854 9
image.png 204Кб, 2174x637
2174x637
Сегодняшние вклады.

1. AGG - фонд, вкладывающий в бонды (займы) государству и компаниям. В основном это вклады в тот самый госдолг США, которым ничего не понимающие в этом люди с российского ТВ стращают ничего не понимающих в этом зрителей. Также вклады в ипотеку. Такие инвестиции называются fixed income - в них намного ниже риски и заработки. Купил ради диверсификации рисков. Даже если весь рынок пойдет вниз, тут ожидается небольшая прибыль. Которая, впрочем, на уровне инфляции.

2. IBB - фонд, покупающий акции из сектора биотехнологий и медицины. Большие компании: Gilead, Moderna, Illumina, Amgen и т.п. В долгосроке я тут вижу только развитие. Население, особенно платежеспособное, в среднем стареет. Медицина развивается, становится сложнее, эффективнее. История с короной и вакцинами показала важность новых медицинских технологий.

4% от цели.
Аноним 17/07/21 Суб 02:44:39 501909 10
>>501854
деньги, деньги, деньги...

Не в банки, магазины и инвестиционные фонды нужно стремиться а в храм...
Аноним 17/07/21 Суб 02:51:36 501910 11
>>501633 (OP)
Родоки-бабки-дедки богатые?

Мать успела на пенсию выйти?

Квартира своя есть?
Аноним 17/07/21 Суб 04:31:40 501913 12
>>501910
Я из бедной семьи. Мать еще пытается работать. Жилье свое.
>>501909
А храм за чей счет существует?
Деньги это самая суть нашего мира. Без денег и храма не было бы.
Аноним 17/07/21 Суб 05:49:00 501916 13
>>501913
Квартира отдельная или семейная?

Биток на пике купил или за тысячу долларов?
Аноним 17/07/21 Суб 06:27:52 501921 14
>>501633 (OP)
Сап анон. Тоже задумался про инвестиции. Подскажешь какие-нибудь нормальные видео по теме, чтобы понять суть до конца? Имеется 100к зелёных, могу вложить в недвижку или в фонды. Размышляю.
Аноним 17/07/21 Суб 07:02:10 501927 15
>>501921
Хорошая сумма, чтобы начать серьезно инвестировать (а не играть на рынке, как это делают многие).
Основы можешь прочитать в доступной форме здесь: https://about.vanguard.com/what-sets-vanguard-apart/principles-for-investing-success/ISGPRINC_062020_Online.pdf
Все незнакомые слова смотри в инвестопедии.
Все примеры там специфичны для инвест продуктов США. Они самые перспективные и надежные. В других странах своя специфика - например, серьезный риск дефолта гос. бондов.
Покупка недвижимости - это скорее бизнес, чем инвестиции. Тут нужно анализировать рынок того региона, где ты будешь этим заниматься, считать потенциал. Затем прикидывать, подходит ли тебе это, или, скажем, лучше вложиться в фонды.
Инвестор !!Y8IjmDPN0c 20/07/21 Втр 19:02:25 502673 16
image.png 244Кб, 2184x808
2184x808
Новая неделя, новые инвестиции.

1. VFH - финансовые компании. Страховщики, банки. Ожидаю от них в будущем инноваций, хотя область довольно рискованная.
2. CNRG - зеленая энергетика. В целом энергетический сектор у меня под сомнением, но возобновляемые источники точно будут расти. Самый молодой фонд из тех, что я купил (2018). Тут есть и китайские компании (10%).
3. LQD - корпоративные бонды.

7% от цели.
Аноним 21/07/21 Срд 03:15:10 502750 17
>>502673
Ты а пять дней аработал на акциях 50 тысяч долларов или я что то не так понимаю
Аноним 21/07/21 Срд 05:13:27 502753 18
>>502750
Нет, конечно. Перекачиваю деньги со сберегательного счета в брокерский.
Инвестор !!Y8IjmDPN0c 22/07/21 Чтв 19:10:16 503052 19
image.png 259Кб, 2194x874
2194x874
Наскреб еще 10к. Купил ROBT - компании занимающиеся ИИ и роботизацией.
8% от цели.
Аноним 22/07/21 Чтв 19:20:12 503053 20
>>502750
ОП по кличке Алишер Усманов
Аноним 22/07/21 Чтв 22:44:38 503130 21
>>501633 (OP)
Что за брокер? Какие комиссии? Налоги он сам платит?
Аноним 22/07/21 Чтв 23:38:27 503149 22
>>503130
Merrill Edge. Комиссий за торговлю фондами нет. Видимо, фонды им платят, либо делают деньги на спреде. Сами фонды берут некоторый процент в год за свои услуги. Я стараюсь покупать те, что подешевле, до 0.7% годовых.
Налоги сам.
Инвестор !!Y8IjmDPN0c # OP 22/07/21 Чтв 23:40:01 503150 23
В смысле, налоги я должен платить сам.
Инвестор !!Y8IjmDPN0c # OP 24/07/21 Суб 01:42:05 503461 24
image.png 251Кб, 2162x878
2162x878
Первая неделя закрылась зеленой по всем позициям. +1% к депо. Биотехнологии сделали почти 4%.
Инвестор !!Y8IjmDPN0c 30/07/21 Птн 23:26:31 505716 25
image.png 253Кб, 2174x876
2174x876
Вторая неделя в небольшом плюсе по фондам, и в большом плюсе по крипте. Там уже больше $20к.
QQQ ушел в небольшой минус с момента покупки.
Волатильность портфеля довольно большая получилась. По 1% в день вверх-вниз ходит.

9% от цели.
Аноним 06/08/21 Птн 23:30:14 507615 26
image.png 254Кб, 2142x874
2142x874
Неделя 3. Больше 1% плюс по фондам. Бонды ушли в минус с покупки, остальные все зеленые.
Крипта тоже растет.
Инвестор !!Y8IjmDPN0c # OP 13/08/21 Птн 23:41:53 509763 27
image.png 259Кб, 2210x868
2210x868
investor.jpg 290Кб, 1080x1311
1080x1311
IMG1930.JPG 301Кб, 1000x1333
1000x1333
Первый месяц: +2% по фондам (неделя в небольшом минусе), +около 100% по крипте. Сейчас в крипте почти $30к. Всего инвестиционный заработок: ~$16к. Неплохо, да? Иные за год столько не получают на работе. Теперь тут речь идет о шестизначных суммах.
По итогам месяца можно сказать, что зашел я удачно. Основной плюс в крипте, тут повезло. Не приходится расчитывать на устойчивый профит такого уровня. Но те же 2% по фондам это тоже очень хороший результат.

По случаю достижения 10% от цели купил себе полакомиться пирожное.
Инвестор !!Y8IjmDPN0c # OP 21/08/21 Суб 00:54:20 511940 28
image.png 252Кб, 2126x866
2126x866
Неделя 5: -1.5% по фондам. Особенно чистая энергия просела. В целом все еще в плюсе, но болтаюсь около 0.
Крипта стабильна.
Инвестор !!Y8IjmDPN0c # OP 28/08/21 Суб 03:52:59 514204 29
image.png 249Кб, 2154x870
2154x870
Неделя 6: +2.5% по фондам, крипта стабильна. Самая большая прибыль за неделю пока. Весь минус прошлых недель восполнился.
Аноним 03/09/21 Птн 23:46:00 516392 30
image.png 273Кб, 2182x952
2182x952
Неделя 7: +1% по фондам, +10% по крипте.
Аноним 04/09/21 Суб 04:57:58 516421 31
Инвестор !!Y8IjmDPN0c # OP 04/09/21 Суб 06:46:43 516427 32
image.png 4908Кб, 2424x1624
2424x1624
image.png 5640Кб, 2476x1744
2476x1744
>>516421
Какая-то правда в этом есть. Эти деньги это фактически излишки, которые я не трачу. Они копятся как капитал. Они так и останутся в камплюхтере, конечно, это путь в один конец. Даже если я накоплю миллион, купить какой-нибудь ламборгини меня жаба задушит. А на дом для солидных господ так и близко не хватит, даже на начальный взнос.
Эти деньги можно рассматривать как страховку от форс-мажора, и как задел для настоящего семейного капитала, который, если не будет профукан, позволит внукам или правнукам жить, не работая, чисто на инвест доходы. Миллион будет хорошим началом для этого. При консервативных 6% годовых, вычитая 3% инфляции, в остатке будет 30к в год. Это уже неплохой БОД. Но все равно будет неразумно его так использовать. Лучше будет поднапрячься и сделать еще раз х10, и вот тогда, при 300к в год, можно будет пожинать плоды. Скорее всего, уже не мне.

Смотрю на эти дома по $15М, и поражаюсь тому, какая пропасть между мною и теми, кто их покупает. Это значит, у них на счетах как минимум $150М. Такие горы денег не накопятся даже через несколько поколений у обычных работяг. Инвестируй, не инвестируй. Эти люди в каком-то другом пласте жизни живут, где текут деньги других порядков. Наверное, в финансах надо работать, чтобы пробиться туда.
Аноним 04/09/21 Суб 08:04:51 516432 33
Аноним 04/09/21 Суб 08:11:28 516435 34
>>516432
В 1984 году мы с Амосом и нашим общим другом Ричардом Талером посетили некую фирму на Уолл-стрит. Нас пригласил главный инвестиционный менеджер с тем, чтобы поговорить о роли ошибок суждения в инвестировании. Я так мало знал о финансовых операциях, что даже растерялся – с чего начать, но один вопрос помню до сих пор. «Когда вы продаете ценные бумаги, – спросил я, – кто их покупает?» Он ответил неопределенным взмахом в сторону окна, подразумевая, что покупатель, скорее всего, из той же среды, что и он сам. Это меня удивило: что заставляет одного человека продавать, а другого – покупать? Почему продавцы считают себя более осведомленными в сравнении с покупателями и какой информацией они располагают?

С тех пор мои вопросы о работе фондовой биржи слились в одну большую загадку: похоже, крупная отрасль экономики существует только за счет иллюзии умения. Каждый день совершаются миллиарды сделок – одни люди покупают акции, другие их продают. Бывает, за день из рук в руки переходят свыше ста миллионов акций одной компании. Большинство продавцов и покупателей знают, что обладают одними и теми же сведениями; ценные бумаги продают и покупают в основном из-за разницы во взглядах. Продавцы считают, что цена слишком высока и вскоре упадет, а покупатели думают, что она чересчур низка и должна подняться. Загадка в том, почему и те и другие уверены, что цена обязательно изменится. Почему они твердо убеждены в том, что лучше знают, какой должна быть цена? В действительности уверенность большинства трейдеров – всего лишь иллюзия.

Теоретические аспекты деятельности фондового рынка (в ее широком определении) принимаются всеми финансовыми работниками. Всякий, кто задействован в инвестиционном бизнесе, прочел замечательную книгу Бертона Мэлкила «Случайная прогулка по Уолл-стрит». Основная идея автора состоит в том, что биржевая цена включает в себя все доступные сведения о ценности компании и лучшие прогнозы касательно будущей стоимости ее ценных бумаг. Если кто-либо сочтет, что некие акции завтра поднимутся в цене, он сегодня же начнет их покупать. Это, в свою очередь, приведет к подорожанию акций. Если все акции на бирже оценены верно, при торговле ими невозможно рассчитывать ни на доход, ни на убытки. Совершенные цены не оставляют места хитроумию и в то же время защищают глупцов от последствий необдуманных проступков. Теперь нам известно, что эта теория не совсем верна. Многие частные инвесторы с удивительным постоянством проигрывают в ходе торгов (будь это чемпионат по дартс, их победила бы даже обезьяна). На это пугающее обстоятельство впервые обратил внимание мой бывший студент Терри Одеан, ныне профессор экономики Калифорнийского университета в Беркли.

Одеан изучил отчетность о торговых сделках, проведенных по 10 тысячам брокерских счетов частных инвесторов за семилетний период. Он проанализировал каждую транзакцию, осуществленную через данную брокерскую фирму, – всего около 163 тысяч сделок. Такой обширный объем материала позволил Одеану определить все случаи, в которых инвестор продавал часть акций одной компании и вскоре приобретал акции другой. Эти действия инвестора означали, что у него имелось четкое представление о будущем этих акций – он ожидал, что проданные акции будут дешеветь, тогда как купленные возрастут в цене.

Чтобы определить обоснованность этих представлений, Одеан сравнил доходность акций, проданных и приобретенных частными инвесторами, через год после транзакции. Результат оказался неутешительным. В среднем доходность проданных акций существенно – на 3,2% годовых – превысила доходность приобретенных акций, что значительно превосходило затраты на осуществление обеих сделок.

Важно помнить, что здесь речь идет о среднем значении: кто-то добивался лучших результатов, кто-то – худших. Тем не менее очевидно, что большинству частных инвесторов было бы полезнее принять душ и расслабиться, нежели претворять в жизнь свои идеи. Впоследствии исследования Одеана и его коллеги Брэда Барбера подтвердили это заключение. В статье, озаглавленной «Трейдинг опасен для вашего здоровья», исследователи показали, что в среднем наиболее активные частные трейдеры добиваются худших результатов, и наоборот – доходы больше у тех индивидуальных инвесторов, кто реже совершает рыночные операции. В работе под названием «Мальчишки остаются мальчишками» авторы продемонстрировали, что мужчины чаще действуют под влиянием собственных сумасбродных идей, а женщины, напротив, достигают лучших результатов.

Разумеется, по обе стороны сделки всегда стоит кто-то, будь то финансовое учреждение или профессиональный инвестор, готовый воспользоваться ошибкой частного инвестора, выбирающего акции для купли-продажи. Дальнейшие исследования Барбера и Одеана пролили свет на эти ошибки. Частные инвесторы, как оказалось, склонны фиксировать прибыли, продавая «чемпионов», то есть акции, которые постоянно росли в цене со времени приобретения, и оставляя себе «проигравших». К несчастью для индивидуальных инвесторов, эти «чемпионы» выигрывают только в коротком забеге, а потому продавать их – неудачная тактика. Вдобавок частные трейдеры делают невыгодные приобретения, покупая акции крупных компаний, часто упоминаемых в СМИ . Профессиональные инвесторы более критически относятся к тому, что слышат или читают. Этот факт в каком-то роде оправдывает ярлык «умные деньги», которым отмечают свою деятельность профессиональные финансисты.

И хотя профессиональные инвесторы изрядно наживаются на ошибках любителей, редкие финансовые аналитики обладают необходимыми умениями для того, чтобы год за годом обыгрывать рынок. Профессиональные инвесторы, включая руководителей инвестиционных фондов, не выдерживают элементарную проверку умений и навыков: их достижения непостоянны. Об умении можно вести речь лишь в том случае, если индивидуальные различия постоянны, независимо от времени. Логика проста: если за год человек преуспел лишь благодаря везению, то рейтинг инвесторов и фондов будет варьировать беспорядочно, а временная корреляция по годам будет равна нулю. Наличие умения обеспечивает более стабильный рейтинг. Устойчивость индивидуальных различий – вот величина, по которой мы определяем наличие у мений у игроков в гольф, торговцев автомобилями, зубных врачей или автоинспекторов.

Паевые инвестиционные фонды возглавляются опытными и трудолюбивыми профессионалами, которые покупают и продают акции в целях достижения наилучшего для клиента результата. Однако данные пятидесяти лет исследований подтверждают, что для большинства управляющих фондами выбор актива – скорее игра в кости, чем в покер. Как правило, два из трех паевых фондов в отдельно взятый год демонстрируют инвестиционный рейтинг ниже уровня рынка.

