Главная Юзердоски Каталог Трекер NSFW Настройки

Фагготрия

Ответить в тред Ответить в тред
Check this out!
<<
Назад | Вниз | Каталог | Обновить | Автообновление | 509 233 60
Югибани тред № 13 Аноним 05/03/26 Чтв 18:16:09 26422338 1
photo2026-03-01[...].jpg 58Кб, 960x1280
960x1280
photo2025-12-05[...].jpg 44Кб, 1280x960
1280x960
2025-11-0414-43[...].png 439Кб, 615x517
615x517
2026-01-3116-39[...].png 1427Кб, 1262x723
1262x723
20260131FastBlu[...].mp4 6317Кб, 1280x720, 00:00:34
1280x720
177132699776805[...].png 1154Кб, 1200x800
1200x800
177262821899000[...].jpg 141Кб, 715x715
715x715
17609670073393.jpg 149Кб, 393x668
393x668
Тред фэнов Сашеньки Югибани. Обсуждаем крутого игровика и начинающего тревел-стримера, немного волнующегося, но удивительного! (╯✧▽✧)╯

Твич - https://www.twitch.tv/yugybunyg
Хайлайты https://www.youtube.com/channel/UC3p5Vh7m0PprIfqO0fQw1jQ
Бусти - https://boosty.to/yugybunyg
Телега - https://t.me/yugybunyg
Инста - https://www.instagram.com/omerzitelno
(Запрещенная на территории РФ организация)

Прошлый: >>26249715 (OP)
Аноним 05/03/26 Чтв 18:19:09 26422365 2
Снимок экрана 2[...].png 271Кб, 341x438
341x438
Снимок экрана 2[...].png 798Кб, 690x695
690x695
Снимок экрана 2[...].png 305Кб, 389x441
389x441
Снимок экрана 2[...].png 375Кб, 408x508
408x508
17609670073393.jpg 149Кб, 393x668
393x668
17609670073392.jpg 79Кб, 217x566
217x566
17609670073381.jpg 224Кб, 469x900
469x900
17609670073380.jpg 177Кб, 463x900
463x900
освятил
Аноним 05/03/26 Чтв 18:21:40 26422396 3
image.png 1656Кб, 960x1280
960x1280
image.png 1796Кб, 960x1280
960x1280
>>26422365
просто вдумайтесь как воняет ее кресло от такой трансформации
Аноним 05/03/26 Чтв 18:32:28 26422471 4
image.png 330Кб, 700x473
700x473
вкат
Аноним 05/03/26 Чтв 18:59:59 26422724 5
>>26422396

была девочкой, стала женщиной
это нормально, стала более плотная, дородная
Аноним 05/03/26 Чтв 19:09:58 26422803 6
>>26422724
нормально если не следить за собой
Аноним 05/03/26 Чтв 19:12:48 26422823 7
Как же ёбырю свезло это пиздец, каждый день в любое время может ебать эту жопищу, может утыкаться своим лицом в неё, чё угодно с ней бля может делать... Завидую жёстко
Аноним 05/03/26 Чтв 19:14:57 26422848 8
>>26422823
Ну ток если ты фанат жирух, мне наоборот нравился анорексичный вид как на первом тянукусе
Аноним 05/03/26 Чтв 19:30:02 26422955 9
>>26422848
До статуса откровенной жирухи ей ещё далеко, года 2-3 минимум при таком же образе жизни + если качалку забросит. А если и станет жировой, хряк мб её бросит, а у меня на подхвате будет шанс COPIUM
Аноним 05/03/26 Чтв 19:42:36 26423058 10
>>26422955
качалку она давно бросила, было пару кружков и потом тишина
эта дурында не умеет в режим — ей всё должно доставаться на блюдечке
Аноним 05/03/26 Чтв 20:15:47 26423295 11
>>26423058
На днях в дисике писала, что не пошла в качалку из-за обещания пойти на стриме последнем, так что я думаю ходит всё ещё. Не удивлюсь, если парень её заставляет и/или сам ходит с ней
Аноним 05/03/26 Чтв 20:17:51 26423314 12
>>26423295
не удивлюсь если она приходит раз в неделю на дорожке постоять
Аноним 05/03/26 Чтв 20:27:10 26423395 13
Удивительно, почему вообще кому-то не похуй на то, какие отношения есть у стримера, даже если бы у неё и не было парня, вам с этого что было бы лол, она как-то от этого лучше сразу как стример стала или что?
Аноним 05/03/26 Чтв 20:33:22 26423443 14
>>26423395
Вайб общения другой, а если донатишь, то автоматически куколд
Аноним 05/03/26 Чтв 23:34:03 26424869 15
image.png 262Кб, 1523x540
1523x540
image.png 529Кб, 1808x717
1808x717
image.png 266Кб, 1077x530
1077x530
Такой вот темой занимался на практических занятиях по дискретке, а также прослушал лекцию о несобственных интегралах
Аноним 05/03/26 Чтв 23:42:42 26424927 16
интересный серпентарий
помимо сталкеров с богатым опытом теперь будем занюхивать домашку скуфа, который решил вкатиться в ИИ
Аноним 05/03/26 Чтв 23:44:59 26424940 17
image.png 3269Кб, 1580x1647
1580x1647
>>26424927
>скуфа

Определение знаешь? Я в отличной форме!
Аноним 05/03/26 Чтв 23:45:48 26424945 18
image.png 323Кб, 1280x538
1280x538
тупа Патрик Бейтман
Аноним 06/03/26 Птн 00:03:38 26425079 19
Хуесоска 2 дня подряд играет в Овер по 10 часов вместо расписания, ебало симпов куков представлять не стоит (опасно для жизни)
Аноним 06/03/26 Птн 00:04:55 26425089 20
>>26424940
тебе тридцатка чел ты почти мертв
ну как тебе матеша? уже дошел до открытых проблем?
Аноним 06/03/26 Птн 00:12:15 26425133 21
>>26425089
Я живее всех живых, чувак, твоё ощущение жизни и твоё внутреннее состояние не зависит от возраста, я чувствовал себя мертвым скорее в 25, по определенным причинам, а сейчас я в полном порядке.

> уже дошел до открытых проблем?
Второй семестр, но всё впереди
Аноним 06/03/26 Птн 08:44:37 26426379 22
играю с парнем [...].jpeg 200Кб, 1170x1341
1170x1341
Аноним 06/03/26 Птн 16:44:06 26428830 23
Xyecocка три дня подряд играет в Овер с парнем вместо стримов, надеюсь она вообще больше никогда не подрубит. Уход шиза серьезно ранил её, кто бы мог подумать?
Аноним 06/03/26 Птн 16:51:32 26428899 24
>>26428830
Негативчик убавляем, шиз уйдёт ток когда откинет копыта, там фулл симподебил, а у аглибабки причин наебать гоев на стрим несчётное количество
Аноним 06/03/26 Птн 16:58:19 26428953 25
>>26428830