Что еще важнее, междугодичная корреляция доходов паевых фондов чрезвычайно мала, едва выше нуля. Преуспевающие фонды в любом году оказываются на высоте благодаря простому везению – им регулярно выпадает хорошее число. Среди исследователей бытует общее мнение, что почти все финансовые аналитики вольно или невольно полагаются на случай. Субъективное ощущение трейдера говорит, будто бы он совершает разумный, обоснованный выбор в весьма не определенной ситуации; однако на высокоэффективных рынках обоснованный выбор не более точен, чем слепой.

Несколько лет назад мне выпала необычная возможность непосредственно изучить иллюзию финансового умения: меня пригласили выступить перед группой инвестиционных консультантов фирмы, предоставляющей финансовые рекомендации и прочие услуги весьма состоятельным клиентам. Я попросил снабдить меня данными для подготовки презентации и получил настоящее сокровище: финансовую отчетность за восемь последовательных лет, где подытоживались результаты инвестиционной деятельности двадцати пяти консультантов. Годовые показатели каждого консультанта фактически определяли размеры их годовых премий. Далее было нетрудно составить рейтинг консультантов в соответствии с успехом их деятельности, определить, наблюдались ли у них устойчивые различия в умениях и с каким постоянством эти консультанты год за годом добивались больших прибылей для своих клиентов.
Аноним 04/09/21 Суб 08:13:25 516436 35
>>516432
>>516435
Чтобы ответить на этот вопрос, я вычислил коэффициенты корреляции рейтинга консультантов за первый и второй год, затем за первый и третий, первый и четвертый и так далее. Таким образом, у меня получилось 28 значений коэффициента, по одному на каждую пару лет. Я знал теорию и был готов к тому, что найду лишь слабое доказательство существования устойчивого умения. Однако результат меня поразил: среднее значение коэффициента было равно 0,1. Иными словами, нулю. Устойчивой корреляции, указывающей на существование различий в умениях, не обнаружилось. Результаты походили на исход игры в кости; никаких признаков умений не существовало.

Никто из сотрудников фирмы не подозревал о природе игры, которую вели финансовые аналитики. Сами аналитики при этом ощущали себя профессионалами своего дела, занятыми серьезной работой, и их начальство придерживалось того же мнения. В вечер перед семинаром мы с Ричардом Талером ужинали в компании высших должностных лиц фирмы – людей, которые определяли размер ежегодных премий. Мы попросили наших собеседников угадать междугодичную корреляцию рейтингов их подчиненных. Они решили, что знают, к чему мы клоним, и ответили: «Корреляция невысока», «Показатели наверняка колеблются». Вскоре выяснилось, что в среднем нулевой корреляции не ожидал никто из присутствующих.

Мы хотели разъяснить руководству фирмы, что они поощряют везение, а не умения, – то есть простую удачу при создании инвестиционных портфелей. Потрясением для них наше утверждение не стало, мы не заметили никаких признаков недоверия к нашим словам. Впрочем, немудрено: в конце концов, мы проанализировали их собственные показатели, а руководство было достаточно умным, чтобы сделать для себя выводы без подсказок с нашей стороны. Мы вежливо удержались от комментариев и спокойно продолжили ужин. Я понял, что и наши открытия, и выводы руководства пущены побоку; жизнь фирмы потекла своим чередом. Иллюзия умения – это не единичное заблуждение; оно свойственно всей культуре финансовой отрасли. Факты, его опровергающие и тем самым угрожающие самоуважению и репутации финансовых работников, попросту не берутся в расчет. Разум их не усваивает. Это отчасти верно применительно к статистическим исследованиям эффективности труда, рассчитывающим степень априорной вероятности, которую обычно игнорируют, если она противоречит личному опыту.

На следующее утро мы ознакомили финансовых консультантов с результатами своих исследований и столкнулись с аналогичной реакцией. Имеющийся опыт осмотрительного решения сложных задач представлялся консультантам более убедительным, чем непонятные факты статистики. По завершении семинара один из руководителей, с которыми мы ужинали накануне, подвез меня в аэропорт. Прощаясь, он слегка обиженно заметил: «Я много сделал для нашей фирмы, этого у меня никто не отнимет». Я в ответ улыбнулся и промолчал, но про себя подумал: «Однако я у вас именно это и отнял. Если своим успехом вы обязаны слепому случаю, не многовато ли чести?»
Инвестор !!Y8IjmDPN0c 04/09/21 Суб 09:30:41 516461 36
>>516432
Не очень понятно, к чему ты это запостил. Тут трейдерских нет! Не та порода! Тут закал столетний, калифорнийский, пустынный. Тут холдом фонит по счетам! Тут мужик свою крипту, свои фонды и свои облигации стережет накрепко!
Аноним 04/09/21 Суб 11:24:21 516499 37
>>516461
Так проблема остаётся та же, что и описана в посте. Нет оснований полагать, что конкретный анон оценивает ценность некоторых активов лучше, чем рынок в целом, так что лотерея остаётся лотереей на любых масштабах: думаем мы о нефти завтра или о компьютерах через сто лет.
Аноним 04/09/21 Суб 19:15:07 516723 38
image.png 100Кб, 1326x918
1326x918
image.png 153Кб, 2368x1064
2368x1064
>>516499
Я же не встаю в шорт по нефти, просто не покупаю ее. Я не пытаюсь никого переиграть, вырвать у кого-то деньги. Чтобы выйти в плюс, мне не нужно угадывать движения рынка лучше, чем другие. Ставка делается лишь на то, что этот график и дальше будет идти вверх.
Инвестор !!Y8IjmDPN0c # OP 07/09/21 Втр 20:55:04 518036 39
image.png 328Кб, 2208x1054
2208x1054
Купил еще 3 фонда:
ARKG - геномная революция. Секвенирование, персональная медицина, вот это все.
BNDW - мировые бонды.
ROKT - исследование космоса и океана.

13% от цели.
Инвестор !!Y8IjmDPN0c # OP 11/09/21 Суб 05:29:28 519640 40
image.png 325Кб, 2200x1058
2200x1058
Неделя 8: -$1300 по фондам, -$4000 по крипте. Теперь буду писать в долларах, потому что проценты трудно считать при докупании.

Крипта весь профит/лосс доминирует, волатильность там жутковатая. При прошлых доходах кажется вообще странно вкладываться в фонды. Вроде как зачем? +2%, +3%, а крипта за это же время +100%. Но падения отрезвляют. Оптимально держать некоторый, не доминирующий, процент капитала в крипте, и на ее взлетах перенаправлять доходы в фонды, где они будут зафиксированы. На падениях доливать в крипту, если она совсем скукожится.
Инвестор !!Y8IjmDPN0c # OP 18/09/21 Суб 07:06:45 522663 41
image.png 326Кб, 2202x1054
2202x1054
Второй месяц закрылся примерно в 0 как по крипте, так и по фондам.
Инвестор !!Y8IjmDPN0c # OP 25/09/21 Суб 00:45:19 526806 42
image.png 321Кб, 2172x1056
2172x1056
Неделя 10: Так себе. -$1000 фонды, -$5000 крипта.
Китайцы, китайцы. Хоть у меня непосредстванно в Китае только около 1%, но их плохие новости (других из Китая не идет) оказывают давление на все рынки. Крипту в 100500й раз запретили, и криптотрейдеры старательно отыгрывают новости. Как взрослые. Даром что это на скриптосфере не сказывается решительно никак, даром что биткоин уже был 100500 раз окончательно запрещен и объявлен вне закона много лет назад. Ну ладно. Отрастет.
Инвестор !!Y8IjmDPN0c # OP 02/10/21 Суб 08:53:47 530275 43
image.png 331Кб, 2200x1058
2200x1058
Неделя 11: -$2000 фонды; +$4000 крипта. Постепенно отрастает обратно. Фонды продолжают падать и уже завели меня в минус.
Инвестор !!Y8IjmDPN0c # OP 08/10/21 Птн 23:48:22 533161 44
image.png 500Кб, 2288x1105
2288x1105
Неделя 12: -$600 фонды, +$3000 крипта. ARKG был неудачным приобретением.
Аноним 09/10/21 Суб 03:33:19 533215 45
>>501913
>Деньги это самая суть нашего мира
еба, жертва экономического поворота.
Аноним 15/10/21 Птн 23:30:29 536191 46
image.png 504Кб, 2315x1109
2315x1109
Месяц 3: -$1500 по фондам, +$2000 крипта ($37k). Фонды опять позеленели, биток хорошо подрос за последние недели и приблизился к ATH.
В целом затея с инвестициями пока что себя оправдывает, но только за счет крипты. Общая инвестиционная прибыль около $17k.
Аноним 15/10/21 Птн 23:46:26 536196 47
>>536191
Пока не зафиксировался - это все очень влажновато.
Инвестор !!Y8IjmDPN0c # OP 15/10/21 Птн 23:56:11 536201 48
>>536196
Что значит зафиксировался? Ты меня с трейдером не перепутал? Выходить в кэш я никогда не собираюсь, если что. В кэше инфляция все съедает.
Аноним 16/10/21 Суб 00:18:10 536208 49
>>536201
Тогда у тебя нет никакой прибыли. Только текущая стоимость активов.
Инвестор !!Y8IjmDPN0c # OP 22/10/21 Птн 23:57:12 538443 50
image.png 506Кб, 2334x1111
2334x1111
Неделя 14: +$500 фонды, +$1000 крипта ($38k). Думал по фондам больше будет, s&p500 рос на неделе.
Аноним 23/10/21 Суб 00:15:31 538453 51
>>538443
Почему сейчас крипта растет? В последний раз она резко поднялась после всяких Масков. Но сейчас вроде бы резонирующих новостей не было, все спокойно. Только новые волны ковида.
Аноним 23/10/21 Суб 00:21:09 538458 52
>>538453
Она вообще имеет свойство расти, это уже стало естественным процессом. Мое мнение: это самосбывающийся прогноз. Сначала была идея, что принципиально ограниченный выпуск монет придаст им ценность и будет дефляция. И поскольку людям этот довод показался логичным, они и стремятся покупать ее и держать. Это дает постоянный фоновый рост цены.
На этом фоне идут уже локальные непредсказуемые колебания. На неделе было ралли с пробиванием ATH, например. Психологически важно было его обновить. Как пробили - закономерный откат, потому что рост был слижком быстрым.
Инвестор !!Y8IjmDPN0c # OP 30/10/21 Суб 00:09:29 541294 53
image.png 521Кб, 2311x1105
2311x1105
Неделя 15: +$1000 фонды, +$3000 крипта ($41k).

14% от цели.
Аноним 30/10/21 Суб 00:33:10 541296 54
>>541294
Если простишь результаты описал бы как выбираешь акции и тп
Инвестор !!Y8IjmDPN0c # OP 30/10/21 Суб 02:14:52 541331 55
>>541296
Все выше описано, начиная с оппоста. Там всего 10 покупок, по каждой я привел идею. Общая идея - 30% в фондах с облигациями, как стабильное вложение, 70% в фондах акций. Фонды акций я выбираю из соображений перспективности, по моему мнению, их тематики на следующее десятилетие.
Аноним 30/10/21 Суб 02:19:13 541332 56
>>501653
Тогда фонд добавит в портфель твою кубовую компанию и ОП поимеет профит.
Инвестор !!Y8IjmDPN0c # OP 05/11/21 Птн 23:25:06 544018 57
image.png 539Кб, 2332x1099
2332x1099
Неделя 16: +$1000 фонды, крипта стабильна ($41k).
Фонды растут, но с октябрьского падения индексы растут быстрее моего портфеля. Виноват в этом в основном ARKG. Надо притормозить с высокорисковыми фондами. Хотя если учесть что треть портфеля вообще в крипте, чего уж там стесняться рисковых фондов.
Аноним 06/11/21 Суб 02:48:36 544043 58
>>544018
не понял, ты что 100к грина поднял за 14к?
Аноним 06/11/21 Суб 03:29:47 544049 59
>>544018
В чем прикол в фарму вкладываться, это же лотерея ебаная!
Даже если не брать в рассчет то, что многие компании туземунят на 5 иксов, а потом либо сдуваются, либо как малинка - банкротятся.
Файзер вакцину выпустил - на новости набрал 5 процентов и к предыдущим показателям. Со временем отросли, но понты какие-то.
Аноним 06/11/21 Суб 05:21:21 544064 60
>>544043
Вложил я своих денег около 120к, общая прибыль до налогов на данный момент примерно 25к. Большая часть от роста биткоина.
>>544049
Считаю, что здравоохранение как отрасль и ее новейшие технологии в частности очень перспективны. Всегда будет спрос на медицину, он не исчезнет ни при каких обстоятельствах. При этом развивать там еще можно очень много.
Нынешние колебания с вакцинами это временные, труднопредсказуемые явления. В моей стратегии они не важны.
Инвестор !!Y8IjmDPN0c # OP 13/11/21 Суб 02:24:40 546622 61
image.png 519Кб, 2313x1111
2313x1111
Неделя 17: -$1000 фонды, +$3000 крипта (44к). Положил еще полтинник на счет брокера, на следующей неделе буду закупаться. Хотя это деньги не совсем мои, ИТТ буду их считать как свои.

19% от цели.
Аноним 13/11/21 Суб 04:13:51 546643 62
image.png 9309Кб, 2544x4000
2544x4000
>>544064
>общая прибыль до налогов на данный момент примерно 25к
Инвестор !!Y8IjmDPN0c # OP 15/11/21 Пнд 21:33:11 547694 63
image.png 580Кб, 2319x1230
2319x1230
Купил на 25к каждый:
GOVT - бонды казначейства, как самые непотопляемые
VTHR - индекс Russell 3000, топ 3000 американских компаний по капитализации. Просто вся экономика США.

Решил поконсервативнее выбрать, а то ARKG тянет портфель вниз, пока все растет.
Аноним 15/11/21 Пнд 23:15:12 547745 64
Инвестор !!Y8IjmDPN0c # OP 20/11/21 Суб 00:48:55 549933 65
image.png 608Кб, 2321x1230
2321x1230
Месяц 4: +$1000 фонды, +$2000 крипта ($39k). Неделя в большом минусе: биткоин приуныл из-за того, что SEC не одобрила создание крипто-ETF. Такой фонд влил бы огромные деньги в биток за счет инвесторов в ETF вроде меня. Но я вполне понимаю, почему его не дают создать: управляющий одним кликом может перевести всю крипту на свой кошелек, и потом никогда ничего не вернут. В отличие от акций, которые украсть невозможно. Такой риск они не могут допустить.
Инвестор !!Y8IjmDPN0c # OP 27/11/21 Суб 00:17:43 553559 66
image.png 584Кб, 2342x1243
2342x1243
Неделя 19: -$3000 фонды, -$1000 крипта ($38k).
Новости о новом варианте ковида тянут все вниз.
Аноним 27/11/21 Суб 09:56:49 553630 67
>>553559
А в чем заключается взаимосвязь между всеми этими пирамидами и ковидом?
Инвестор !!Y8IjmDPN0c # OP 27/11/21 Суб 18:29:25 553799 68
>>553630
Считается, что в любой непонятной ситуации нужно продавать "высокорисковые" вложения и заходить в кэш, бонды (видишь как бонды на моем последнем скрине бодро подросли?), как более стабильные. Трудно предсказать, как ковидный кризис скажется на компаниях, но в целом понятно что мало кто на этом выиграет. Кроме, возможно, фармы, которая частично пошла вверх тоже.

Конечно, криптовалюты к этому практически не имеют отношения. Как биткоин пострадает от ковида? Никак. Но факт - их тоже продают по тому же шаблону. Цена криптовалют определяется трейдерами, как некий общий консенсус, который все трейдеры пытаются угадать. Никаких объективных критериев цены нет. Рулит разум улья в прямом смысле слова. В этом эпизоде он решил, что нужно отреагировать на новости снижением. Там еще на прошлой неделе были плохие новости, это создало "негативный фон".
Аноним 28/11/21 Вск 20:14:08 554402 69
>>553559
Оп. Какой Кристоф сейчас можно закупиться на низах? И через какую биржу?
Инвестор !!Y8IjmDPN0c 28/11/21 Вск 21:44:32 554451 70
>>554402
Криптой? Я только на долгосрок покупаю, для меня в порядке приоритета:
1. Биток.
2. Эфир.
3. Монеро.

Все остальное в категории "мусорные инвестиции", то есть ты покупаешь лотерейные билеты. На это можно тратить какие-то совсем мелкие деньги в надежде на ракету. Если шиткоин уже один раз стрельнул, то это отработанный материал. Лично я шитки не покупаю.
Аноним 28/11/21 Вск 22:17:51 554501 71
>>554451
А у битка еще есть потенциал для крупного скачка, как в прошлые разы? Недавно некоторый инвест банк предсказывал битку 240к.
Инвестор !!Y8IjmDPN0c 28/11/21 Вск 23:05:01 554557 72
>>554501
На быстрые огромные скачки я не расчитываю, но постепенный рост очень вероятен. Возможно, мы еще увидим биток по миллиону, но это все в долгосроке. 240к, думаю, реально в 5-10 летней перспективе.

Но при этом биток остается высокорисковым вложением. В любой момент может что-то поменяться. Например, если в США упрутся рогом и будут запрещать крипту, думаю он почти в 0 уйдет моментально. Об этом нужно всегда помнить и не держать все в крипте.
Аноним 29/11/21 Пнд 10:28:26 554672 73
>>554451
Долгосрок для тебя сколько? Мне нужно на месяцев 6-7. Сумма около 150 тысяч, стоит ли игра свеч?
Аноним 29/11/21 Пнд 10:34:15 554676 74
>>554672
Чел, ты в курсе, что в РФ отсутствуют беспроблемные легальные способы превратить крипту обратно в рубли?
Можно, конечно, открыть счёт в иностранном банке, привязать туда карту, которую примут наши банкоматы, но ты как минимум станешь иностранным агентом, а как максимум с твоими копейками нехуй этим заморачиваться даже.
Аноним 29/11/21 Пнд 10:35:42 554678 75
>>554676
Че блядь? С пулов спокойно выводил на карту с комиссией 2%. Не нужно больше 100 к выводить и все норм будет. Мимо
Инвестор !!Y8IjmDPN0c 29/11/21 Пнд 10:37:00 554680 76
>>554672
От 5 лет. На полгода ты не найдешь ничего подходящего из классических инвестиций, только кэш. Ну, собственно, за полгода инфляция его не сильно поест, если ты конечно не в рубле сидишь, лол.

Брать что-то на полгода значит надеяться на удачную сделку в моменте. То есть это уже не инвестиция, а игра на рынке. Такое имеет смысл если у тебя есть инсайд, или ты просто хочешь рискнуть как в казино.
Аноним 29/11/21 Пнд 10:42:15 554683 77
>>554678
Поздравляю, теперь ты иностранный агент. И не забудь доход задекларировать.
Аноним 29/11/21 Пнд 11:44:39 554698 78
Оп сколько денег
Инвестор !!Y8IjmDPN0c # OP 04/12/21 Суб 09:18:20 556524 79
image.png 586Кб, 2321x1224
2321x1224
Неделя 20: -$3000 фонды, -$4000 крипта ($34k).
>>554698 так что всего теперь получается $180k.
Неплохо все просело, самая красная неделя пока что. Еще пара таких недель и все уйдет в минус относительно старта.
Инвестор !!Y8IjmDPN0c # OP 11/12/21 Суб 00:21:06 559843 80
image.png 590Кб, 2336x1233
2336x1233
Неделя 21: +$2000 фонды, +$1000 крипта ($35k). Небольшой отскок, видимо на почве предчувствий, что Омикрон окажется не так страшен.
Аноним 18/12/21 Суб 00:44:27 562741 81
image.png 587Кб, 2332x1233
2332x1233
Месяц 5: -$4000 фонды, -$5000 крипта ($34k). Первый красный месяц. Краткосрочное настроение рынка, видимо, негативное. Очередная большая волна ковида в США, ожидание финансовых проблем от инфляции. Остается лишь надеяться, что в Омикрон объявят не опасным и это вернет трейдерам оптимизм.
Аноним 18/12/21 Суб 01:28:44 562749 82
Узбагойся поцанчег, ты срубишь свой сраный лям только на биг шорте, потому что все скоро наебнется нахуй.
Аноним 18/12/21 Суб 04:15:21 562763 83
>>562749
Ты уже квартиру свою зашортил?
Аноним 18/12/21 Суб 07:59:54 562784 84
image.png 155Кб, 1446x1017
1446x1017
image.png 161Кб, 1427x1026
1427x1026
>>562767
2x он сделал на вакцине. Норм, по-моему, если учесть что эта вакцина для него один из миллиона продуктов. Для сравнения Модерна, которая себя сделала полностью на вакцине - 20х.
Ясно, что я никак бы о ней не узнал. Поэтому и покупаю фонды, чья работа узнавать такие вещи и покупать перспективные стоки.
Аноним 18/12/21 Суб 15:05:37 562905 85
>>562763
Нет, но я сделал 50k% roe.
Инвестор !!Y8IjmDPN0c # OP 25/12/21 Суб 02:05:03 565156 86
image.png 542Кб, 2267x1226
2267x1226
Неделя 23: +$1500 фонды, +$2000 крипта ($36k). Потихоньку отрастаем обратно.
Инвестор !!Y8IjmDPN0c # OP 01/01/22 Суб 01:28:39 567982 87
Неделя 24: фонды 0, -$3000 крипта ($33k).
Всем удачных инвестиций в 2022!
Инвестор !!Y8IjmDPN0c # OP 08/01/22 Суб 01:52:14 569940 88
image.png 575Кб, 2305x1230
2305x1230
Неделя 25: -$4000 фонды, -$5000 крипта. Год начался с самой красной недели. Плакали мои биотехнологии!
Аноним 08/01/22 Суб 12:02:01 570062 89
>>569940
А фонды почему упали?
Инвестор !!Y8IjmDPN0c 08/01/22 Суб 23:15:22 570239 90
>>570062
В этом году ожидаются какие-то телодвижения от ФРС по увеличению процентной ставки, на которую ориентируются банки, выдавая кредиты. Считается, что при более дорогих кредитах вести бизнес, ориентированный на рост, труднее, и цена акций таких компаний, во многом спекулятивная и основанная на ожиданиях от далекого будущего, падает. Также падают старые бонды, т.к. они никому не нужны при наличии новых бондов по более высоким ставкам.

В начале недели говорящие головы из ФРС что-то там сказали опять про повышение ставок, и все кинулись продавать мои любимые хайтек стоки. Многострадальным биотехам досталось больше всего, плак.
TAXI-кун !!wFUNz5.GRA 09/01/22 Вск 00:10:42 570257 91
>>570239
Какая средняя цена по битку?
Аноним 09/01/22 Вск 00:57:42 570292 92
>>570239
Какой криптобиржей ты пользуешься? Я только начинаю вкатываться в инвестирование в крипту, до этого немного инвестировал на фондовом рынке. Сейчас решил зарегаться на Бинансе, а там уже несколько месяцев обязательная верификация с паспортом. Во-первых, я плохо отношусь к самой идее отправления фотки себя с паспортом, потому что было много случаев, когда сливали данные и на людей вешали кредиты. Во-вторых, что если государство будет ужесточать правила для биржы, будет требовать, например, информацию для налоговой (да и просто инфу о тебе). На сайте написано, что сейчас они не обязаны давать инфу, но кто знает что изменится в будущем.
И еще интересно что там с налогами. Сейчас очень расплывчатая информация по этой теме, в том же faq бинанса сами не знают как точно нужно действовать. Кажется с 2021 года нужно самим все декларировать и уведомлять о наличии крипты, но я так понимаю это еще не работает, особенно после чтения конспирологий в /cc о выводе средств.
Инвестор !!Y8IjmDPN0c 09/01/22 Вск 01:51:37 570322 93
>>570257
Ты имеешь в виду цену, по которой я покупал? Что-то около 30к. Чисто удачно купил на дне (что было дном тогда), не было никаких расчетов.

>>570292
Для перевода крипты в доллары - Kraken. Там я зарегистрирован с паспортом и всем прочим. Да, они передают данные в налоговую. Я плачу все налоги с торгов. По налоговой ситуации в РФ ничего не могу сказать, самому интересно.
Рекомендую поступать так же, как я: выводить деньги на свой счет через большие биржи, платить все налоги как положено (насколько ты это понимаешь). Меньше рисков.
Инвестор !!Y8IjmDPN0c # OP 15/01/22 Суб 01:35:32 572128 94
image.png 603Кб, 2296x1230
2296x1230
Неделя 27: -$1000 фонды, +$2000 крипта ($30k). В плюсе, но от созерцания обвала биотехов все равно грустно.

Другие новости: всю неделю болел короной. Прогноз на следующую неделю положительный.
Инвестор !!Y8IjmDPN0c # OP 15/01/22 Суб 01:36:14 572129 95
Вернее, это была неделя 26.
Аноним 21/01/22 Птн 22:25:07 574036 96
Уже вывел свою крипту? Или ты не из РФ?
Инвестор !!Y8IjmDPN0c # OP 22/01/22 Суб 01:41:28 574088 97
image.png 576Кб, 2323x1222
2323x1222
Итоги полугода с начала инвестиций: фонды -$12k (эта неделя была одной из самых красных), крипта +$4k ($24k, на этой неделе также обвал). То есть вышел в общий минус. Практически все потери произошли в проследние два месяца, до этого был хороший плюс.
Какие можно сделать выводы? Портфолио было очень рискованным. Лучше было не выдумывать, а просто вложиться в простые индексы вроде S&P500.

>>574036
Я не в РФ, и продавать крипту не собираюсь. Хотя интересный вопрос, что делать с ней если ее везде позапрещают. Скорее всего она тогда сольется в 0 и вопрос решится сам собой.
Аноним 22/01/22 Суб 14:32:37 574140 98
>>574088
>Скорее всего она тогда сольется в 0 и вопрос решится сам собой.
С чего бы. Крипта прекрасно жила и в серой зоне.
Инвестор !!Y8IjmDPN0c # OP 22/01/22 Суб 18:04:01 574166 99
>>574140
Никто не может точно сказать. Биток, конечно, будет существовать как система - что ему сделается? Всегда кто-то будет майнить чисто на энтузиазме. Но цену его задают покупатели, (дальше мои спекуляции) подавляющее большинство каковых это жители США. Если там скажут всем сливать биток, то мой прогноз цены - около нуля по сравнению с текущей.
Инвестор !!Y8IjmDPN0c # OP 24/01/22 Пнд 20:58:34 574781 100
image.png 564Кб, 1467x837
1467x837
Неделя едва началась, а уже так хорошо пошло.
Инвестор !!Y8IjmDPN0c # OP 29/01/22 Суб 00:53:57 575859 101
image.png 396Кб, 2238x1174
2238x1174
image.png 544Кб, 1399x799
1399x799
Неделя 28: -$1000 фонды, -$1000 крипта ($23k). Все продолжает падать. В новостях говорят, что это самое плохое начало года на рынке за всю историю.
Аноним 29/01/22 Суб 02:14:25 575894 102
>>575859
Если ты очередная макака 300ксек то тебя не жалко. Я надеюсь что вообще вас всех скоро заменят обычные алгоритмы.

Если нориальный пацан то я думаю что так или иначе не криптоговно ни акции (если он конечно не российские) никогда не упадут до нуля
Аноним 29/01/22 Суб 03:28:59 575915 103
>>574166
Кто такие эти никто и если ты не знаешь кто это и что сказать - нахуя эти заумные предположения основанные... на чем кстати?
Еще до того, как о нем начали трубить новости ррря норкотеги только за него покупать им прекрасно пользовались системы управления рекламным трафиком и казино для взаиморасчетов в разных частях света. И суммы там были в десятки и сотни миллионы долларов. Уже тогда, году так в 10-12
Инвесторы херовы, все проспали и даже сейчас на говне гадают.
Инвестор !!Y8IjmDPN0c # OP 30/01/22 Вск 23:35:55 576453 104
image.png 303Кб, 1380x1392
1380x1392
image.png 332Кб, 838x1438
838x1438
image.png 325Кб, 836x1460
836x1460
image.png 298Кб, 856x1158
856x1158
Чтобы отвлечься от красного уныния, поселившегося в треде, видимо, надолго, запощу о высоком.
Уже давно я читаю The Road To Reality Пенроуза. Пожалуй, самая "сложная" книга, которую я читал. Очень плотная, серьезная математика. Попытка собрать современные представления о законах физики.