не думаю, она просто ленивая
камон, а кто бы не хотел ничего не делать
ей больше не нужно стримить ради нищих донатиков
Аноним 06/03/26 Птн 17:03:31 26429003 26
ocr.jpg 13Кб, 377x136
377x136
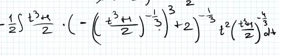
Аноним 06/03/26 Птн 17:38:21 26429397 27
image.png 184Кб, 958x191
958x191
image.png 151Кб, 840x528
840x528
Аноним 06/03/26 Птн 17:41:31 26429424 28
>>26429003
Сейчас топ новинка кооп слопа это скам лайн, пусть там симпы её развлекают, хотя от амогус игр эти дебилы срутся всегда
>>26429397
Да, держи в курсе вниманиеблядь больная
Аноним 06/03/26 Птн 17:43:40 26429442 29
>>26429424
причина тряски? Стример прикладной математик, математика релэйтед
Аноним 06/03/26 Птн 17:48:00 26429477 30
Тем более тот чувак с пастами ушел, а свято место пусто не бывает
Аноним 06/03/26 Птн 18:46:35 26429987 31
>>26429397
А чё тут такого? Обычная замена, внести t^2 под дифференциал и всё. Я не считал интегралы лет 15, за двадцать секунд вспомнил что к чему.
Аноним 06/03/26 Птн 19:39:17 26430404 32
>>26429442
она такой же прикладной математик как ты ИИ-стартапер
Аноним 06/03/26 Птн 19:57:41 26430547 33
image.png 165Кб, 893x1064
893x1064
>>26429397
Да это препод на парах решал, просто сегодня духота началась какая-то, подстановки чебышева, эйлера, абеля, универсальные тригонометрические подстановки, интегралы от дифференциального бинома и сами вычисления стали громоздкими, до этого изи прям было хуяк хуяк подстановка, по частям, разложение дробей. Вот всё решение конкретно этого интеграла
Аноним 06/03/26 Птн 20:02:10 26430581 34
Аноним 06/03/26 Птн 20:24:16 26430779 35
Бля, модир. Чисти этих мат шизофреников
Аноним 06/03/26 Птн 20:33:38 26430866 36
>>26430779
Я буквально три поста с математикой ебнул, хули ты трясёшься, можешь дальше обсасывать, как поебалась югибани или почему она не стримит, тебе никто не мешает, вахтер ты ебаный
Аноним 06/03/26 Птн 20:36:11 26430883 37
>>26430866
Спасибо за разрешение, аутист. Катись к хуям.
Аноним 06/03/26 Птн 20:38:14 26430903 38
image.png 249Кб, 1959x1959
1959x1959
>>26430883
Извини, там уже занято тобой и твоей мамашей шлюхой :3
Аноним 06/03/26 Птн 21:21:43 26431269 39
ocr.jpg 10Кб, 288x263
288x263
Реальный онлайн
Аноним 06/03/26 Птн 21:30:39 26431321 40
image.png 172Кб, 426x314
426x314
Аноним 06/03/26 Птн 21:56:15 26431513 41
ребят, новое слово придумал — скуфент
Аноним 07/03/26 Суб 10:26:48 26433784 42
Аноним 07/03/26 Суб 15:52:27 26435997 43
Xyeсоска четыре дня подряд играет с парнем в овервотч вместо подруба. Охуенное расписание, что тут скажешь. Как симпотяги выносят такое скотское отношение к себе — загадка.
Аноним 07/03/26 Суб 16:32:26 26436293 44
>>26435997
Мгягягя, всегда считал что она своими наёбами на стрим тренирует симпов к терпению, сейчас это ещё больше похоже на правду
Аноним 07/03/26 Суб 16:47:04 26436401 45
image.png 9Кб, 389x143
389x143
>>26435997
Ну а хули, наберите сначала 100 сабов, а потом и поговорим, это же так работает. Пизда есть, обеспечивайте
Аноним 07/03/26 Суб 16:53:58 26436455 46
Аноним 07/03/26 Суб 17:13:12 26436585 47
>>26436401
Пиздец, уже который месяц 50, даже отскакивает в 51 иногда с 48. Как люди не отменяют свои подписки? Ещё и главный кук синдорай наверняка продлевает свою. Реально слишком много свободных денег у людей скопилось, чтобы так ими разбрасываться в онлайн-чмонь.
Аноним 07/03/26 Суб 17:22:55 26436669 48
>>26436585
Потому что куколды это целевая аудитория, она всегда таких и хотела зрителей. Только в реальности таких меньше, чем адекватных людей, а на эти 50 сабок только хуй с солью доесть можно
Аноним 07/03/26 Суб 17:27:45 26436711 49
А чё ноете то, парень обеспечивает больше, так что и времени ему уделяется больше, всё по чесноку, а вы потерпите
Аноним 07/03/26 Суб 17:30:34 26436744 50
>>26436711
Ща потерплю, только стульчик поставьте в углу
Аноним 07/03/26 Суб 17:46:38 26436908 51
>>26433784
значит подросток в теле взрослого кидает скрины с матешей в фаг треде распухшего кролика
Аноним 07/03/26 Суб 18:04:53 26437114 52
>>26435997
ну так вы ей не донатите, вот она и не подрубает
Аноним 07/03/26 Суб 19:03:37 26437714 53
Поправил её расписание на неделю:
Вт - ёбля с парнем + овер
Ср - ёбля с парнем + анал + овер
Чт - отдых от анала + овер
Пт - ёбля с парнем во время мини-коопа с куками + овер
Сб - жёсткий анал + овер
Вс - подруб на 8 марта для сбора дани с симпов + ёбля с парнем сразу после стрима + овер
Аноним 07/03/26 Суб 19:19:41 26437887 54
А типа, то, что у неё может реально не быть настроения, никто не рассматривает?
Аноним 07/03/26 Суб 20:04:17 26438299 55
>>26437887

может и так. но почему-то уже не жалко
раньше сочувствовал, когда она грустила, теперь нет
и не потому, что появился парень
человек обещает - не делает
обещает - не делает
обещает - снова не делает
может я ей завидую от того, что не могу ебланить только потому, что у меня настроения нет
согласитесь, не каждый может это себе позволить
Аноним 08/03/26 Вск 10:03:02 26442071 56
image.png 392Кб, 600x600
600x600
Аноним 08/03/26 Вск 17:29:55 26444823 57
Ёбырь как следует поздравляет хуесоску сегодня весь день во все три дыры, у неё нет сил даже встать и дойти до компа для сбора денег с симпокуков, охуеть можно
Аноним 08/03/26 Вск 17:52:44 26444945 58
>хуесоска
для тян не оскорбление
помним:
>сосу периодически

ебырь так обеспечивает что можно на сбор дани не подрубать, думаю что юги имела ввиду когда говорила что парень небогатый, мб в ее понимании и 300 к/наносек анальник это небогато для такой принцессы как она
Аноним 08/03/26 Вск 18:00:50 26444993 59
А чего такая тряска у не симпов и не куколдов? Ну не стримит и заебись. Все ровно ведь вам похуй, правда? правда..
Аноним 08/03/26 Вск 18:35:41 26445258 60
>>26444993
Не смотрю её стримов, так что рад, пусть заканчивает карьерку поскорее, а симпы пусть дальше полыхают в треде
Аноним 08/03/26 Вск 19:20:34 26445640 61
Поздравил любимую стримершу донатиком на 14 февраля, даже несмотря на то, что она не подрубила. На 8 марта тоже поздравлю, я же мужик, должен помочь, ведь ей сейчас и так очень тяжело, она из-за этого и не стримит
Аноним 09/03/26 Пнд 14:50:26 26451005 62
Ну чё хуесоска, давай новое расписание на эту неделю скидывай, порофлим знатно с твоих проёбов и инфантильности
Аноним 09/03/26 Пнд 14:59:22 26451081 63
Ненавижу тот день, когда зашёл на двач почитать те самые треды про которые зайка говорила не стримах. Моя жизнь больше не будет прежней. Моё восприятие зайки не будет прежним. Если ты это читаешь, мой тебе совет, больше никогда на стримах не говори, что на дваче есть про тебя информация. Это всё разрушает.
Аноним 09/03/26 Пнд 15:11:00 26451167 64
>>26451081
А какая тут информация,кроме информации со стримов и соцсетей?
Аноним 09/03/26 Пнд 15:15:25 26451197 65
>>26451167
наверное то, что ее здесь называют плохими словами и челик впитывает это все и тоже начинает так думать
Аноним 09/03/26 Пнд 16:02:54 26451614 66
>>26451081
Залетуха симповская, давай сопли не размазывай, какая зайка нах? Ведешься на образ миленькой девочки, хотя девочке под 30 уже, и она выглядит как кабаниха, и ведёт себя соответствующе
Аноним 09/03/26 Пнд 16:42:28 26451993 67
>>26451197

типа того
очень много негатива о котором раньше не задумывался, но начинаешь пропитываться спустя 12 тредов прочитанного
Аноним 09/03/26 Пнд 16:48:43 26452064 68
Типа вы сюда зашли и вдохнули газа местного, и мозг отравился? А почему тогда не уходите сразу, а дальше сидите вдыхаете? А ответ прост — потому что лучше вдыхать горькую газовую правду, чем сладкие пуки принцессы
Аноним 09/03/26 Пнд 16:54:37 26452111 69
>>26452064
этот тред теперь проклят в веках
Аноним 09/03/26 Пнд 17:37:27 26452486 70
>>26451614

Про "зайка" это было сказано с иронией.
Аноним 09/03/26 Пнд 18:27:47 26452980 71
image.png 610Кб, 723x823
723x823
ну и ладно
Аноним 09/03/26 Пнд 18:53:55 26453239 72
>>26451081
Наоборот эта пизда специально палит тред про себя, чтобы отсеять ненадёжных симпов, и оставить себе только совсем отбитых куков, буквально готовых вылизывать сперму ёбыря из её ануса, не говоря уже о более мелких услугах. Впрочем, если ты прочитал тред и не разсимпился, то ты заслуживаешь того, чтобы онлайн-чмоня забрала твои деньги и купила на них очередной комплект нижнего белья и поверила жопой у ёбыря на лице перед очередной жаркой ёблей во все три дыры.
Аноним 09/03/26 Пнд 19:03:28 26453327 73
>>26452064

Я тут не живу и не дышу этим трэдом.
Одного вздоха этого зловония была достаточно.
Аноним 09/03/26 Пнд 19:06:06 26453358 74
вот я.mp4 649Кб, 464x848, 00:00:05
464x848
>>26453239
>буквально готовых вылизывать сперму ёбыря из её ануса
Аноним 09/03/26 Пнд 19:11:41 26453422 75
>>26452064
Если бы у неё были сладкие пуки, то можно было бы подумать, но пердит она вонюче и горько, так что вариант только в треде сидеть
Аноним 09/03/26 Пнд 20:02:52 26453894 76
Чё думаете о главном куке джомлесе? Симпотяга изо всех сил старается ради принцесски, стал играть в овер, чтобы поддерживать общение с ней, делает клипы и нарезки и отказывается от её денег за это. Есть ли у него шанс на осознание того, что югипиздёнка ему не светит ни за какие усилия, и на его горбу она будет ехать до печального конца своей карьеры?
Аноним 09/03/26 Пнд 20:12:23 26453964 77
>>26453239
А ты откуда такой бешеный вылез? Ебырь у нее уже очень давно не секрет.
Аноним 09/03/26 Пнд 21:03:33 26454284 78
>>26453894
Да ничего не думаю, он просто пыль нахуй, словно не существует его. Такие симпы-вахтёры везде есть, и везде они одинаковые
Аноним 09/03/26 Пнд 21:45:03 26454647 79
Югибани - крутая, умная и шутить умеет, вы просто ей завидуете
Аноним 09/03/26 Пнд 21:54:11 26454702 80
>>26454647
Факт, туда их, хейтеров поганых. Саша живёт хорошо, в жизни у неё всё отлично, а тут одни пиявки и завистники сидят, которым лишь бы испортить чужую идиллию. У самих ничего нет, вот и за других порадоваться не могут!
Аноним 09/03/26 Пнд 22:03:04 26454768 81
>>26454647
>>26454702
Красный крестик справа сверху, здесь нормальное обсуждение, а вам просьба проследовать в дискорд к принцессе, и смотреть как она играет в овер вместе с 5 другими "смотрящими"
Аноним 09/03/26 Пнд 22:13:03 26454826 82
>>26454768
Так то там 6 смотрящих было, а это как бы вообще другой уровень. Это считай нужно ещё один стул искать и как-то в комнате его ставить
Аноним 09/03/26 Пнд 22:18:37 26454869 83
>>26454768
Я бы рад, но я там забанен
Аноним 10/03/26 Втр 04:45:22 26456186 84
>>26453894

Он настоящий друг. Которому ничего от югибани не надо. Вы всё измеряете куколдизмом и симповством. Ваш мир этим всем ограничен. А есть другой мир. В котором есть дружба. И если ты помогаешь человеку, поддерживаешь его, то ты не симп, не куколд, а настоящий друг. Кто его осуждает - вы ему завидуете. Потому, что он рядом с ней, он смог стать её другом. А вы перебанены.
Аноним 10/03/26 Втр 10:12:37 26456649 85
1.mp4 9943Кб, 1920x1080, 00:00:09
1920x1080
Аноним 10/03/26 Втр 12:48:16 26457658 86
image.png 1212Кб, 1280x960
1280x960
>>26456649
Орунах, так серьёзно говорит, как будто сама никакой образ для симпов не строит. На пике вот весь её контент буквально
Аноним 10/03/26 Втр 13:58:18 26458153 87
eto-drugoe-vy-n[...].jpg 92Кб, 1024x730
1024x730
Аноним 10/03/26 Втр 14:22:05 26458330 88
image.png 477Кб, 498x498
498x498
>>26456649
>>26457658
Кажется она даже не осознаёт, насколько тупо это звучит из её уст. Пора бы ей уже поддержать Юзю не словом, а делом, и последовать по его пути
Аноним 10/03/26 Втр 14:34:56 26458422 89
>>26458330
Всмысле наебать зрилов на бабло, а потом продать жопу и съебаться нахуй? Ну, синдорая как минимум уже наебали, жопа продана, так что осталось всего ничего
Аноним 10/03/26 Втр 14:39:50 26458460 90
>>26458422
Хокога вроде тоже наебали, она же так и не прошла его игру, да и местного шиза наебали на фильм, а он инвал. Инвалидов наёбывать это вообще грех я считаю
Аноним 10/03/26 Втр 14:57:34 26458579 91
image.png 113Кб, 441x800
441x800
Один негатив в треде, ну что такое-то, давайте просто поддерживать Сашеньку и ждать её следующего стрима
Аноним 10/03/26 Втр 19:13:04 26460751 92
>>26458579
Какие-то новенькие залетухи сгорели, что у нее оказывается обслуживвтель пизды имеется.
Аноним 10/03/26 Втр 20:24:25 26461403 93
Тварь идёт на рекорд стрик без подрубов без причины, надеюсь он продлится целый год, а она будет в дисике высираться и плакаться, что у неё ничего не получается, роста нет, зрилов новых нет, донатов тоже. Какой же кайф ловлю с её нытья, никто другой так не завозит
Аноним 10/03/26 Втр 20:31:50 26461464 94
>>26461403
Держи в курсах, а то сам я эту хуйню в жизни мониторить не буду. Если будет что интересное, кидай сюда, там же бесконечный источник нытья
Аноним 10/03/26 Втр 20:33:36 26461480 95
>>26461403
>без причины
Причины есть, но тебе о них знать не положено
Аноним 10/03/26 Втр 20:58:53 26461694 96
когда-нибудь вам надоест поливать её грязью, вот тогда то она может быть и вернётся в прайм
Аноним 10/03/26 Втр 21:04:04 26461723 97
>>26461480
Причины прекрасно известны: инфантильность, эскапизм в овере, обслуживание своими дырочками парня — всё это занимает кучу времени
Аноним 10/03/26 Втр 21:32:24 26461901 98
>>26461694
Ты рил считаешь, что от того, обсирают её здесь или нет, хоть что-то зависит? То есть у неё агентности вообще никакой нет по мнению симпов, понял
Аноним 10/03/26 Втр 21:38:32 26461949 99
>>26461901
лишний раз обосрали здесь и сразу дополнительная причина на минус вайбик и сразу стримить не хочется
Аноним 10/03/26 Втр 21:44:43 26461990 100
>>26461949
Она утверждает, что не читает этот тред. Ты что, не веришь ей?
Аноним 10/03/26 Втр 21:53:27 26462059 101
>>26461901