Поделюсь одним из интересных моментов, которые я узнал оттуда: спиноры. Оказывается, в некотором смысле 3Д поворот на 360 градусов не возвращает объект в исходное состояние, а поворот на 720 градусов возвращает. Это можно наблюдать как математически (в кватернионах, например), так и физически, прицепив к вращаемому объекту ленту или веревочки. Это проявляется и в физических законах самого низкого уровня. В пространствах больших размерностей это также работает.
Влад !5xA04PGuqA 31/01/22 Пнд 04:26:14 576520 105
>>570239
Как ты такие деньги заработал, если ты из бедной семьи?
Инвестор !!Y8IjmDPN0c # OP 31/01/22 Пнд 06:21:05 576529 106
>>576520
Семья бедная, но образованная, поэтому получил хорошее образование. Повезло с открывшимися возможностями, хватило ума и смелости их найти и использовать. К тому же я старый по местным меркам, за столько времени набрал "вес".
Протыкласник Твой 31/01/22 Пнд 12:06:33 576559 107
16435679702170.jpg 41Кб, 604x580
604x580
>>576453
О, кватернионы, полезная штука. Я не особо математик. Всегда мечтал создать свою видеоигру, так я и вообще наткнулся на квантернионы. В разные периоды времени совершал разные попытки по созданию игр. В детстве было больше настойчивости, нак как я был наивно уверен в успехе, но к сожалению в детстве не хватает знаний, и знаний о том, где можно найти знания. Я создавал игру месяцами постоянно меня текстурки, и объекты, но в итоге понял, что ничего более я не способен создать, так как абсолютно не понимаю ни коддинг, ни математику. Позже, на втором курсе ВУЗа, была ещё одна попытка создать игру, которая продержалась 3 дня. Попытка была довольно полезная, благодаря ей я познакомился с углами Эйлера, кватернионами, и приблизительно понял как устроены языки программирования типо C#. За эти 3 дня, моя сцена наполнилась всего 2 кубиками без текстур. Мне даже лень что-то моделлить было, потому, что в таком возрасте уже понимаешь, как создают игры, почему в них кто-то играет, и на что есть спрос. Понимаешь, что твоя игра - бессмысленная трата времени. Максимум на что можно рассчитывать - на скромную базу фанатов, а о деньгах каких-то можно забыть.
Аноним 31/01/22 Пнд 16:40:21 576642 108
>>576520
Такие это какие? 50к баксов?
Влад !5xA04PGuqA 31/01/22 Пнд 17:29:19 576653 109
>>576642
300к в наносекунду, ты опять выходишь на связь? Осознаешь ли ты, что большинство граждан СНГ не имеет даже 5 000 долларов в кэше? А у него там 136 000 долларов.
Аноним 31/01/22 Пнд 21:57:20 576821 110
>>576653
Осознаю. ОП писал, что не из рашки и ему уже порядком лет.
Инвестор !!Y8IjmDPN0c # OP 31/01/22 Пнд 23:15:29 576938 111
yTm47fS.gif 445Кб, 500x280
500x280
>>576559
Многие имели дело с кватернионами в программировании, и я в том числе. Но никогда я не знал и не задумывался о том, что описано на прикрепленных мною страницах. В материалах, по которым я учился, это не считалось чем-то важным. Если и говорили об этом, я сразу забыл.
>>576821
По заработанным деньгам я по сравнению с пирами крепкий середнячок. Базовые вещи есть, не живу от ЗП до ЗП, но уйти с работы, скажем, не могу. Собственно, ИТТ какие-то попытки двигаться в этом направлении.
Аноним 01/02/22 Втр 13:42:09 577122 112
>>576938
>по сравнению с пирами крепкий середнячок
WTF?
Аноним 03/02/22 Чтв 19:43:52 578259 113
Аноним 03/02/22 Чтв 21:03:12 578289 114
Инвестор !!Y8IjmDPN0c # OP 05/02/22 Суб 02:03:00 578694 115
image.png 383Кб, 2232x1176
2232x1176
image.png 549Кб, 1399x799
1399x799
Неделя 29: +$1000 фонды, +$3000 крипта ($26k). Первая значительно зеленая неделя в году. В целом все равно я в глубоком минусе.
Инвестор !!Y8IjmDPN0c # OP 07/02/22 Пнд 06:31:23 579368 116
image.png 270Кб, 1108x1254
1108x1254
image.png 429Кб, 1026x1748
1026x1748
image.png 246Кб, 1026x1474
1026x1474
В той же книге ознакомился с темой, до этого мне неведомой: fiber bundle. Сначала идея показалась простой - для каждой точки одного пространства определено другое пространство. Получившееся многомерное пространство локально выглядит, как декартово произведение этих двух пространств, а глобально может иметь нетривиальную топологию.

Потом, подумав над примерами, понял что представить себе это трудновато. Стандартный пример - ленту Мебиуса - легко себе представить как объект в 3Д пространстве, но соответствующий fiber bundle не имеет никакого 3Д пространства, в котором он мог бы располагаться. Получается, что если ты делаешь один оборот по этому fiber bundle, то ты превращаешься в свое зеркальное отражение, но это происходит постепенно, так что это невозможно заметить на микроуровне. Но зеркальное отражение это не непрерывное преобразование! Как можно наполовину зеркально отразиться?

Над последними фразами про симметрии тоже долго думал. Постепенно дошло, что имеется в виду пространство векторов не "размеченных" на положительные и отрицательные. Просто как стрелочки. Тогда если их перевернуть, то все будет выглядить как было.
Инвестор !!Y8IjmDPN0c 12/02/22 Суб 03:09:32 581472 117
image.png 377Кб, 2230x1176
2230x1176
image.png 551Кб, 1399x799
1399x799
Неделя 30: -$1000 фонды, +$1000 крипта ($27k).
Неделя началась хорошо, но сегодня вечером трейдеры перепугались возможного нападения на Украину. И все слили. Ну 0 так 0, в последнее время я и нулю рад.
Аноним 12/02/22 Суб 08:34:10 581499 118
>>581472

Купил за 9600 ($128к гдет) Порш Каен Купе, всадил почти все свои сбережения на это (ну чуть осталось, несчитово). Плюс страховка ещё.

Как бы ты меня поругал за это? ) И стал бы? Мне 41, квартира в ДС есть, работник айти-сферы миддл-хай таер.

Забавно кстати, прошлую машину брал за 2880 в октябре, продал дилеру (на перепродажу дальше) на прошлой неделе за 3550. Даже в баксах наверное не проиграл, а то и выиграл.
Аноним 12/02/22 Суб 08:41:24 581500 119
>>581499
>брал за 2880 в октябре

в октябре 2019, фикс
Влад !5xA04PGuqA 12/02/22 Суб 09:23:42 581502 120
>>581472
Понимаю. Клятий Бідон! Я тоже подобосрался вчера, когда потерял в один день 5%. Ты долго в арке и возобновляемой энергии собираешься ещё сидеть? Сейчас на рыночке повесточка меняется, value начинает показывать себя лучше grow акций и вероятно, что это минимум на пару лет, так как FED может повысить ставку на полтора пункта. С растущей инфляцией и ставкой надо было бы залезать либо в бумаги банков, либо в бумаги производителей ресурсов, а ты в гроу-стоках сидишь, которые при этом были на своём пике из-за комбинации рекордной работы станков и 0-й ставки...Хотелось тебе раньше роста за счёт техов - надо было лезть в Nasdaq 100, половина фонда состоит из техов, неплохая диверсификация + 180% за 5 лет и за последний год даже не упал, а вырос 3%, не смотря на падение всей техо-хуйни. При этом Насдак 100 проверенный и лет ему дохуя, в то время как фонд от Cathie Wood свеженький и не просуществовал и десяти лет.
>>581499
Я бы тебя повесил нахуй за, так сказать, conspicuous consumption и безразличие к низшим слоям населения. Мало того, что тебе похуй на нищих пидоранов, так ты и сам по менталитету не отличаешься от наших братьев меньших, которые берут айфоны в кредит или новый телевизор на все сбережения.
Аноним 12/02/22 Суб 09:32:36 581503 121
>>581502
>Я бы тебя повесил нахуй за, так сказать, conspicuous consumption и безразличие к низшим слоям населения. Мало того, что тебе похуй на нищих пидоранов, так ты и сам по менталитету не отличаешься от наших братьев меньших, которые берут айфоны в кредит или новый телевизор на все сбережения.

Да я не спорю, что это так себе, сильно похоже на понты. Мотивация классической пидорахи, "нравится, один раз живём, ещё заработаю". С другой стороны, инвесторы-накопилы наоборот должны чувствовать превосходство надо мной, у тебя в посте как будто есть затаённое желание сделать так же ) Я особо никогда не копил, потому что знаю, что работать буду всю жизнь по любому, целей жить на пассивный доход нет. Надо ведь реально под 2ляма баксов накопить чтобы жить кучеряво на дивиденды. К тому времени ещё не факт что не сдохнешь. Или останется жизни с гулькин хуй, да еще и окончательно сморщищся. Такова моя пидоранская логика.
Влад !5xA04PGuqA 12/02/22 Суб 09:41:33 581508 122
>>581503
>затаённое желание
Никогда машин, яхт, золота или дворцов не хотелось. Мне многоэтажного домика с красивой шлюхой достаточно было бы в будущем.
>жить кучеряво на дивиденды
Это у тебя необычное понимание дивидендов. Если бы ты был консервативным пассивным инвестором, а не как ОП, который не занимался изучением своих акций и при этом лезет в рискованные бумаги, то мог бы ты иметь 10% годовых просто на росте SP500. 10 от 100 000 долларов - 10 тысяч долларов в год. Представим, что накопил бы ты 500 000 доллларов к 50-летию, если бы не тратил деньги на машины и прочую роскошь и просто вкладывал свою гига-зарплату в SP500. Тебе 50 000 тысяч долларов в год пассивного дохода было бы мало, что ли?
Аноним 12/02/22 Суб 09:57:25 581512 123
Вот вам наука, школьники ванаби-300ксеки.

Если вы-таки выйдите на высокоплачиваемый макакинг то всё что вы получите это поехавшую крышу от постоянных размышлений от того как же сохранить ваши заработанные кнопкодавством сбережения - накупить ли криптоговна или порш каен и всё равно быть никому нахуй ненужным после этого
Аноним 12/02/22 Суб 09:59:59 581513 124
>>581508
> Мне многоэтажного домика с красивой шлюхой достаточно было бы в будущем.

Так это соовсем другие деньги. Хуй наинвестируешь, если ты не гига-кабанчик.

>50-летию...тебе 50 000 тысяч долларов в год пассивного дохода было бы мало, что ли?

Это же всего порядка 4к/мес, ну маловато конечно. При этом мне надо я так понимаю лет 5 копить на гречке? Мне пожить то осталось лет 10-15 )

Вернее, 4к не мало конечно, всё зависит. Я привык тратить деньги на всякую хуйню с карнавалами, Кайен туда же. А тут сначала копи, потом к 50годам.. что? Кайенов и домов на эти 4к не купишь. А жить активно осталось очень недохуя лет. Только работать не нужно будет, но смысл для меня в этом неочевиден.
Инвестор !!Y8IjmDPN0c # OP 12/02/22 Суб 12:32:33 581538 125
>>581499
Для меня это неразумная трата денег. Машина, выезжая из салона, теряет сколько? 10, 20% цены? И дальше идет только вниз. Дорогие машины это вообще только для богатых, когда для тебя ее цена это пшик. Еще есть такая житейская мудрость: основная трата на дорогую машину это не ее цена, а ее техобслуживание.

Ну если это мечта всей жизни (и доходы позволяют содержать), то что можно возразить? Еще заработаешь. Это всего лишь деньги.

Другие вон вообще яхты покупают. Это черная дыра по финансам.
Инвестор !!Y8IjmDPN0c # OP 12/02/22 Суб 12:52:45 581545 126
>>581502
Да понятно, что я неудачно зашел. Ну кто знал. ARKG планирую подержать лет 5, если нет, то спишу. Если выйдет в плюс раньше, продам раньше.
Чистая энергия это будущее, тут я не сомневаюсь. Буду держать. Из того что я купил сейчас у меня под сомнением только ARKG и ROKT (космос и исследование океана). Техи тоже будут расти. Компьютеризация мира только усиливается.
>Хотелось тебе раньше роста за счёт техов - надо было лезть в Nasdaq 100
Тут согласен, да хоть с&п500 надо было купить и не морочить себе голову. Думал, я смогу лучше, лол. Ну будет мне наука.
>Сейчас на рыночке повесточка меняется, value начинает показывать себя лучше grow акций и вероятно, что это минимум на пару лет, так как FED может повысить ставку на полтора пункта.
Может быть. Раньше так было, если быть точным. Но отражает ли это реальность? Скажется ли это повышение ставки на ценности компаний? Лично я считаю, что очень слабо.
В любом случае я не тороплюсь. Будет яма - пересижу. Докупать в 2022, наверное, не буду - по крайней мере до тех пор, пока не станет ясно с повесточкой. Какие-то нестабильные времена настали. В кэше я тоже сижу если что.
Инвестор !!Y8IjmDPN0c # OP 12/02/22 Суб 13:17:45 581552 127
>>581513
Про глобальные цели я тут писал: >>516427
Для меня это переход на более высокий уровень существования. Когда ты не обязан работать, чтобы существовать. И это не для себя, а для семьи.
Все сводится к вопросу о смысле жизни. Имеет ли смысл вкладываться в будущее, которое возможно настанет только после тебя? В детей? Насколько это важно? Нужно ли вливать туда ВСЕ, или что-то можно просто потратить на себя без отдачи?

Каждый отвечает сам себе на эти вопросы. Мои аргументы такие: я видел как живут в совке, по принципу "тратить все, после нас хоть потоп". Даже я бы сказал "после завтра хоть потоп". И так у всех, от последнего гречневого работяги до царька. И видел, как живут на богатом Западе, где у людей в гораздо большей степени growth mindset и финансовая грамотность: капитал, инвестиции, свой бизнес, это то чем они живут. Вторые живут в среднем намного лучше первых. Я хочу быть среди них.
Инвестор !!Y8IjmDPN0c # OP 19/02/22 Суб 04:10:26 583316 128
image.png 377Кб, 2218x1182
2218x1182
image.png 574Кб, 1399x799
1399x799
Месяц 7: -$2k фонды, +$2k крипта ($26k). Неделя в минусе. Спасибо, дед пыня, пожрал все доходы, дотянулся костлявой рукой.
Владимир 19/02/22 Суб 16:13:15 583369 129
>>583316
Это тебе за то, что меня обзываешь за спиной
Влад !5xA04PGuqA 21/02/22 Пнд 19:43:35 584058 130
Дно.webm 5038Кб, 640x360, 00:00:16
640x360
Как тебе рыночек, ОП? Питун вертухой Московской бирже на -10% в один день дал на новостях об убитых солдатах Украины, подбитом пограничном посту РФ и конференции о признании сепаратистов. Сбербанк -16% в один день. На конференции советники Путина в один голос требовали признать ДНР и ЛНР. Война теперь вероятнее, а это значит, что пизды получат все
Инвестор !!Y8IjmDPN0c # OP 21/02/22 Пнд 20:18:11 584072 131
image.png 147Кб, 800x450
800x450
>>584058
>Как тебе рыночек, ОП?
<---
Аноним 21/02/22 Пнд 20:37:41 584077 132
>>584072
Сижу в рублевом кэше, жду дна, чтобы купить привы сбера и облиги ГПБ. Как думаешь, когда покупать? Завтра закупиться или после бомбардировок Киева? Облиги буду брать длинные, после того как цб повысит ставку на 3%.
Аноним 21/02/22 Пнд 20:41:15 584078 133
>>584077
Не посоветую ничего. Твой план похож на попытку сыграть в казино. Оба названных тобою инструмента относятся к категории "мусорные инвестиции", и это не просто название.
Аноним 21/02/22 Пнд 22:56:34 584107 134
>>584078
Что тогда не мусор? И где твой трип?
Инвестор !!Y8IjmDPN0c 22/02/22 Втр 05:17:45 584147 135
>>584107
Не мусор это то, у чего хорошие рейтинги у агентств вроде Morningstar. Но это в принципе не важно, а важно ответить на вопрос: будет ли компания (или целая область, как я инвестирую) развиваться? Будет ли она занимать или создавать новые ниши рынка? Будут ли ее услугами пользоваться все больше людей, вкладывать в нее больше ресурсов? По этим двум банкам прогноз негативный. По сберу потому что это госпредприятие которому уже некуда расти, а ГПБ вообще жопа - такие конторы создаются только ради того, чтобы в подходящий момент обанкротиться и похоронить следы украденных денег. И этот подходящий момент стремительно приближается, если еще не настал.

Твой план это не инвестиции в принципе. Ты пытаешься сыграть на моменте. Это игра на бирже. Точно так же как в казино играют или делают ставки на спорт. Ты не можешь рационально предугадать, как будут развиваться события и тем более как на них отреагирует рынок.
Аноним 22/02/22 Втр 10:56:32 584165 136
>>584147
Ебать, а ты можешь рационально предугадать? Рационально нихуя не гадают, а, имея инсайдерскую инфу, делают ставки.
Люди, управляющие миллиардами, поступают нерационально, принимая финансовые решения на основе фейковых новостей. У них регламент такой, реагировать на новости.
То-то ты в минусах сидишь, экстрасенс доморощеный.
Инвестор !!Y8IjmDPN0c 22/02/22 Втр 16:14:28 584199 137
>>584165
Новости это краткосрок. В долгосроке все это неважно, а важны только глобальные тренды. У меня половина стоков, наверное, это айти. Из-за войны в Украине айти не перестанет развиваться. Этот тренд перекроет краткосрочные рыночные колебания. Вот и все рациональные рассуждения.
Инвестор !!Y8IjmDPN0c # OP 26/02/22 Суб 02:03:33 585212 138
image.png 390Кб, 2228x1176
2228x1176
image.png 574Кб, 1399x799
1399x799
Неделя 32: +$1k фонды, -$1k крипта ($25k). Невероятно, но неделя закрылась в 0. На вторжении была огромная просадка, но откатилось быстро.

Помимо самого факта варварского нападения на Украину, меня беспокоит то, что, очевидно, над пыней никто не стоит. Нет никаких олигархов, которые принимают решения за него. Он бьет прямо по их интересам, и по интересам всей РФ, всех остальных, плюет в лицо и объявляет войну всему миру. И как с гуся вода. Армия ему полностью подчиняется тоже. Как до этого дошло? Как получилось, что он стал императором? Может ли кто-то помешать ему запустить ракеты? Крайне опасная ситуация.
Аноним 26/02/22 Суб 02:40:33 585218 139
>>585212
Меня вообще удивила реакция западной фонды после открытия их ОС все вдруг резко начали выкупать просадку, это пиздец нелогично, хотя перед этим все падение объясняли именно подготовкой войны с Украиной.
Инвестор !!Y8IjmDPN0c 26/02/22 Суб 03:36:07 585224 140
chaosreigns.mp4 678Кб, 640x480, 00:00:08
640x480
>>585218
Там хаос уже имхо. Смешались в кучу боты, люди.
Инвестор !!Y8IjmDPN0c 27/02/22 Вск 00:01:14 585440 141
image.png 1880Кб, 1739x985
1739x985
Инвестироваю тут в актуальное на сегодняшний день.
Аноним 27/02/22 Вск 16:00:48 585591 142
>>585224
Видимо западу вообще поебать, сейчас фонды у паникеров набрали и полетим на 5к, имхо. Ставочку в марте не больше 0.5 поднимут.
Аноним 05/03/22 Суб 02:38:13 586753 143
image.png 373Кб, 2248x1174
2248x1174
image.png 565Кб, 1399x799
1399x799
image.png 130Кб, 1914x1266
1914x1266
Неделя 33: -$1k фонды, -$1k крипта ($24k). Ну тут нечего добавить - хотя бы понятно, кто персонально виноват в этих потерях. Биток сделал неплохой прыжок на неделе, но банда головорезов, называющих себя "армия РФ", решила обстрелять АЭС, и вот так вот получилось. Я еще потерял относительно немного.
Аноним 05/03/22 Суб 09:50:45 586770 144
>>586753
Как ты инвестируешь? Вложился один раз и ждешь n лет? Или будешь еще добираться?
Инвестор !!Y8IjmDPN0c # OP 05/03/22 Суб 19:03:50 586855 145
>>586770
Буду докупать. Изначально план был постоянно докупать, но в текущей финансовой атмосфере вместо этого коплю кэш. Жду, когда рынок стабилизируется.
Влад !5xA04PGuqA 07/03/22 Пнд 05:51:45 587102 146
>>586855
Я занимаюсь сток пикингом со своим британским другом-финасистом и сильно не согласен с твоим выбором бумаг. Посмотри на тикер SBSW. Див 8%, низкий p/e 6, хороший и гарантированный потенциал за счёт выкрутасов Пыни. Крупный производитель золота и платиновая компания. Путлера со страною отправили на парашу, что привело в движение маховик цен на ресурсы, экспортируемые Россией, текущая ситуация усилит инфляцию и ударит ещё сильнее по growth стокам, в которые ты инвестируешь, а они и так в говне. Ставочка федерального банка США в 2% уже не кажется невозможной.

Ты, конечно, можешь меня не послушать, но обязательно через 3-5 месяца чекни стоимость предложенной компании и не забудь приплюсовать див, если его выплатят к тому моменту (его в последний раз платили в сентябре 21-го). Специально пишу с трипом, чтобы не воспринималось, как пустой вскукарек ноунейма.
Инвестор !!Y8IjmDPN0c 07/03/22 Пнд 08:33:15 587110 147
>>587102
Конечно, я зашел неудачно. Хотя это стало видно только через 3 месяца. Я понимаю твои рассуждения, они логичны, но это не соответствует моей общей стратегии. У меня есть видение того, что нужно покупать, и оно вкратце описани выше. Это те области, где я вижу потенциал большого развития.

Компьютеры, ИИ, роботы - гигантский потенциал. Возможности здесь поражают воображение и могут трансформировать все человечество до неузнаваемости. Прорывы в этой области могут сделать все остальное несущественным.

Биотехнологии - все еще в стадии начала своего развития. Генетические модификации, инженерия протеинов, все это может продлить жизнь, излечить неизлечимые ранее болезни. Люди всегда будут платить за свое здоровье. Здесь бесконечное развитие будет.

Освоение космоса - новые источники ресурсов.

Чистая энергия - мы в конце концов перейдем на нее полностью.

Войны, инфляция, все это тянет хайтек вниз, но я делаю ставку на то, что он будет развиваться не смотря ни на что. Да, если бы я лучше разбирался в рынках и предвидел повышение ставок и падение рынков из-за этого, я бы не купил все это в тот момент. Но купил бы все то же самое сейчас, либо позже в этом году когда ставки уже будут повышены. Я все еще не считаю свой выбор принципиальной ошибкой, кроме ARKG. Ошибся только во времени.
Войну никто не мог предсказать.

То, что ты назвал, металлы, нефть, ну да, сейчас растет. Но я не вижу развития у этой области. Как они могут расшириться, что нового они могут сделать? Открыть новые месторождения? Да это рутина для них. Значительно более эффективные способы добычи? Я сомневаюсь.
То, что они из-за войны подросли, это игра на новостях. Может быть, из-за отвалившейся РФ произойдет передел рынка, на этом знающие люди могут сыграть. Но это не то, о чем я думаю, покупая фонды.
Влад !5xA04PGuqA 07/03/22 Пнд 10:21:41 587118 148
>>587110
Потенциал технологический вовсе не равняется потенциалу финансовому. Посмотри на электрические машины. Им уже больше ста лет, но до действительно рабочих и массовых рабочих лошадок для продажи мы дошли только сейчас, а до этого они ограничивались единичными экземплярами и luxury классом машин для бизнесменов. Вон, даже у Теслы первая массовая модель стоила за $100 000. Тесла не единственная компания, производившая электрические машины за свою историю, т.е. все её предки жидко пёрднули и обосрались, так и не добившись популярности и вытеснения дизельных двигателей.

У тебя пассивный подход к росту. Это вещь нормальная, бережёт нервы и время, но таким образом ты вряд ли дойдёшь до миллиона до старости. Для большого роста нужно следить за рынком и эксплуатировать возможности. Т.е. те же нефтяные компании, о которых ты так плохо говоришь, испытали отток капитала на хайпе, в то время как возобновляемая энергия была просто закидана деньгами, но рынок так не работает.

Если каждый Вася завтра купит акцию Теслы на всю котлету, Тесла может хоть усраться, но она сможет оправдать цену акций, которые достигнут космоса. Стоимость акции всего лишь отражает её текущие данные и ближайшее будущее компании, и ни одна компания не способна увеличивать свои продажи вдвое каждый год. Вот и рынок бумаг возобновляемой энергии был закидан деньгами на волне печатных станков и хайпа технологий, но ведь сами по себе эти компании не стали работать лучше лишь от того, что стоимость их акций взлетела до небес.

Ты именно вложился на вершине этого хайпа, поэтому деньги и потерял, так как не смотришь на финансовые данные частной компании или сектора. Люди, вложившиеся в "подыхающую" нефтянку в 2020-ом, когда цена ушла буквально ниже плинтуса и торговалась в минус, пожинали бы очень хорошие плоды к текущему году, так как рынок ресурсов всегда следует циклу роста и падения. Сейчас уже поздно вкладываться в нефть, но она неизбежно упадёт до 50-60 за баррель и тогда уже можно будет снова входить эти компании. На данный момент возобновляемая энергия совершенно не покрывает нужды в нефти, сектор просто не в состоянии расширяться достаточно быстро, а правительства стран не особо способствуют владельцам дизельных машин на переход на электромобили, из-за чего наш громадный спрос на нефть отказывается падать.
Аноним 07/03/22 Пнд 10:23:14 587119 149
>>587118
>Тесла может хоть усраться, но она НЕ сможет оправдать цену акций
Аноним 07/03/22 Пнд 11:52:23 587131 150
>>587118
Двачую, эти футуристы надули самый большой пузырь в истории фондового рынка.
Инвестор !!Y8IjmDPN0c 07/03/22 Пнд 18:24:29 587208 151
>>587118
Спасибо за мысли. Я надеялся на подобный обмен мнениями, создавая тред.
Я согласен, что многие мои надежды это далекое будущее, которое может не сбыться или сбыться не в том виде, который принесет прибыль в этих фондах. Будет ли миллион до старости это еще и вопрос моего заработка, лол. На тех вложениях что есть сейчас не будет. Инвестированием я хочу скорее сохранить накопленное от инфляции, чем зарабатывать новые деньги. Также смотрю на это как на возможность (в будущем) пассивного дохода, набираю опыт в этом направлении. Ну здесь я полный новичок, и не удивительно что я теряю деньги. Твои идеи мне помогают лучше понять рыночные принципы.

>>587131
Я не люблю термин "пузырь". Это всегда пост-фактум определяется, как объяснение падения цены, что вот мол пузырь лопнул. Вся американская экономика это пузырь? Она постоянно растет, но называть ее пузырем неправильно, я считаю. Так и Тесла та же. Может быть, через 20 лет она всех авто производителей задавит, тогда это не пузырь.
Влад !5xA04PGuqA 07/03/22 Пнд 19:15:36 587218 152
>>587208
Пузырь можно определить по соотношению продаж и прочих финансовых компаний к стоимости их акций. Биотехи, которые ты купил, зачастую вообще работают в убыток, а зарабатывают деньги ТОЛЬКО в том случае, если у них случится технологический прорыв, но меньше половины биотехов добивается подобного. Из-за данных факторов биотехи - спекулятивные акции, в которых ты надеешься на увеличение стоимости в будущем, не имея твёрдых данных, показывающих, что это произойдёт. Ты, можешь быть, слышал об Астра Спэйс или Вирджин Галактик? Это космические компании, много русских инвесторов играли в это казино, делали ставки, ни черта не понимая в подобных компаниях. Результат вышел плачевным, многие потеряли больше половины депозита, когда компании встретились с проблемой запуска ракет и коммерциализацией проекта, всё таки подобные компании работают в убыток и далеко не факт, что они когда-нибудь выйдут в ноль. А как обычный Вася определит, взлетит ли ракета и сможет ли убыточная компания приносить доход в далёком будущем? У Теслы ушло почти 20 лет, пока она наконец вышла в плюс. На каждую Теслу есть куча компаний, у кого выйти в плюс так никогда и не удалось: тот же Убер, например. Я гарантирую, что Убер никогда в плюс не выйдет.

Именно поэтому следует обращать внимание на технические данные. P/e, который я упомянул ранее, - price to earnings, самая базовая характеристика, которая позволяет посмотреть на цену акции к чистой прибыли компании. Задача любой компании - максимизировать свой чистый доход, просто у growth акций стратегия заключается в работе в убыток несколько лет, чтобы потом резко выстрелить по доходу, если повезёт. Но если выстрелить не удастся, то грош цена такой акции. Вот у той же Теслы p/e 300, т.е. стоимость её акции раз в 300 превышает её чистый доход. У моей платиновой компании p/e был всего лишь в районе 6. Даже если Тесла удвоит продажу своих машин за один год, она всё равно будет торговаться выше p/e 100, это какие-то космические величины, которые крайне опасны для инвесторов. Это и называется пузырь, когда стоимость акции не подкреплена финансовыми данными компаниями. Если бы я предложил тебе перенестись обратно в 1999-ой год на моей машине времени и купить акций Майкрософт на весь твой депозит, ты бы согласился, правда? Кто же не знает Майкрософт, а тут такая золотая возможность вложиться в него аж в 90-х! По факту, в конце 90-х образовался финансовый пузырь дот комов, когда люди стали маниакально скупать всё, связанное с интернетом и компьютерами, и стоимость акций взлетела выше реальной стоимости компаний. Если бы ты купил акции Майкрософта по 50 долларов за штуку в декабре 1999-го, ты бы обжёгся так сильно, что тебе пришлось бы ждать аж до 2015-го, просто чтобы выйти в ноль. И это ещё без учёта инфляции, 50 долларов в 99-ом будут ценнее 50-ти долларов в 2015-ом!
Аноним 07/03/22 Пнд 19:16:26 587219 153
>>587218
>Пузырь можно определить по соотношению продаж и прочих финансовых данных к стоимости акций компании
Аноним 12/03/22 Суб 05:27:56 588014 154
image.png 364Кб, 2208x1172
2208x1172
image.png 569Кб, 1399x799
1399x799
image.png 130Кб, 1334x996
1334x996
Неделя 34: -$3k фонды, крипта 0 ($24k). Продолжаем воевать.

>>587218
Вынужден согласиться в целом. Я принимал решения исходя из наивных рассуждений и показателей роста предыдущих лет. Уже можно сказать, что затея оказалась провальной, и я потерял на этом деньги. Мало шансов что к лету (год с начала инвестирования) выйду в 0.

Хотя я не думаю, что р/е анализ сейчас валиден. От Теслы ждут что в переломный момент полной перестройки на электромобили, который наступит довольно скоро, она в значительной степени захватит рынок. Т.е. не удвоит продажи, а сделает х100.
Среди электромобилей есть Тесла, и есть все остальное - и все хотят Теслу. На б/у Теслы даже почти нет скидок по сравнению с новыми. Это Apple в мире автомобилей.
Другое дело, что это все может не оправдаться, и остальные производители подтянутся. Ну Apple захватил рынки телефонов и лэптопов, а также создал и держит рынок планшетов. Как аналогия.

Ну а MSFT это таки хороший, годный сток. Просто терпением надо запастись, лол.
Инвестор !!Y8IjmDPN0c # OP 19/03/22 Суб 00:25:27 589659 155
image.png 392Кб, 2246x1180
2246x1180
image.png 554Кб, 1399x799
1399x799
Месяц 8: +$2k фонды, +$1k крипта ($27k). Неделя в большом плюсе.