любому человеку будет хоть чуточку, но неприятно, если бы про него такую хуйню писали
она ещё все таки девушка, а не прожжёный двачер анонимус, которому похую кого поливать грязью и что его тоже могут обложить говном другие аноны
Аноним 10/03/26 Втр 22:40:51 26462516 102
>>26461949
>>26462059
Если ей и будет плохо, то явно не из-за того, что её тут обсирают, а из-за того, что сама себя в канаву с говном закапывает
Аноним 10/03/26 Втр 22:44:07 26462541 103
lazycunt.jpg 22Кб, 1173x108
1173x108
Ну всё понятно, нахуя подрубать когда не донатят + слюни симпов заебали (на крайняк можно в дисике ими утереться), а так скоро ивент, где будут донатить много. Надеюсь эту чмоню загнобят как следует на ивенте, и никогда больше никуда не будут звать
Аноним 10/03/26 Втр 22:54:51 26462629 104
>>26462541
Хачедоз снова позвал что-ли, ну удачи им терпеть эту марамойку опять. Вот Факеру в своё время ума хватило, и женщин он после хпг 2 в ивенты не звал, он ещё на первой мошне уже всё понял
Аноним 10/03/26 Втр 23:22:48 26462887 105
Как же уход того чела с пастами заимпактил, а я говорил, что не надо недооценивать шизов
Аноним 10/03/26 Втр 23:33:17 26462983 106
>>26462629
Они сами там на хпг 2 хуйнёй занимались, бьёрн доебался до прохождения игры на эмуляторе, хотя в правилах это не было четко прописано, а потом вообще по доносу заставили перепроходить режим в наруто, хотя там тоже ситуация была спорная и прошло несколько дней
Аноним 10/03/26 Втр 23:37:06 26463012 107
Я хпг 2 хорошо помню, это был пик моих рамсов с Лизой и там всё было довольно неоднозначно
Аноним 11/03/26 Срд 00:00:38 26463240 108
>>26463012
Однозначно или нет, Факер просто сразу понял, что не хочет выслушивать слёзы, нытьё, возмущения боевых симпов итд
Аноним 11/03/26 Срд 00:44:46 26463601 109
>>26463240
Так это наоборот добавляет драммы ивенту. Даже мэд алину рин звал именно для этого, и сейчас на летний ивент ищет бабу стримершу, и это прям важно ему. А на прошлом арчидосовском ивенте эти эмоциональные качели от сашеньки самое интересное было, когда она в последний день марафонила, и то плакала то радовалась и вообще лютый пиздец происходил. Это же ахуенно. Просто игрульки уже заебали всех, ивенты и делаются именно ради драммы и разборок стримеров, а женщины идеально для этого подходят.
Аноним 11/03/26 Срд 00:51:21 26463651 110
>>26454647
она двачует со школы ало (кидала ступни скуфам из b)
чмоня занюхивает фаг дольше многих из нас, так что лучше радуйтесь, что югичка разрешила вам подкопить денежек на донатики
Аноним 11/03/26 Срд 02:43:57 26464149 111
>>26463601
Весь прошлый ивент в соло на себе вытащил разик, его рейджи и слезы не сравнятся с унылой шашой
Аноним 11/03/26 Срд 08:57:31 26464527 112
image.png 21Кб, 675x83
675x83
Как вы считаете, нормально ли такое? Чел должен купить подписку, а потом, если ему повезёт, купить ещё и игру сверху. Как вообще можно жить на таком вот неувОжении к окружающим я хз. Ну не хочешь покупать, возьми на зелёном сайте как все нормальные люди, но нет, это же для плебсов, а принцессе нужно официальную версию. Тьфу блять
Аноним 11/03/26 Срд 09:58:05 26464692 113
>>26464527
Настоящее свинство кроется в деталях, даже не обращал внимание раньше.

Давануть надо шашаньку
Аноним 11/03/26 Срд 10:42:22 26464861 114
>>26464527
>>26464692

А в чем свинство, это просто условия, на которые вы можете не согласиться, вас никто не заставляет покупать игры ей
Аноним 11/03/26 Срд 11:36:18 26465158 115
>>26462541
Вот это ивент так ивент будет без хокога, который был в состоянии больше одного раза зарядить десятку на что-нибудь. И ведь у нее даже нет ручных симпиков, как у Фаридуши, которые из-за слезок готовы перебивать большие позиции с каким-нибудь говном
Аноним 11/03/26 Срд 12:01:55 26465296 116
>>26465158
А с чего ты взял, что будут большие позиции с говном. Надеюсь, ни у кого не хватит мозга на такое, и получит она ноль, который и заслуживает
Аноним 11/03/26 Срд 12:10:20 26465336 117
>>26464692
Её уже жизнь даванула, с таким гнилым мышлением жить это же кошмар
Аноним 11/03/26 Срд 12:14:42 26465352 118
>>26464527
Да это пиздец, вся её хуйня для сабов настолько замороченная, что нормальные люди даже не будут и пытаться разобраться. А потом она ещё и удивляется и ноет, мол, мало активности на саб днях. Пизда тупорылая, делай че-то адекватное, вот и будет тебе активность, охуеть можно! Посмотри на нормальных стримеров и своруй у них идеи, своё придумывать явно не твое пока что
Аноним 11/03/26 Срд 12:46:55 26465549 119
>>26465296
На моей памяти таким занимался стыковочный, он отвалился вроде, эход и дио надеюсь тоже отвалились, а больше никого не помню. Да раньше она могла изи 30к за аук собрать, а теперь то и 10 уже с трудом будет, никто не хочет донатить тянке с теневым
Аноним 11/03/26 Срд 13:39:15 26465954 120
>>26464861
Сабдей это праздник для зрилов, великий день, когда сабы решают. А тут всё наоборот получается
Аноним 11/03/26 Срд 15:50:07 26466869 121
Хуесоска обещает стрим в субботу, верим? Надеюсь она задизморалится жёстко на неделе, или ёбырь порвёт ей анус и она вместо стрима будет утешать себя в овере
Аноним 11/03/26 Срд 16:02:21 26466956 122
Аноним 11/03/26 Срд 17:09:14 26467498 123
>>26466869

от куда столько негатива к человеку, который ничего плохого тебе не сделал?
Аноним 11/03/26 Срд 20:03:39 26469097 124
Самый рофл в том, что эти люди, которые озлобленные на югибани, зачем-то сюда приходят изливать свою желч, хотя могут найти себе других крутых стримерш или стримеров, смотреть их какйфовать, но нет, надо приходить в тред и высирать своё мнение зачем-то, странные люди
Аноним 11/03/26 Срд 20:06:02 26469129 125
>>26469097
Не забудь продлить сабку на бусти малознакомой тянки, где даже нет нюдсов, потерпи ее рейджи и нытье, ведь очень важно не потерять парасоциальные отношения
Аноним 11/03/26 Срд 20:11:15 26469198 126
>>26469129
Так это у этих хейтеров парасоциальные отношения, они видимо считали её своей подругой или тянкой хз, но она их разочаровала тем, что нашла себе парня или стримит не так как им нравится, вот они и горят, как будто находятся с ней в отношениях, я-то тут просто отмываю репутацию экс сталкера, чтобы аудитория Лизон нормально восприняла тот факт, что мы скоро будем в отношениях
Аноним 11/03/26 Срд 20:16:54 26469255 127
>>26469097
>сюда приходят
на двач? действительно, откуда они здесь
>>26469198
думаешь сбудется твоя мечта детства и ты получишь кусок протухшей жидоновской пизды? ахах, ну поздравляю, совет да любовь молодожёнам. а вообще, твоё поведение показывает, что за 6 лет ты как был шизом, так им и остался. отмывает он репутацию на дваче блять, я хуею, какое позорище
Аноним 11/03/26 Срд 21:34:37 26470038 128
>>26469198
Уверен, если бы она раньше по кд не затирала какая она тру фемцелка, то хейта бы тут было поменьше, но, помимо этого, есть ещё куча причин плохо к ней относиться
Аноним 11/03/26 Срд 21:35:09 26470044 129
>>26469255
>поздравляю, совет да любовь молодожёнам

Спасибо! А тебе советую не быть таким негативным
Аноним 11/03/26 Срд 21:36:22 26470053 130
>>26470038
Короче я понял, ситуация как аудио рв
Аноним 11/03/26 Срд 21:47:35 26470152 131
>>26467498
Знаешь, как у некоторых людей ебальник, который ну просто хочется уебать, без какой-либо видимой причины? Так и у тупой хуесоски такое же поведение, над которым хочется смеяться, которое хочется гнобить. Если вдруг она перестанет быть инфантильной капризной чмоней, то и хейта не будет. Да и хейтом-то это трудно назвать — буквально констатация фактов её собственного поведения, ни больше, ни меньше
Аноним 12/03/26 Чтв 00:55:35 26471366 132
>>26470152
Ну ты злыдень каких поискать
Аноним 12/03/26 Чтв 11:16:45 26472483 133
>>26456649
Сразу же вспомнил про снежинки с никами зрителей, которые висели 2 года если не больше. Где они сейчас, в помойке наверное. Ещё помню как она со всеми здоровалась обязательно в начале стрима, и всем спасибо "симпнейм" говорила после "будь здорова", отчего симпы начинали писать это больше ради внимания. Это же парасоциальщина в чистом виде, и это только то, что на поверхности и прямо сразу в глаза бросается. Жаль, что твич такая помойка, полная лицемерных и безответственных сук, по сути эксплуатация одиночества. А потом чуть что, и эти суки сами тебе лекцию про парасоциальщину начнут читать, пиздец какой-то
Аноним 12/03/26 Чтв 12:00:11 26472674 134
177061868241204[...].mp4 9916Кб, 832x720, 00:00:33
832x720
Аноним 12/03/26 Чтв 12:22:51 26472798 135
Эт че высадка даунов из дискорда Арчи пришла
Аноним 12/03/26 Чтв 16:50:32 26474832 136
>>26472483
Работа такая у стримеров - лохов доить. И это нужно очень четко понимать.
Аноним 12/03/26 Чтв 16:58:54 26474885 137
ну что ваше уюгище не балует стримами? а надо донатить, а не на рыжем сайте ныть
идите на работу устройтесь — стример хочет путешествовать
Аноним 12/03/26 Чтв 17:30:06 26475121 138
>>26474885
Наоборот надо на обезжирку суку посадить, а то вон какую сраку отъела уже. Но у неё ща и так белковая диета вроде
Аноним 12/03/26 Чтв 17:30:30 26475124 139
>>26472483

Ты любое положительное взаимодействие со зрителями называешь парасоцильными отношениями? У этой фигни есть чёткое определение.

Парасоциальные отношения — это односторонняя эмоциональная связь, при которой человек чувствует близость, дружбу или любовь к знаменитости, блогеру или вымышленному персонажу, не имея с ними личного контакта. Поклонник глубоко вовлечен в жизнь кумира, считая его близким, тогда как кумир часто не знает о существовании фаната.


Ключевой момент в этом определении - «ОДНОСТОРОННЯЯ эмоциональная связь». Читай большая дистанция со зрителем, который считает блогера/артиста/стримера чуть ли не своим лучшим другом. А тот в свою очередь может вообще даже не знать об этом человеке. Если «фанат» уже детей планирует со стримершей, а та просто говорит ему «привет» на стриме, это уже клиника, диагноз и проблема зрителя, который поехал кукухой.

А есть нормальное отношение со зрителями. Когда искренне интересуешься настроением людей, с которыми проводишь много времени на стриме. Это не односторонняя связь. Зачастую стример так же эмоционально зависим от зрителей. От их настроения, расположения духа. И что в этом плохого? Это нормально, держать контакт с аудиторией. Если этого не делать, не быть приветливым, не интересоваться жизнью зрителей, не уделять им внимание. Стримера вообще не будет существовать.


Некоторым как будто всё плохо, всё не так. Не обращаешь внимание на зрителей - фу, чмоня, чсв. Нормально общаешься - доишь гоев на донаты на парасоциальщине. Хули вам надо?

Чего ты хочешь? Чтобы эти снежинки там сто лет провисели? Может заламинировать? В рамочку вставить? Доёбываешься ни за что.
Аноним 12/03/26 Чтв 17:38:52 26475188 140
>>26475124
Если ты это никогда не испытывал, то завидую тебе. Уязвимым или просто влюбчивым додстерам достаточно лишь капельки персонального внимания, и они уже готовы тратить всё своё время на женщину в интернете
Аноним 12/03/26 Чтв 17:53:17 26475320 141
>>26475188
А всякая хуйня типа 500 стрим стрик это вообще как называется? Нормально, можно поблагодарить преданного зрителя. Человеку проф помощь нужна если у него 500 стрим стрик, а не "благодарность", но пока ей выгодно, она это поощряет, и ничего плохого в этом не видит
Аноним 12/03/26 Чтв 18:09:52 26475462 142
ебучий мурмяу опять усирается за рандомных баб в интернете, сука забанили уже везде, так успокойся начни новую жизнь
нет блять буду защищать всяких уебищ в надежде на прощение
Аноним 12/03/26 Чтв 18:11:26 26475478 143
>>26475188
Мне кажется большинство зрилов на женских стримах такие отбитые овощи. У нормисок, стримерш-пацанок такого меньше, но если тянка строит из себя нетакусю, то все инвалы к ней в чат бегут
Аноним 12/03/26 Чтв 18:49:24 26475835 144
>>26475462
Хочу и защищаю, не рвись, на прощение мне пофиг, я просто делаю это потому что хочу
Аноним 12/03/26 Чтв 18:49:54 26475842 145
image.png 767Кб, 807x668
807x668
Аноним 12/03/26 Чтв 18:50:21 26475848 146
>>26475478

Саша обычная девушка, нормальная стримерша
личную жизнь не скрывала и не скрывает, парня нашла - скрывать не стала
полуголая никогда не сидела на стримах, одевается скромно
общается со всеми нормально, приветливая, старается быть внимательной

находятся же какие-то ненормальные, с завышенными ожиданиями, которые бесятся если их не заметили и не достаточно отблагодарили за добровольное безвозмездное пожертвование

я хуею с додиков
Аноним 12/03/26 Чтв 18:55:48 26475891 147
>>26475320

как отблагодарить? вылизать монитор? повесить ник зрителя на всю стену? пойти с ним на свидание? ЧТО БУДЕТ ДОСТАТОЧНО для удовлетворения чувства ГЛАВНОГО ЗРИТЕЛЯ?