На этой неделе Федеральный Резерв анонсировал таки повышение ставки, от одного упоминания о котором в течение последнего полугодия рынки неистово шатало. Видимо, само повышение оказалось не так страшно, как его ожидание.
Инвестор !!Y8IjmDPN0c # OP 26/03/22 Суб 04:13:37 591218 156
image.png 366Кб, 2220x1182
2220x1182
image.png 581Кб, 1399x799
1399x799
Неделя 36: фонды 0, +$1k крипта ($28k). Хотя индексы подросли, мои фонды не выросли. Ну ладно хоть не упали.
Инвестор !!Y8IjmDPN0c 02/04/22 Суб 05:35:42 592707 157
image.png 383Кб, 2218x1180
2218x1180
image.png 580Кб, 1399x799
1399x799
Неделя 37: +$1k фонды, +$3k крипта ($31k). Война, видимо, отыграна на данный момент.
Инвестор !!Y8IjmDPN0c # OP 10/04/22 Вск 22:06:07 595098 158
image.png 342Кб, 2188x1172
2188x1172
image.png 570Кб, 1399x799
1399x799
Неделя 38: -$4k фонды, -$2k крипта. Пошатывает опять из-за ставки.
Аноним 10/04/22 Вск 22:07:28 595100 159
оп расскажи про банки и крипту
твое мнение про россию
вполне интересный твой тред
Аноним 10/04/22 Вск 22:08:08 595101 160
буду читать вот так спасибо тебе пиши будь здоров там
Аноним 10/04/22 Вск 22:08:44 595102 161
бампану тред снова тут оп ответил под постами сам
Аноним 10/04/22 Вск 22:09:13 595103 162
бампану тред снова тут оп ответил под постами сам туда пиши больше вчвыцв цуйв в цуйвув
Аноним 10/04/22 Вск 22:09:29 595104 163
бампану тред снова тут оп ответил под постами сам туда пиши больше вчвыцв цуйв выа аыв а цуйвув ыа ыва
Инвестор !! 20/10/23 Птн 20:24:32 716898 164
Продал все фонды с общим убытком $23k. Добавил еще и купил дом за $350к, сдаю его за $2300 в месяц. Еще купил бондов под 6% годовых на $40k. Не знаю куда еще деваться с такой инфляцией и рыночком.
Смотрю на свой пенсионный фонд - а они умудрились не потерять деньги на том же периоде, где я 15% просрал. В 0 примерно сыграли. Все-таки у меня очень рискованная стратегия была, очевидно. Плюс регулярные докупки, видимо, рулят. Там каждый месяц пополняется из зепки.

Если я опять буду заходить, буду брать самые обычные фонды, вроде с&п500 или пенсионные те же, и заливать каждый месяц. Но это вряд ли скоро будет.

Крипта +- на месте с последнего апдейта.
Инвестор !!ed2uM7taLquCNqEb 20/10/23 Птн 20:27:04 716902 165
Старый трип протух, похоже. Это будет новый.
Инвестор !!ed2uM7taLquCNqEb 25/11/23 Суб 03:17:08 720286 166
image.png 211Кб, 1372x1236
1372x1236
image.png 141Кб, 1364x852
1364x852
Подсчитал запасы крипты, $21к. Теперь буду включать в капитал инвестиционный домик. Получается в общей сложности 41% от цели.

Вспомнил одну рекомендацию из треда:
>>587102
Прямо скажем прогноз получился неудачный. Ровно в те дни сток был на максимуме и потерял 3/4 цены с тех пор. А вот информационные стоки как раз уже обновили максимумы, и индекс QQQ возвращается к ковидным уровням.
Зелёный !!utyCFZtvW8JHDr0P 14/12/23 Чтв 07:53:22 722206 167
Заработай у меня 50 €.
Аноним 14/12/23 Чтв 10:36:54 722212 168
>>722210
отсоси потом проси
Аноним 15/12/23 Птн 02:40:31 722284 169
image.png 32Кб, 1900x328
1900x328
image.png 283Кб, 3000x1690
3000x1690
Положил еще 40к на high yield savings account под 5%. Инфляция снижается и рейты вероятно будут падать в 2024, так что долго этот праздник не продлится, ну хоть что-то.
45% от цели.

>>722210
Работаю около-кодерком, образование хорошее. Возраст солидный.
Чем располагаю я в общих чертах здесь и расписываю (чисто финансово). Свое жилье есть и я его не считаю частью капитала.
Дневник может быть интересен как долгосрочный путь инвестирования. Начал я неудачно и сделал несколько критических ошибок и плохих роллов. Но тем не менее потеряно было не так уж много если смотреть в целом. Поскольку я продолжаю зарабатывать деньжата копятся.
>ты купил хату за 30 ляма и сдаёшь её за 200к в мес?
Если в дереве считать то сейчас примерно так.
Аноним 15/12/23 Птн 06:15:25 722299 170
Аноним 15/12/23 Птн 13:38:45 722332 171
Вот я все мечтаю денег заработать, но пока что 19 лвл бездарь без образования, даже не знаю с чего начать, боюсь ещё что нищеработки засосут и я в них останусь ижизнь просру. Оп, ты как начал деньги зарабатывать?
Инвестор !!ed2uM7taLquCNqEb 15/12/23 Птн 17:41:00 722354 172
>>722332
Получить образование это лучшее что ты можешь сейчас сделать. Я никогда не работал не по специальности. Начал зарабатывать, устроившись на работу программистом, после универа.
Это хорошо что ты задумываешься на эту тему, мысль верная. Встать на путь днаря легко. Общество тебя к этому подталкивает. Может выглядеть странным желание учиться годами, когда вон перемещаясь из точки А в точку Б можно получать те же деньги на старте. Это обманчивое впечатление, конечно.
Образование это такая же инвестиция которая почти наверняка даст выигрыш по многим параметрам.
Аноним 16/12/23 Суб 10:16:18 722431 173
>>722354
Да у меня прост с детства непрекращающееся нытье было, мусор в голове, глаза в парту, прокрастинации, ты понял короч. Когда опомнился уже школу просрал, поступил куда смог, не вышка очевидно, так как и в армию не хочу. В итоге по ощущениям пока идёт абы как, что с этим делать я пока не знаю. Чем-то пытаюсь интересоваться но без энтузиазма и желания. И я подумал что у вас там помимо стимула есть какие-то пути которые всегда приводят к какому-то успеху, что есть лишние деньги на инвестиции. Хочу больше, а напрягаться поменьше
Инвестор !!ed2uM7taLquCNqEb 05/01/24 Птн 21:06:48 724901 174
image.png 21Кб, 1890x174
1890x174
image.png 134Кб, 1372x842
1372x842
Еще 10к положил на сейвингс. 46% от цели.
S&P500 обновил максимум. Рецессия, вероятно, отменяется. Наверное, если рейты будут снижать, буду заходить обратно в рынок.
Инвестор !!ed2uM7taLquCNqEb 09/02/24 Птн 03:03:38 728731 175
image.png 31Кб, 1872x274
1872x274
image.png 41Кб, 828x344
828x344
И еще +10к. Также купил немного стоков в надежде сыграть на новостях (пока минус), и QQQ на остатки. Около 4к в сумме.
47%
Аноним 09/02/24 Птн 11:28:08 728752 176
>>728731
Ты за 2,5 года накопил 500 тысяч баксов? Ты там ебанутый чи шо?Сколько ты зарабатываешь вообще?
Инвестор !!ed2uM7taLquCNqEb 09/02/24 Птн 16:39:48 728767 177
>>728752
Я далеко не с нуля начал тред. Здесь я учитываю только деньги которые так или иначе должны (могут) приумножаться. В начале треда на беспроцентном счету мертвым грузом уже лежали значительные накопления.
Плюс за эти годы были вливания от других людей.
Ну и зарабатываю я неплохо, да.
Инвестор !!ed2uM7taLquCNqEb 09/03/24 Суб 03:05:01 732598 178
image.png 142Кб, 2124x556
2124x556
image.png 31Кб, 1886x284
1886x284
image.png 288Кб, 620x463
620x463
В крипте 40к, стоки немного подросли, итого подсчитав все, я достиг:

🎉🎉🎉
5️⃣0️⃣% от цели!
🎉🎉🎉

Праздную сегодня. Половина пути пройдена.

От самих инвестиций пока что толку не много. Сколько-то потерял, примерно столько же получил. Надеюсь что приобрел хотя бы опыт, который поможет в дальнейшем.
yumi !1GkE/KTbhU 09/03/24 Суб 03:11:03 732599 179
Инвестор !!ed2uM7taLquCNqEb 19/06/24 Срд 17:46:04 748150 180
image.png 53Кб, 826x420
826x420
image.png 22Кб, 1894x188
1894x188
Продал MDGL с профитом $1K. Купил S&P500, еще положил 5к в брокера и 30к на сберкнижку.
Готовлюсь перекладывать деньги в рынок когда рейты будут снижать. На этот раз, конечно, буду осторожнее в выборе.

54% от цели.
Аноним 20/06/24 Чтв 16:04:52 748267 181
Оп, ты говорил, что хорошо зарабатываешь. Как? Наемным сотрудником на зарплате или на проценте, работягой, продаваном или манагером над людьми, или ты предприниматель? Можно ли НОРМАЛЬНО зарабатывать самостоятельно, не надеясь на подчинённых или коллег-совладельцев?

Ты хвалил образование. Что ты имел ввиду? Ширину или глубину знаний? Социальные связи? Диплом топового универа? Возможность засветится перед рекрутерами компаний, которые хантят самородков до их выпуска из универа?

Были ли у тебя в группе старые деды 30+, которые учились фуллтайм не по своей профессии? Что с ними стало?
Инвестор !!ed2uM7taLquCNqEb 20/06/24 Чтв 16:51:28 748271 182
>>748267
Наемным работником, не менеджером. Прям вот самостоятельно зарабатывать хорошие деньги трудно. Мелкий бизнес это как правило копейки и нестабильность. Тут нужно иметь опыт, какую-то интуицию. Не моя ветка развития.

Я начинал именно с образования. Учился в топовом универе РФ. Оно дает несколько вещей одновременно:
- Круг общения. Когда ты видишь вокруг людей с амбициями, гордостью (в хорошем смысле, заслуженной). Вырабатываешь коллективно мировоззрение, ориентированное на развитие, исследования.
- Бренд вуза, если он есть, это хороший буст карьеры. Если ты можешь пройти в лигу Плюща, это окупит любой кредит который ты возьмешь на это. Хотя сам факт того что ты можешь туда пройти уже означает что ты будешь успешен если захочешь, но корка такого вуза это понятный любому знак качества на всю жизнь. Как дворянский титул раньше.
- Знания. Без вуза ты не выучишься на столь же фундаментальном уровне. Есть куски знаний которые ты можешь оценить лишь достигнув достаточно высокого уровня понимания. До этого ты должен просто довериться дидам и учить что они требуют.

Не припомню 30+ студентов в группе. В целом на потоке они точно были, но мало.
В 30+ конечно поздновато начинать, но если ты все еще можешь осилить, то имеет смысл. Главное идти в топовый вуз, потому что во втором тире уже эти преимущества выше менее ценны.
Аноним 20/06/24 Чтв 19:37:46 748295 183
16114798405861.jpg 35Кб, 651x513
651x513
>>748267
Анальник он.
Забугорный.
Родился в бохатой семье, получил успешество по наследству, кончил шарагу для илитариев, уехал в швятые страны.
Получает обычные для забугорья деньги в далларах.
Но здесь они превращаются в шальные сатышки в рублиях.
Что даёт ему чувство ниебацо специалиста, дельца и инвестора на фоне нищих расеянцев 30к средний класс.
Весь его дневник - это классическое удерживание какашечки-зарплаты по Степанцовой, т.е. банальное накопительство с зарплаты.
Все его инвестиции - это выхлоп в 0.
Аноним 20/06/24 Чтв 20:17:29 748297 184
>>748295
Зачем ты обесцениваешь любые достижения, человек с пепе? Еще и придумываешь то, чего в дневнике не было
Аноним 20/06/24 Чтв 20:27:45 748298 185
>>748297
Зачем ты спрашиваешь, зачем он обесценивает любые достижения, анон? Ясно же, что он завистливый дурак.
Аноним 20/06/24 Чтв 21:29:35 748305 186
1464728204806.png 184Кб, 2000x1604
2000x1604
>>748297
Кто обесценивает?
Что обесценивает?
Что за грязные выпады в мой адресс???
Я нигде не говорил, что он плохой анальник.
Молодец, выучился на анальника, успел вкайтишится, когда это ещё не было мейнстримом, в забугорье вон перебрался.
Но как инвестор он какой-то дурачок объективно.
Все его успешные инвестиции были на чистом рандоме скакания битка.
Я уверен, что если бы он не занимался этой хуйнёй инвестиционной, то он бы уже давно на голой зарплатке свой милён скопил бы.
С тем же успехом мог играться в покерок или там на ставках и мнить себя экспертом в азартном деле.
Ну бесится дитё взрослое, ну играется в волка с Вал Стрит, хуй бы с ним.
Но вот этот вот гонор «Я - ИНВЕСТОР - А ВЫ ЗАВИСТЛИВЫЕ ПИДАРЫ И РАХИ!», вот це пиздец мерзкая хуета.
Аноним 20/06/24 Чтв 22:06:23 748306 187
>>748305
Так оп вроде и не выебывался не выражал презрение к менее обеспеченным нигде
Инвестор !!ed2uM7taLquCNqEb 21/06/24 Птн 20:25:47 748401 188
image.png 129Кб, 1388x890
1388x890
image.png 256Кб, 3264x888
3264x888
image.png 119Кб, 1344x910
1344x910
В одном лягушенция права: доходов от инвестиций у меня пока не много.
Если просто копить деньги на счету, не покрывающем инфляцию, то с какой-то суммы ты перестанешь прибавлять капитал. Все новые накопления буду равны потерям от инфляции. И порог этот не так уже велик, особенно сейчас при повышенной инфляции. Успешное инвестирование это необходимая часть увеличения капитала.
Хотя я и не дошел еще до той стадии, и вливания из ЗП все еще больше потерь от инфляции, но уже ощущаю эту необходимость учиться упрявлять своим капиталом. Об этом и тред.

Не удивительно что у меня не особо хорошо получается пока - опыта нет. Задним умом понятно, что надо было моментально выходить из рынка (уж точно из моих growth фондов и бондов) как только начали повышать рейты. Но я проспал момент, потому что не было понимания этих рыночных азов.
Еще дальше в прошлое, как только стала видна инфляция - очевидно было какие будут дальнейшие шаги и их последствия (повышение рейтов -> падение стоков ориентированных на рост), уже надо было продавать.
И даже еще дальше, когда ацкие миллиарды раздавали просто так в ковид (львиную долю которых разворовали), уже было очевидно (тем кто подальновиднее), что это приведет к инфляции со всеми вытекающими.

На все это наложилась война, которую тоже предсказывали еще за несколько месяцев до начала.

Какие выводы я сделал?
Фонды с бондами это лохотрон. При падении рынка они бодро рушились наперегонки со стоками, а при росте они растут еле-еле. Вместо них нужно покупать сами бонды, причем такие которые можно сдать обратно по номиналу (а не рыночные которые болтаются). Например I series которые я купил.

Недвижимость как средство от инфляции. Быть в рынке ренты на стороне лендлорда. Некий неубиваемый базис. пик2 - что происходило с рентой пока все остальное падало. Вот работающая диверсификация! Фонды по недвихимости, кстати, падали вместе со всеми (пик3).

Слишком специализированные фонды это большой риск. Зависят от настроения инвесторов. Лучше покупать с&п500 который все это усредняет.
Инвестор !!ed2uM7taLquCNqEb 21/06/24 Птн 20:29:17 748402 189
Более глобальный теоретический вывод: если есть возможность, вместо фондов по теме надо покупать саму "тему". Потому что фонды всегда накладывают свой дополнительный рыночный риск, не давая ничего взамен кроме удобства.
Примеры: покупать крипту и держать на своем кошельке вместо bitcoin ETF.
Покупать бонды на свое имя вместо bonds ETF.
Покупать недвижимость и сдавать вместо real estate ETF.
Инвестор !!ed2uM7taLquCNqEb 10/09/24 Втр 17:54:48 755880 190
image.png 55Кб, 834x448
834x448
Увеличил долю с&п500 до 20% примерно, в ожидании снижения рейтов в этом месяце. Остальной кэш на сберкнижке под 5%.
58% от цели.