500 стрик это просто лудомания в лёгкой форме или элемент соревновательности, просто прикольно, весело. ради него ничего не нужно делать толком, успеть зайти на стрим на пру минут
Аноним 12/03/26 Чтв 18:56:32 26475898 148
а как называется болезнь когда с тобой не хотят общаться и ты начинаешь симповать на анонимном форуме?
Аноним 12/03/26 Чтв 18:59:01 26475921 149
Аноним 12/03/26 Чтв 19:00:00 26475931 150
>>26475848
Обычная девушка, с обычным голосом, без загонов в голове. В маске не начинала стримить и лицо не скрывала из-за проблем с башкой. Фемцелкой себя никогда не называла, веснушки на лице не рисовала. Внутри не гнилая, и не пытается скрыть это за милым образом. Почему она привлекает шизов? Вообще лгд24 уже всю базу про пупунь давно расписала, это самые худшие женщины в интернете
Аноним 12/03/26 Чтв 19:06:25 26475994 151
image.png 335Кб, 480x480
480x480
>>26475898
Да хотят общаться, просто она думает, что я хочу через неё типа к Лизон подобраться, чтобы её сталкать, она даже не знает, что ситуация уже вообще другая, но скоро она всё поймёт, скоро все всё поймут
Аноним 12/03/26 Чтв 19:48:13 26476394 152
>>26475188
>они
Не смеши. Все всё понимают.
Аноним 12/03/26 Чтв 19:51:30 26476417 153
>>26475931
>лгд24 уже всю базу про пупунь давно расписала

это на что отсылка?
Аноним 12/03/26 Чтв 19:53:45 26476434 154
Аноним 12/03/26 Чтв 20:00:41 26476491 155
Ой хорошо залетух поймал, позорнее было только когда местный шиз перепутал разика и ганса, а теперь срыгос с треда оформляйте
Аноним 12/03/26 Чтв 20:39:36 26476847 156
>>26475848
ты залетный, нихуя она не «обычная» девушка, 8 лет без отношений это не нормиска, двачевала, кучу загонов, и фемцелкой себя даже какое-то время считала, ни дня официально не работала. Стриминг как основной доход уже необычно. Именно что появление постоянного ебыря-сожителя сломало старый паттерн
>ряяя фемцелок не бывает
У фемцела (как и у инцела), в основном барьеры психологические внутренние, либо неадекватно завешенная планка которой сам не соответствуешь, наверняка у нее было и то и другое. Конечно ей сыпались предложения об отношаче, и от друзьяшек нейзии от шейхов полстар но она все отвергала

Разочарование легко объяснимо когда ломается старый любимый образ
Аноним 12/03/26 Чтв 20:50:11 26476928 157
>>26476847

я не залётный, года три подписан
для маня она обычная девушка

вот работать, иметь отношения, жить свою жизнь, саму себя обеспечивать (работать, а не получать донаты), при этом иметь какое-то хобби (пускай хотя бы стримы) - вот это необычно для нашего времени

А Саша - обычная среднестатистическая стримерша
но не хорни чсвешница, как большинство популярити, осуждать и ненавидеть её не за что
Аноним 12/03/26 Чтв 22:11:52 26477564 158
>>26476928
3 года это ньюфаг, ты целиком пропустил период когда она не играла в игры вообще
вот в те времена она была молодой и постоянно рассказывала о себе, оттуда вся инфа про двачи и ебле с 16 (при этом следила за языком и не материлась, то есть стрим был вполне смотрибелен)
я думал она выгорит и пойдет работать, но нет — быдлокролик взял верх и началась игры, мат через слово и так далее
это если вкратце, не углубляясь в то как менялись её загоны
Аноним 12/03/26 Чтв 22:59:25 26478031 159
>>26477564
Клипов,конечно же нет,а рассказы о ебле не твои фантазии
Аноним 13/03/26 Птн 01:24:37 26478994 160
>>26477564

ну я видел мельком, клипы то есть
да, раньше она была более скромная, сдерживала себя наверно

но это же КЛАССИКА стримеров
многие через это проходит, не только стримерши
со временем человек открывается с разных сторон
либо снимает маски
либо становится более уверенным
что в этом плохого?
ну либо наглеет, это правда не очень
Аноним 13/03/26 Птн 01:29:25 26479005 161
ещё многие стримерши поправляются существенно. вы замечали?
Аноним 13/03/26 Птн 07:35:47 26479407 162
>>26478031
да сам спроси, она потом еще жила с челом и пряталась от него в ванне с ножом)
а вообще прикольно наблюдать как люди ведутся на образ такой невротичной нетакуси когда там уже клейма негде ставить
Аноним 13/03/26 Птн 11:59:17 26480164 163
>>26479407
Да какой блять образ. Она в открытую про наличие парня говорит. Пол треда рвется, что она не с ними ебется
Аноним 13/03/26 Птн 12:26:46 26480340 164
Кто знает, куда делись жижа (каллдерьма) и ханикринж? Интересно почему некоторые так бесследно исчезают из её сообщества, был ли конфликт какой-то?
Аноним 13/03/26 Птн 12:34:29 26480397 165
>>26480164
нене речь про сам момент засимповки в прошлом, когда она была такой недотрогой с тяжелой судьбой и жертвой абьюза в семье и отношениях
Аноним 13/03/26 Птн 13:02:45 26480613 166
факт засимповки зафиксирован, симп найден. отработать по симпу на двачах.
Аноним 13/03/26 Птн 13:14:58 26480691 167
Ханикринж её ща ебёт, а жижа смотрит, я так вижу
Аноним 13/03/26 Птн 13:22:40 26480734 168
>>26480340
Та очевидно прям тут сейчас сидят и поясняют за куколдов, если у тяно-стримерши есть парень.
Аноним 13/03/26 Птн 20:25:11 26483779 169
ocr.jpg 30Кб, 386x535
386x535
План б есть,если завтра не захочет подрубать,просто скажет что плохо от роллов
Аноним 13/03/26 Птн 20:38:50 26483898 170
Ахаха тварь питается уценёнкой, сломанный желудок к 30 обеспечен
Аноним 13/03/26 Птн 20:41:50 26483929 171
>>26483898
как же этому додику принцесса разбила сердце..
Аноним 13/03/26 Птн 20:44:31 26483948 172
сегодня вкинул в чате лизон мол какие мысли по мурмяу так блокировка перманентная сразу
вот и думайте
Аноним 13/03/26 Птн 21:40:19 26484465 173
Аноним 13/03/26 Птн 21:49:04 26484550 174
image.png 654Кб, 537x755
537x755
>>26483929
Есть ли кто-то здесь, кому ещё не разбила?

мимо
Аноним 13/03/26 Птн 21:52:18 26484581 175
Аноним 13/03/26 Птн 22:00:17 26484664 176
Прежде чем ливать из стриминга за неимением прогресса пусть введет премиум подписку с нюдсами на бусти, финальный аккорд карьеры, а наш тредовский мурмяу купит и сольет итт. Неужели регулярная ебля с любимым парнем не раскрепостит девку, еще в зальчик ходит а это либидо повышает
Аноним 13/03/26 Птн 22:11:21 26484785 177
image.png 397Кб, 736x414
736x414
>>26484581
Понял, ну сорян, она ща зла из-за того, что ей перестал писать, а сама она боится написать из-за того, что её тогда будут шизичкой считать, так всё подвисло в неопределенности
Аноним 13/03/26 Птн 23:51:13 26485844 178
1.mp4 18609Кб, 3840x2160, 00:00:22
3840x2160
2.mp4 3153Кб, 1138x640, 00:00:27
1138x640
а когда-то всё было неплохо
Аноним 14/03/26 Суб 01:46:37 26486654 179
>>26485844
у тебя на каждое её внимание вырезка на память имеется?
Аноним 14/03/26 Суб 03:39:35 26487249 180
>>26485844
Вот потому лучше никак не сближаться со зрителями, не подпускать к себе людей, вдруг это шиз, который начнёт считать тебя своей девушкой только из-за того, что ты из вежливости ему отвечаешь.
Аноним 14/03/26 Суб 07:49:46 26487589 181
>>26487249
Ага типа она из вежливости мне отвечала в скобочках нет, а потому что потекла от меня, а потом так как она была замужем, а я не хотел с ней мутить я сам попросил ее себя заблокировать, чтобы у меня не было соблазна ей писать, но когда она развелась, я попросил себя разблокировать и мы опять стали общаться пока у нас не произошел один конфликт, связанный с тем, что я попросил вилку на канал и она пригорела из за того, что решила, что я только ради популярности с ней общаюсь, да это все чистая вежливость, а я шизик, можешь в это верить сколько угодно, реальность это никак не изменит
Аноним 14/03/26 Суб 07:53:51 26487594 182
Тут спорить бесполезно, если она наберется смелости и перестанет страдать херней, то доказывать ничего не придется, ну а если нет, то можете считать меня шизиком, мне уже пофиг, она просто в этом треде сидит и я ее так байчу на актив
Аноним 14/03/26 Суб 08:25:49 26487639 183
Можете сравнить кстати тайминги моих постов про нее и ее постов в телеге про муравьев и анонс стрима по геогессеру, там разница не большая
Аноним 14/03/26 Суб 08:34:12 26487647 184
Аноним 14/03/26 Суб 08:40:58 26487654 185
chrome-capture-[...].png 88Кб, 1277x200
1277x200
chrome-capture-[...].png 395Кб, 1053x445
1053x445
>>26487647
Там фишка в том, что я ей говорил в начала марта про то, что мне нравится тема с муравьями и хотелось бы ещё такого контента, а последние посты с муравьями были довольно давно ещё в феврале
Аноним 14/03/26 Суб 08:46:42 26487660 186
Ну ещё как микро факт, что когда меня праден меня модером сделал, она меня сдеанонила в чате, написав, что я мурмяу и мне пришлось перед ним потом объясняться, но при этом продолжила смотреть "лучше звоните солу" сидя со мной у него не стримах, хотела бы стримерша сидеть в одном чате с модератором сталкером хмм интересный вопрос
Аноним 14/03/26 Суб 08:52:12 26487670 187
>>26487647
А ты сама попробуй представить ситуацию, что люди могут влюбляться в разных людей, а не просто сидеть на шее у первого попавшегося рандома, Саша Югибани
Аноним 14/03/26 Суб 08:59:35 26487684 188
ебать лор раскрывается, у будьсобой появился достойный конкурент
Аноним 14/03/26 Суб 09:04:25 26487693 189
Аноним 14/03/26 Суб 09:09:21 26487702 190
И почему-то из в её телеге я не заблокирован, интересно почему же сталкер не заблокирован в телеге, сидел в чате фиг знает сколько, да вопросов больше, чем ответов
Аноним 14/03/26 Суб 09:10:46 26487707 191
image.png 32Кб, 215x220
215x220
Возможно кто-то пытается усидеть на двух стульях, получая внимание от интересного ей человека, но с котором зашкварно общаться из-за того, что сама его выставила шизиков в глазах своего сообщества и при этом лутать подарки от теневых
Аноним 14/03/26 Суб 09:40:17 26487801 192
>>26487684
Да мы с ним в одной лодке, просто эмоционально привязались к манипуляншам, которые делают вид, что никак не заинтересованы и, что мы шизики, хотя мы шизики, но в плане, что вообще зациклились на них, но на самом деле сами вытягивают из нас внимание, потому что интереснее людей в их окружении и нет
Аноним 14/03/26 Суб 09:44:24 26487808 193
Да о чём тут говорить, если она меня читала, не блокируя и иногда отвечая все годы охуительной жизни с лаской, принимала подарки в стиме и хоть какой-то контакт, но сохраняла
Аноним 14/03/26 Суб 09:53:10 26487844 194
>>26487670
Как Саша Югибани, я заявляю, что мне нравится мой молодой человек: когда он меня обнимает, целует, проводит со мной время, выдалбливает мою матку своим членом, а так же наполняет мой рот своей спермой. Симпам типа тебя я приказываю продолжать донатить мне и не открывать своë ебло тупое пока не спросят. А я тебя не спрошу, шизло ебучее, но ты можешь попëрдывать в донатах, просто потерпи мой игнор и попуск тебя на потеху. Деньги мне плати, блядь, гнида.
Аноним 14/03/26 Суб 10:15:20 26487920 195
>>26487844
саш ты чё такое говоришь блин...
Аноним 14/03/26 Суб 10:35:56 26488005 196
image.png 392Кб, 752x440
752x440
Аноним 14/03/26 Суб 10:42:05 26488028 197
>>26487844
Лучше математикой займись, а-то так и останешься содержанкой с угасающим онлайном
Аноним 14/03/26 Суб 10:53:14 26488074 198
прикиньте бля додик сидит говорит тёлке которая на изимоде всю жизнь прожила ээ иди математику учи
Аноним 14/03/26 Суб 10:57:40 26488102 199
>>26488074
Я-то в отличие о вас её только хорошего желаю, это вы просто тут издеваетесь над ней, при этом ничего дельного не советуете, а для меня очевидно, что иметь профессию - это база и возможность быть независимой по жизни. И никогда не поздно вернуться в профессию, для этого достаточно просто захотеть.
Аноним 14/03/26 Суб 11:02:49 26488129 200
image.png 404Кб, 640x480
640x480
У меня вот собес в среду в одну крупную it контору, можете пожелать мне удачи
Аноним 14/03/26 Суб 11:27:04 26488275 201
>>26488102
Дело то не в профессии,а в том,что она инфантильная,ленивая,неорганизованная
Какая работа ей подойдёт,если она со стримами не справляется?
Аноним 14/03/26 Суб 13:15:45 26489020 202
Вообще я понял, что лизон - это достаточно мерзкая и ублюдочная тян
Аноним 14/03/26 Суб 13:16:12 26489027 203
я бы даже сказал ублюдонша
Аноним 14/03/26 Суб 13:42:25 26489257 204
>>26487654