В этом месяце должно начаться снижение рейтов, значит мой сейвингс аккаунт тоже не будет давать такой же высокий процент. Придется оттуда выводить деньги постепенно. Но куда?
Рыночек болтается туда-сюда.
Инвестор !!ed2uM7taLquCNqEb 18/09/24 Срд 21:05:03 756849 191
image.png 549Кб, 3360x1820
3360x1820
image.png 174Кб, 1382x1614
1382x1614
Когда-то я постил здесь про свои попытки изучения квантовой физики через книжку The Road To Reality. Я ее не осилил, очень уж тяжело написано. Много математики, идущей довольно глубоко. Голова пухнет от такого.

Но идея познавать мир меня все еще не оставила, и я подумал: а зачем идти таким сложным путем? Сделаю как все. И взял обычный учебник для первокуров, Griffiths & Schroeter - Introduction to Quantum Mechanics. Прохожу его просто как все, делаю все упражнения. И нормально идет, все понятно. Пока на второй главе.

Считать интегралы руками я быстро утомился, и делаю все в sympy.
Еще смотрю параллельно эту серию лекций: https://www.youtube.com/watch?v=lZ3bPUKo5zc
Аноним 20/09/24 Птн 14:29:14 757096 192
>>756849
Рекомендую попробовать Wolfram Mathematica для такого.
Инвестор !!ed2uM7taLquCNqEb 20/09/24 Птн 22:02:04 757210 193
>>757096
Да, подумываю уже на работе купить лицензию. В симпи уж очень много проблем.
С другой стороны мне питон роднее и я там все знаю. Плюс хочется пользоваться оупенсорсным софтом по возможности.
Инвестор !!ed2uM7taLquCNqEb 04/10/24 Птн 17:03:21 758980 194
image.png 80Кб, 2220x206
2220x206
Продал на 10к бондов, купленных во времена инфляции (сейчас у них примерно 3.5% в год), и купил индексов. Процент по сейвингс аккаунту снизился до 4.6, ожидаемо. Начинаю перебалансировать портфель в сторону рынка. Сейчас по деньгам примерно 2:1 сейвингс:рынок.

59% от цели.
Инвестор !!ed2uM7taLquCNqEb 15/11/24 Птн 00:48:19 765960 195
image.png 56Кб, 824x444
824x444
Еще на 5к купил с&п 500. Трамповское ралли неплохо бустануло фонды и крипту.
61% от цели.
Инвестор !!ed2uM7taLquCNqEb 26/11/24 Втр 17:08:19 767591 196
image.png 547Кб, 3352x1740
3352x1740
image.png 290Кб, 1484x1544
1484x1544
image.png 125Кб, 1478x1074
1478x1074
image.png 201Кб, 1700x1538
1700x1538
Доделал вторую главу Гриффитса. Довольно-таки сложно для меня, надо признать. Теория головоломная.
Научился более-менее справляться с симпи. Уже знаю примерно где он сможет, где нет. Но иногда он ниасиливает и приходится что-то делать в вольфрам альфа. Aнализ размерности там хорошо делается. Только трудно ему объяснить что нужно, приходится через чатгпт запрос строить.
Аноним 26/11/24 Втр 17:22:15 767596 197
По итогу единственная нормальная инвестиция - это покупка дома, а доход у ОПа не от инвестиций, а от РАБотки? Стоило ли ради такого щёки надувать?
Аноним 15/12/24 Вск 20:23:33 768878 198
image.png 139Кб, 2130x556
2130x556
image.png 1564Кб, 1140x760
1140x760
Перебросил свои бонды на рынок, купив с&п 500 и qqq. Крипта подросла. Поздравляю всех криптобаронов с битком по 100к! Следующая остановка - миллион. Может быть быстрее и проще дойти до миллиона просто купив 1 биткоин?

62% от цели.
Аноним 16/12/24 Пнд 08:06:17 768891 199
Какие выводы можно сделать из треда? Нужно зарабатывать столько, чтоб откладывалось на пенсию и чтоб все это во много раз превышало инфляцию, как в случае с опом, который по видимому сидит в пендосии. Ну и бонусом, в свободное время можно туда сюда перекидывать волюту, смотреть на графики, делая вид, что занимаешься чем то полезным и умным. Но последний пункт можно и исключить
Инвестор !!ed2uM7taLquCNqEb 16/12/24 Пнд 16:15:53 768908 200
>>768891
Начиная с какой-то суммы капитала все будет съедать инфляция. Возьмем 3% - тогда если у тебя 1М на счету, за год сгорает 30К. Значит, откладывая 30К в год чистыми, ты работаешь вхолостую, просто компенсируя инфляцию. Чтобы перешагнуть этот рубеж и продолжать накопления, необходимо инвестировать.
Хотя прямо сейчас сейвингс дает процент больше официальной инфляции, но это не надолго.
Инвестор !!ed2uM7taLquCNqEb 06/02/25 Чтв 21:57:23 775332 201
image.png 56Кб, 956x600
956x600
С Новым Годом!

Сделал переоценку инвест домика: взял онлайн оценку рыночной стоимости минус 10к на затраты по продаже. Докупил по мелочи.

Подсчитал доходы от инвестиций за 2к24. Получилось около 60к в сумме, что составляет почти 10%. Значительная часть из этого это выросший биток, т.е. форма казино. Без учета битка около 6% доходность была.

64% от цели.
Аноним 25/03/25 Втр 03:48:02 781983 202
Инвестор !!ed2uM7taLquCNqEb 08/07/25 Втр 23:05:59 802165 203
image.png 147Кб, 2236x556
2236x556
Полугодовой апдейт.
Пополняю брокерский счет понемногу. Покупаю QQQ и S&P500 в соотношении примерно 1:5.
Добавил и на сбер. счет немного. Там 3.6% годовых сейчас.

68% от цели.

Полюбуйтесь-ка, 2/3 пути пройдено. Уже и финиш чувствуется не далеко за горизонтом.
Аноним 09/07/25 Срд 11:34:03 802195 204
>>768891
Да, у меня так и было. Когда ЗП была 60-80к- я смотрел на графики, просчитывал варианты, гонял валюты туда-сюда, и всё как-то не удавалось, то курс не угадаю, то комиссию не учту... А когда доходы выросли с 60-80 до 400 внезапно накопления бодро пошли, всё стало получаться, даже на графики смотреть перестал.
Инвестор !!ed2uM7taLquCNqEb 09/07/25 Срд 22:16:28 802273 205
>>802195
А я не перестал. Каждую неделю уже не делаю расчеты как раньше, но все же стратегию фин. менеджмента продумываю и следую ей.

Когда у тебя откладывается только карманная мелочь, то в инвестициях смысла нет. То, чем занимаются двачерские инвесторы в /биз и подобных местах, это трейдинг, на их уровне это просто азартная игра.
Инвестиции же это постоянная игра с целью выигрывать стабильно на долгой дистанции, когда у тебя уже есть капитал и его надо сохранить. Для этого не нужно мониторить минутные свечи.
Инвестор !!ed2uM7taLquCNqEb 12/09/25 Птн 04:50:32 815494 206
image.png 165Кб, 2176x622
2176x622
image.png 465Кб, 680x453
680x453
Неплохо так все растет, как на дрожжах. Аж некомфортно немного, коррекция ощущается в будущем.
Под это подумывал над расширением своего портфеля недвижимости. Смотрел в сторону квартирки у моря, которую можно было бы сдавать и самому там жить в отпуске. Я частенько бываю на море летом, но обычно это поездка на день. А со своей-то квартиркой можно было бы хоть каждые выходные чилить.
Передумал пока что. Сейчас больше половины портфеля в недвиге, если еще больше делать совсем уже будет перекос.
На сбер. счете процент упал до 3.5%. Буду, наверное, обратно в бонды переползать постепенно. Хотя смысла большого сейчас нет, но скорее всего фед. резерв снизит основной процент, а за ним сейвингс упадет еще дальше.

71% от цели. Вот уже и пункт назначения виден на горизонте. Еще как минимум 2 года до миллиона, но видно что это вполне достижимо.
Инвестор !!ed2uM7taLquCNqEb 20/09/25 Суб 04:32:22 816821 207
image.png 198Кб, 2336x882
2336x882
image.png 344Кб, 962x1498
962x1498
image.png 539Кб, 586x878
586x878
Тем временем я пытался прорабатывать Гриффица, но сдулся на моменте когда понял что совершенно не понимаю что он подразумевает под моментом. У меня и по классической механике не было достаточной базы, по лагранжианам и гамильтонианам. Взял для обзора маленькую книжку Сасскинда Теоретический Минимум Классической Механики. Нормально осилил, совсем не сложно. Смотрю его же лекции на ютубе по этому курсу.
Перед второй попыткой осилить Гриффица попробую КМ Сасскинда, такого же формата маленькую книжку. Может там попроще будет как-то.

КМ оказалась головоломной теорией. Понять все в деталях это прям серьезный вызов для меня.
Инвестор !!ed2uM7taLquCNqEb 16/10/25 Чтв 05:26:22 820566 208
image.png 57Кб, 844x836
844x836
image.png 139Кб, 1378x936
1378x936
image.png 137Кб, 1344x956
1344x956
Забросил 40к обратно в I Series бонды (🧾). Они сейчас дают 4%, что уже перевешивает сейвингс аккаунт (3.2%).
Посмотрел на общую картину - довольно-таки консервативный портфель. Фонды+крипта 28% - это моя позиция на рынке. Довольно далеко от 40/60 стратегии, с которой я начинал. Посмотрим как пойдет.
Хотя опять какая-то игра началась с тарифами, коррекции толком не было еще.

Золото еще смотрю. Неудобно его покупать/продавать, но график выглядит хорошо.
Инвестор !!ed2uM7taLquCNqEb 29/10/25 Срд 07:32:40 822877 209
image.png 103Кб, 938x834
938x834
image.png 266Кб, 1336x1736
1336x1736
image.png 218Кб, 1054x1576
1054x1576
>>816821
Прошел половину этой книжки + его же видео лекции. Она гораздо проще Гриффица, упражнения элементарные по сравнению с ним. И гораздо легче вникать в то что он объясняет, потому что он начал с абстрактной дискретной системы (со спина). И там конкретная реализация теории очень простая, раз-раз все на 2х2 матрицах посчитали.
Гриффиц же заходит с теории движения частицы, и у него прям с порога на тебе дифуры в частных производных. И все, там интеграл на интеграле, на любой чих надо интеграл считать. И за этим суть забываешь, пока все это посчитаешь, сама цель и причина этих расчетов теряется в дебрях. Трудно следить за мыслью.
У Сасскинда этот спин менее интуитивно понятный - что такое этот ваш спин, откуда он взялся, но по крайней мере связанные с ним расчеты простые. И потом остается сделать прыжок, сказав что частица ведет себя так же как и спин, только бесконечномерный. Скалярное произведение векторов будет интегралом произведения волновых функций. Позиция и момент это просто два разных оператора со своими базисами. И т.д.
Аноним 29/10/25 Срд 18:36:07 823003 210
Оп, представь, что пузырь на рынке акций наконец-то лопнул и потащил за собой все остальное. Ты сильно расстроишься или переживешь на похуй? То есть каково твоё фундаментальное отношение к материальному?
Инвестор !!ed2uM7taLquCNqEb 30/10/25 Чтв 01:16:43 823103 211
>>823003
Будет неприятно, конечно. У меня в акциях 21%, в крипте которая тоже рухнет скорее всего еще 7%, т.е. возьмем 28%. Если просядет вдвое, что вполне реально, потеряю 14%. Не смертельно, изводиться прям я не буду, но это примерно с год моих накоплений.
Иногда я вижу в интернете как люди (утверждают что) ставят большие деньги на рандомные исходы, например нелепые опционы каких-то стоков. В r/wallstreetbets такое бывает. Мне честно говоря трудно понять это и поверить что это на самом деле. Даже будь у меня было 10 миллионов, никогда я бы не поставил на красное 500к, например. Рисковать большими деньгами я не люблю.
Можно сказать что материальное ($$$) для меня довольно-таки важно. Дык я из нищуков изначально, так что какбэ не удивительно.
Аноним 30/10/25 Чтв 01:50:06 823104 212
>>823103
>Мне честно говоря трудно понять это и поверить что это на самом деле. Даже будь у меня было 10 миллионов, никогда я бы не поставил на красное 500к, например
Так они эти опционы покупают именно потому, что этих миллионов у них нет в большинстве своем
Аноним 30/10/25 Чтв 08:44:26 823116 213
>>823103
Спасибо за ответ.
Если бы я потерял 20%, я бы весь извёлся нахуй, впал в депрессию и охуел по полной. Во время старта ковида и в начале 22 года деньги жгли ляжку закупиться на лоях на всю котлету (25к usd). Но вот эта мысль о возможном проёбе не дала это сделать. Помню, в школе играли в карты на деньги и я проебал порядочную сумму, имея на руках отличные карты. Играл против чела, который любил блефануть. В банке было дохуя, все отвалились остались мы вдвоём, у меня отличная карта, но у него оказалось ещё лучше. С тех пор ни разу не играл в азартные игры, это сработало как прививка на всю жизнь.
Инвестор !!ed2uM7taLquCNqEb 30/10/25 Чтв 17:29:34 823180 214
image.png 107Кб, 1354x792
1354x792
image.png 171Кб, 640x558
640x558
image.png 272Кб, 640x564
640x564
image.png 32Кб, 320x136
320x136
>>823116
Мдауш, я это прекрасно понимаю. Как раз около 22 года я продал все фонды с потерями и купил домик на все. Хотя и пересидел основную просадку, но потерял в целом 10-15% тогда. И хотелось положить куда-то чтобы не испарилось, интуитивно недвижимость самый надежный вклад. Плюс из-за неопытности у меня портфель был оче плох тогда, например пик1 был куплен на самом пике, -75% и он так и не восстановился. С тех пор я только с&п500 и qqq держу.
Еще меня тогда напрягла история anddddd it's gone с биржей иностранных акций в РФ. Я не в РФ, но это показательно что казавшиеся незыблемыми правила могут быть в момент изменены и внезапно тебе все твои вклады простят, потому что, ну так надо. Поэтому я крипту еще держу (на своем кошельке конечно), хотя она мега рискованная.
Инвестор !!ed2uM7taLquCNqEb 06/11/25 Чтв 08:16:42 824363 215
image.png 59Кб, 804x812
804x812
image.png 214Кб, 1642x1228
1642x1228
image.png 274Кб, 463x570
463x570
image.png 1182Кб, 900x895
900x895
На Уолл-Стрит все в порядке. Некоторые дерганья по ИИ стокам, которые сейчас почти весь рынок.
Инвестор !!ed2uM7taLquCNqEb 22/11/25 Суб 10:05:08 827115 216
image.png 401Кб, 1016x1552
1016x1552
image.png 1283Кб, 2550x1434
2550x1434
Дочитал и досмотрел КМ Сасскинда. В конце немного скомканное изложение, как мне показалось, но все равно хороший обзор. Теперь попробую сделать второй заход на Гриффица. По крайней мере основные вопросы по моменту я прояснил. Может и все остальное будет понятнее.
Аноним 22/11/25 Суб 14:35:28 827134 217
>>823180
>Как раз около 22 года я продал все фонды с потерями и купил домик на все.
Ты же в аренду его сдаешь? Это жилое помещение или нежилое? Какие налоги берут с рентного дохода в пиндостане? Как всё это устроено?
Инвестор !!ed2uM7taLquCNqEb 22/11/25 Суб 19:45:03 827167 218
>>827134
Сдаю, жилое - обычный домик. Налоги обычные с дохода. Очень запутанная система. Можешь ориентироваться на 20-25% примерно, но там куча всяких вычетов еще, сильно зависит от ситуации. Оформляется это как бизнес, еще за его существование копейки какие-то плачу.
Аноним 23/11/25 Вск 09:02:43 827216 219
>>827167
То есть ты заполняешь декларацию и платишь НДФЛ в пределах 20-25%. А если бы владел не домом, а помещением, которое бы арендовали под магазин. Налоги были бы такие же? Налоги на владение недвижимым имуществом, налог на землю есть такое в штатах? Размер этих налогов зависит от того как используется это имущество?
Аренду дома ты оформил как бизнес. А при найме на работу, или твой основной работадатель, задают вопросы про это? Компонент там какой-нибудь? Конфликт интересов?
Аноним 23/11/25 Вск 09:04:47 827217 220
>>827216
Комплаенс какой-нибудь. Быстро фикс.
Инвестор !!ed2uM7taLquCNqEb 23/11/25 Вск 18:08:36 827253 221
>>827216
Про коммерческую недвижимость не в курсе. Никогда не занимался.
Налоги на землю есть, и довольно большие. За этот домик я плачу примерно $7000 в год. Налог считается по оценке стоимости этой недвижимости (tax assessment).
Работодателю подобный бизнес не интересен. Конечно есть моменты когда надо подписывать бумаги про конфликт интересов, в т.ч. отчитываться по своим вложениям (если я держу акции конкурентов и тому подобное). Этот домик не считается чем-то что нужно репортить.
Инвестор !!ed2uM7taLquCNqEb 06/12/25 Суб 07:30:00 829726 222
image.png 217Кб, 1222x1532
1222x1532
image.png 274Кб, 2526x1652
2526x1652
image.png 251Кб, 1918x1534
1918x1534
Купил Гриффица в бумаге, чтобы было приятнее его работать над ним. Перепрошел первую главу довольно быстро.
Узнал, что Вольфрам Математикой можно пользоваться бесплатно. Есть wolfram engine с бесплатной лицензией, и плагин для вскода который ноутбуки может делать. Теперь все делаю на нем вместо симпи. Там же всевозможные копайлоты и кодексы работают, что очень помогает, т.к. Математику я плохо знаю. Но в ней вроде полегче чем в симпи такие вычисления, которые мне нужны в ходе обучения по этой книге.
Это не совсем то же самое что десктопное приложение, которое платное. Но отличия не критичные для меня, в основном касаются интерфейса. Если кому-то надо такое, рекомендую попробовать.
Инвестор !!ed2uM7taLquCNqEb 03/01/26 Суб 00:56:57 834693 223
image.png 55Кб, 796x782
796x782
Сделал новогоднюю переоценку домика, он нехило так поднялся в цене, так что пожалуй перекрыл все остальные инвестдоходы за 2025 (которые по другим активам были слабенькие).
+170к за 2025, это инвест доходы + мои сбережения. Подсчитать чисто инвестдоход трудно, т.к. я не вел учет сбережений. В этом году буду вести более подробную бухгалтерию. По ощущениям инвестдоходы в 2025 почти сравнялись с моими сбережениями. Домик, конечно, вытянул.
Да, еще снял кэша 30к в декабре чтобы купить новую машину.

Я уже практически на пороге достижения поставленной в оппосте цели.
Аноним 03/01/26 Суб 01:07:49 834695 224
>>834693
>Сделал новогоднюю переоценку домика, он нехило так поднялся в цене
Сколько стоил на момент покупки, и в каком году? Сколько сейчас стоит? Как налог на недвижку измениться при этом?
Аноним 03/01/26 Суб 01:21:44 834698 225
>>834693
Ещё вот что интересно. Какие условия по ипотеке сейчас на твой дом? Какой первый взнос, какой срок, платеж и процентная ставка?

Сдаёшь кому? В какой сфере он работает? Сколько ему лет? Женатый? Дети есть или нет? Уровень его доходов можешь оценить?
Инвестор !!ed2uM7taLquCNqEb 03/01/26 Суб 19:02:02 834842 226
>>834695
Купил в 2022 или 23 за 350к, что было относительно дешево для этого места. Сейчас он стоит (по оценке с вебсайта) 460к. Налог не пересчитывали, но при следующем пересчете увеличится пропорционально. Когда это будет я не знаю. Там не прозрачный принцип этих пересчетов.
>>834698
Я за кэш его купил. По ипотеке сейчас такой процент, что чтобы выйти в плюс сдавая надо быть каким-то гением лендлордского бизнеса. Я и так еле в плюсе по аренде - ремонтам.
Снимает семья черных, с детьми. Жена менеджер в каком-то мелком бизнесе, мужик бизнесмен вроде - толком не знаю. Уровень их доходов не знаю, но ренту платят. Знаю что они прям серьезно к церкви относятся, время идти в церковь для них святое. А с кредитным рейтингом у них было не очень.
Думаю если они съедут, то в следующий раз через контору-посредника буду сдавать. Меньше забот.
Аноним 03/01/26 Суб 22:44:29 834868 227
ОП, посоветуй материалы по теме инвестирования и финансовой математики.
Аноним 04/01/26 Вск 15:16:31 835028 228
>>834842
>По ипотеке сейчас такой процент, что чтобы выйти в плюс сдавая надо быть каким-то гением лендлордского бизнеса.
А какая сейчас ставка ипотечного кредита в штатах? Средняя по больнице?
Аноним 04/01/26 Вск 16:16:19 835048 229
>>835028
Средние ставки по ипотеке в США на начало 2026 года составляют около 6.20% для 30-летних фиксированных кредитов и 6.11% для начальных ставок по ARM (регулируемым, 5/1 ARM). Сроки — стандартно 30 лет для обоих типов, с 15-летними фиксированными на уровне 5.44% ���. Доля фиксированных ипотек доминирует — около 92%, ARM занимают лишь 8% рынка �.Фиксированные ставки (Fixed)Ставки фиксированы на весь срок, обеспечивая предсказуемость платежей.30-летняя: 6.15–6.31% (Freddie Mac и MBA на конец 2025) ��.15-летняя: 5.44% �.
Прогноз на 2026: 5.9–6.5% �.Регулируемые ставки (ARM/Floating)Начальная фиксированная часть (5/1 ARM: 5 лет фиксировано, затем ежегодно), ниже fixed для привлечения заёмщиков.Начальная ставка: ~6.11%, с потолками роста (caps) �.
Регулировка по индексу (SOFR + маржа ~2%)
Инвестор !!ed2uM7taLquCNqEb 04/01/26 Вск 19:44:06 835112 230
image.png 225Кб, 1584x1040
1584x1040
image.png 272Кб, 1216x1502
1216x1502
>>834868
Я систематически мало знаний получил, все больше обрывочно читая рандомные посты в интернете. Только давным-давно в универе был курс по бирже.
Из математики надо знать, ну школьную алгебру. Линал и матан не помешают (это всегда знать полезно), но их отсутствие не будет камнем преткновения.
По непосредственно инвестированию надо прежде всего знать как работают биржи, брокеры. Такие вещи как заявки, транзакции, бид/аск, как формируется цена, комиссии, торговые сессии, все это ты должен знать прежде чем туда соваться. Все это можно изучить читая соответствующие статьи на инвестопедии.
Дальше уже здравый смысл и опыт надо подключать. Понимать что ты покупаешь и с какой целью, знать риски с этим связанные. Разделять инвестирование (то чем я тут занимаюсь), трейдинг (пик1), гемблинг (пик2).
Инвестор !!ed2uM7taLquCNqEb 04/01/26 Вск 19:53:09 835113 231
image.png 158Кб, 2194x826
2194x826
>>835028
Около 6% вроде, как в посте выше. Было и по 7%. Вот калькуляция по моему домику, в ипотеку мне бы пришлось платить $2300 в месяц, что примерно равно ренте. Но еще нужно делать ремонты, платить страховку, налоги, короче это будет глубокий минус.
Если брать как свою основную резиденцию, то конечно это лучше чем снимать.
Аноним 05/01/26 Пнд 12:46:53 835235 232
Как ты вообще оказался в США?
Инвестор !!ed2uM7taLquCNqEb 05/01/26 Пнд 15:57:49 835283 233
Аноним 05/01/26 Пнд 16:55:29 835305 234
Аноним 05/01/26 Пнд 17:17:40 835307 235
Аноним 05/01/26 Пнд 18:51:35 835333 236
>>834842
>Снимает семья черных, с детьми. Жена менеджер в каком-то мелком бизнесе, мужик бизнесмен вроде - толком не знаю. Уровень их доходов не знаю, но ренту платят. Знаю что они прям серьезно к церкви относятся, время идти в церковь для них святое. А с кредитным рейтингом у них было не очень.
Сколько лет ему и ей? Приблизительно хотя бы.
Уровень их доходов на семью тоже примерно можешь прикинуть?
Что такого в штатах нужно сделать, чтобы банки тебе ипотеку не давали?
Я понимаю, точных ответов ты дать не можешь, но хотя бы приблизительно, свои оценки назови.
Инвестор !!ed2uM7taLquCNqEb 06/01/26 Втр 02:06:56 835409 237
>>835305
Да.

>>835333
40-50 лет им. Думаю доход в районе 100к/год на семью.

По ипотеке секретов никаких нет. 3 столпа: работа, кредитный рейтинг, уже взятые кредиты. Это база. Если у тебя стабильная работа с хорошей зп, хороший рейтинг, и не слишком много кредита уже взято (тут это централизованно чекается), то почти наверное тебя одобрят на сумму где твой месячный платеж 30% от дохода за вычетом выплат по уже набранным кредитам (до лимита который банк установил, обычно 1-2 млн.). Первоначальный взнос 20-30% стандарт, но есть варианты. По всяким программам для нуждающихся можно совсем маленький первый взнос получить. Если что-то из этого проблемное, то скорее всего откажут.
Иностранцу важно иметь гренку. Если на Х1Б визе то скорее всего будут вопросы и дополнительные проверки. Студенту понятно ничего не дадут.
Аноним 06/01/26 Втр 02:51:20 835427 238
Сколько в штатах коммерческая недвижимость стоит? Например, купить помещение, которое у тебя будет местная пятёрочка арендовать? Физ. лицу реально такое в сша? Или там уже всё? Корпорации не допустят. Если возможно, с каких цифр бюджет на такое начинается?
Аноним 06/01/26 Втр 03:45:41 835443 239
>>835427
Вот было бы здорово, если бы был такой сайт, где люди могут давать объявления о сдаче и продаже недвижимости. Но зачем, кому это может быть нужно, все и так получают местный каталог, который им привозит мальчик на велосипеде по утрам.
Инвестор !!ed2uM7taLquCNqEb 06/01/26 Втр 17:27:31 835572 240
>>835427
Не знаю, никогда не занимался коммерческой недвигой. Там свой мир, как мне кажется. Нужно знать специфику места.
Аноним 06/01/26 Втр 23:04:33 835698 241
>>835572
Ты, когда дом покупал, даже не интересовался? Я вот по штатам видел дома и квартиры продают, а коммерческих помещений не видел. Вот и интересно стало, для физ. лица такое доступно? Может у знакомых или риэлторов местных поспрашиваешь?
Аноним 06/01/26 Втр 23:39:14 835708 242
>>835698
Чел, тебе с такими запросам проще погуглить, чем интересоваться у рандомного мимокрока, пускай и живущего в США
Инвестор !!ed2uM7taLquCNqEb 07/01/26 Срд 07:46:24 835766 243
>>835698
Не интересовался, я сразу был ориентирован только на жилплощадь. Согласен с аноном выше; вряд ли я тебе в этом помогу. Могу лишь сказать точно что из-за границы удаленно вряд ли у тебя получится что-то купить, такого не поймут. Разве что найти агента который на таком специализируется. Лично я не советую, купить вслепую черти что это верный способ потерять деньги.
Приезжай и на месте сам смотри.
Аноним 07/01/26 Срд 16:55:29 835928 244
>>835708
Узнать у мимокрока живущего в штатах ситуацию с коммерческой недвижимостью шансов больше, чем в поисковике.

Но вообще, это уже звоночек - не самый бедный анон в СГА не рассматривал покупку коммерческой недвижимости. Думаю, в штатах, ситуация, когда ты знаешь помещение местным Costco и Walmart, для физика нереальна. Объём денег для этого нужный просто неподьëмен - это либо old money, либо бизнес не в первом поколении.
Аноним 07/01/26 Срд 19:19:20 835952 245
>>835928
>Узнать у мимокрока живущего в штатах ситуацию с коммерческой недвижимостью шансов больше, чем в поисковике
С чего это? Идешь на всякие плеббиты и ищешь специализировнные сообщества инвесторов в недвижку. Там большинство людей будут как раз из Штатов.
Аноним 08/01/26 Чтв 22:18:01 836332 246
>>835952
Кто тебе сказал, что там сидят реальные люди с реальными активами?
Аноним 08/01/26 Чтв 22:53:51 836338 247
>>836332
Ну если у тебя настолько сильная паранойя, то увы, будет очень сложно.
Инвестор !!ed2uM7taLquCNqEb 15/01/26 Чтв 06:16:03 837803 248
image.png 101Кб, 1524x754
1524x754
Теперь буду трекать инвест доходы и сколько я задепал за все время (на втором графике). История сохраняется по категориям, так что потом смогу оценить какой из инструментов дает больше профита (вангую это будет домик).
Год начался хорошо.
Инвестор !!ed2uM7taLquCNqEb 26/01/26 Пнд 09:46:19 841597 249
image.png 853Кб, 1920x1080
1920x1080
image.png 6115Кб, 3840x2160
3840x2160
image.png 162Кб, 640x360
640x360
image.png 771Кб, 1280x720
1280x720
Купил себе на Рождество паровую палубу, и она возродила мой интерес к играм. Настолько удобнее на ней играть по сравнению с ПК, что теперь даже не рассматриваю ПК-геймерство как раньше.
На пиках примеры того что я прошел полностью на деке.

На тяжелых играх заряда хватает на 1.5-2 часа только. Это самое большое ограничение. Еще на улице экран не достаточно яркий. Ну и разрешение хотелось бы побольше. Но даже при всем что есть сейчас девайс гениальный.
Инвестор !!ed2uM7taLquCNqEb 20/02/26 Птн 08:07:09 846680 250
image.png 274Кб, 1794x1546
1794x1546
image.png 113Кб, 1218x952
1218x952
image.png 236Кб, 1558x1462
1558x1462
В очередной раз, спустя больше года после первой попытки, прошел вторую главу Гриффица. В этот раз делал все на Математике. С помощью кодекса довольно легко ей пользоваться, все тонкости он легко решает. Непонятные моменты по самой физике чатгпт очень четко поясняет.
Неприятный момент что в вскоде в ноутбуке если вычисление в кернеле математики заглохло, он его не может остановить, и приходится рестартовать вскод. В остальном гораздо удобнее sympy для такой работы. Хотя изредка встречал случаи когда математика дает неверный ответ, а симпи правильно решает.

Надеюсь в этот раз не сдуюсь на главе 3.
Инвестор !!ed2uM7taLquCNqEb 01/05/26 Птн 22:44:35 866231 251
Поскольку мой пасскод забанен навеки по политическим причинам, тред можно закрывать. Вероятно, продолжу его на более свободном чане.
Настройки X
Ответить в тред X
15000
Добавить файл/ctrl-v
Стикеры X
Избранное / Топ тредов