ты больной ублюдок
мир не вертится вокруг тебя
Аноним 14/03/26 Суб 13:53:05 26489345 205
>>26489257
Мир не вертится, лизон да
Аноним 14/03/26 Суб 13:58:34 26489383 206
image.png 82Кб, 225x225
225x225
Да и вокруг того чела с пастами мир не вертится, только после его ухода вдруг у сашеньки пропала мотивация стримить, просто совпадение
Аноним 14/03/26 Суб 14:09:02 26489470 207
стримерки поточат ради 1-2 человек, остальные просто боты ради денег, всё так
Аноним 14/03/26 Суб 14:43:01 26489790 208
>>26489257
Да больным пидорасам хуй чё объяснишь, это самое страшное мне кажется, когда у человека нет рефлексии нормальной и он не может остановиться
Аноним 14/03/26 Суб 15:11:04 26490041 209
>>26489790
Да не рвись ты, вы правы, я шизик, все совпадения случайны, никто вокруг меня не крутится, я вообще никому не нужен нахуй, просто пофантазировать приятно, что ты очень важный для кого-то, не понимаю только, почему это вызывает столько агрессии, это двач блять, тут пишут любую хуету, так что расслабьтесь. Я вот выдумал, что стримерша от меня без ума, но боится в этом признаться, это мой манямирок.
Аноним 14/03/26 Суб 15:12:24 26490049 210
Вот ласку она реально искренне любила все годы отношения, это были самые искренние и крепкие отношения в истории отношения, а я просто шизоид из интернета
Аноним 14/03/26 Суб 15:19:34 26490117 211
Просто она по приколу кучу лет читала все мои сообщения, не блокировала, иногда что-то отвечала, угарала видимл над тем, что шизик на что-то надеется, красиво ли это с её стороны уже решать вам
Аноним 14/03/26 Суб 15:19:59 26490120 212
>>26490049
Да иди уже нахуй со своей нерелейт лизон
Аноним 14/03/26 Суб 15:20:49 26490125 213
С одной стороны мы имеет зависимого шизика, а с другой независимую, очень крутую стримершку, не обремененную нравственностью и моралью, ну конечно хуесосить в этой ситуации нужно именно шизика, как он вообще посмел там что-то вякать
Аноним 14/03/26 Суб 15:24:46 26490158 214
Аноним 14/03/26 Суб 15:30:40 26490208 215
>>26490158
Да я ною, это хуйня какая-то, она давно уже могла нормально поговорить и всё по человечески разрулить, но гораздо веселее наблюдать, как человек трепыхается, это просто ублюдочное и мерзкое поведение, которое к тому же находит одобрение у аудитории, что многое говорит и об этой аудитории, ну а с другой стороны, чему удивляться, гнилой стример привлекает гнилых людей.
Аноним 14/03/26 Суб 15:31:36 26490221 216
Это всё и вашей югибани касается, так что всё релэйтед, они очень похожи в этом плане
Аноним 14/03/26 Суб 15:33:04 26490240 217
Просто заебала эта хуйня, что им всё сходит с рук, а хуесосят только зависимых дурачков, которые не могут от них отвязаться, хотя может быть и хотели бы этого, просто те их держат на крючке, иногда давая немного внимания, я считаю, что в этой всей хуйне с преследованиями вина лежит на обеих сторонах поровну.
Аноним 14/03/26 Суб 15:56:18 26490486 218
>>26490240
Отчасти так и есть, ну а как ты хотел, мир несправедлив
Аноним 14/03/26 Суб 16:02:07 26490537 219
chrome-capture-[...].png 175Кб, 485x258
485x258
вот посмотрите на ещё одного зависимого додика кстати, у него уже новая телка, но стул лизон, нахуя спрашивается, в каком месте - это норма, я уж не говорю, что она изначально его ублюдоном называла, хуесосила, тем самым зациклив на себе, а потом окрутила приехав в рф, короче я всё сказал, всем удачи.
Аноним 15/03/26 Вск 08:56:00 26497887 220
image.png 380Кб, 840x473
840x473
Да чет меня вчера прорвало
Аноним 15/03/26 Вск 08:57:53 26497892 221
а ирл-то норм был?
Аноним 15/03/26 Вск 11:23:40 26498572 222
image.png 421Кб, 317x699
317x699
Аноним 15/03/26 Вск 11:25:58 26498591 223
image.png 451Кб, 736x736
736x736
Да ладно, куда все разбежались, нормально же общались, что началось-то, можно и югибани обсудить гайз
Аноним 15/03/26 Вск 11:38:08 26498677 224
>>26497892
А в том то и дело, что никто не смотрел
>>26498591
Этот тред мертворожденный изначально, а потом был просто дневничком шиза. Если ему суждено умереть, пусть умирает. Говно сдохло как говорится
Аноним 15/03/26 Вск 14:14:57 26499939 225
image.png 513Кб, 657x504
657x504
Есть только один способ спасти этот тред... и он вам понравится
Аноним 15/03/26 Вск 14:35:43 26500173 226
>>26499939
Не, нахуй такие спасения. Взять какую-нибудь зануду, и там только полтора инцела влажную хуйню пишут как бы ей очко отлизали.
Шиз не выдержит и вернется, надо только потерпеть.
Аноним 15/03/26 Вск 14:57:05 26500379 227
>>26500173
А нам не просто очко нужно, а очко со спермой ебыря обязательно, это принципиально другой уровень
Аноним 15/03/26 Вск 15:58:18 26500967 228
>>26499939
Вы вообще это понимаете? Типа каждый день теневой спускает сперму ей в пизду, на лицо, на ляжки блять. Сашуля принимает всё это вместе с харчками, а потом смывает, наносит макияж и врубает поток. Пока вы сидите и смотрите, у неё из радолбанной пиздёнки вытекает сперма теневого. Если честно, меня это не на шутку возбуждает. Сейчас буду мастурбировать
Аноним 15/03/26 Вск 20:46:28 26503951 229
image.png 56Кб, 360x360
360x360
Пригласил лизон на свидание, а она меня в блок закинула
Аноним 16/03/26 Пнд 07:59:27 26506679 230
0.png 16Кб, 374x251
374x251
1.png 15Кб, 349x212
349x212
2.png 18Кб, 370x244
370x244
3.png 17Кб, 386x223
386x223
Тоже устрою себе вечер воспоминаний
Аноним 16/03/26 Пнд 07:59:51 26506680 231
4.png 20Кб, 367x248
367x248
5.png 12Кб, 371x190
371x190
6.png 17Кб, 372x271
372x271
7.png 12Кб, 365x193
365x193
Аноним 16/03/26 Пнд 08:01:29 26506685 232
image.png 13Кб, 308x120
308x120
image.png 134Кб, 900x506
900x506
ну и финал
Аноним 16/03/26 Пнд 08:27:02 26506715 233
IMG0166.jpg 874Кб, 1215x1620
1215x1620
Аноним 16/03/26 Пнд 11:48:21 26507428 234
>>26506679
Я хуею как можно всё это не отпустить за такое долгое время. Психопат 6 лет сидел в режиме ожидания ждал расставания с лаской.
Аноним 16/03/26 Пнд 12:03:52 26507510 235
>>26507428
>сидел в режиме ожидания

Не совсем так, я ей продолжал писать всё это время, она читала, иногда отвечала, так что может я и психопат, но её тогда тоже супер адекватной не назовешь, если будучи в отношениях, ты поддерживаешь контакт со сталкером, не блокируешь его, отвечаешь.
Аноним 16/03/26 Пнд 12:07:15 26507522 236
Хотя я делал перерыв и целый год не писал, так потом она мне чуть ли не обиженно ответила, типа а я думала, что ты совсем уже ушел
Аноним 16/03/26 Пнд 12:20:29 26507597 237
image.png 279Кб, 604x331
604x331
И почему сразу психопат, я просто влюбился
Аноним 16/03/26 Пнд 15:59:35 26508947 238
>>26507522
>а я думала, что ты совсем уже ушел
Она думала о тебе, дружище, ну это успех, для многих это уже непостижимая вершина. Считай ты ей в мозг пробрался и поселился там. Поздравляю, ещё через 6 лет она точно будет твоей, главное никогда не сдаваться
Аноним 16/03/26 Пнд 16:27:32 26509150 239
image.png 178Кб, 325x450
325x450
>>26508947
Да нет, я как раз уже заканчиваю эту историю со своей стороны, если Лиза захочет, то она сама может выйти на связь, если бы я не понимал, что то, что я делаю - это не нормально, я бы не стал об этом публично писать, просто хотелось с кем-то поделиться, а так как у лизон нет своего треда, то остался только этот, так как аудитория частично пересекается и многие в курсе ситуации. Мне реально стало лучше, когда я обо всем тут расписал.
Аноним 16/03/26 Пнд 23:12:40 26512932 240
>>26509150

съебись уже от сюда и Лизу оставь в покое
Аноним 16/03/26 Пнд 23:36:13 26513107 241
image.png 2165Кб, 1280x1280
1280x1280
>>26512932
Знаешь, я реально хотел это сделать, но теперь не буду, пожалуй создам ещё пару аккаунтов и напишу ей ещё что-нибудь, попутно буду делиться тут результатами
Аноним 16/03/26 Пнд 23:49:43 26513238 242
image.png 810Кб, 1049x720
1049x720
У вас есть вариант заставить меня съебать с треда, забайтите Лизу мне написать, тогда я уйду
Аноним 17/03/26 Втр 00:25:23 26513434 243
Аноним 17/03/26 Втр 00:25:44 26513437 244
Аноним 17/03/26 Втр 05:56:19 26514406 245
Аноним 17/03/26 Втр 09:02:25 26514635 246
>>26500967
>на лицо
>принимает вместе с харчями
бредик, Сашуля нежная ласковая девочка, ей нравится чувственный романтичный секс, с долгой прелюдией и предварительными ласками, грубость вызывает травмирующие воспоминания о травле в детстве. Ты просто обдвачевался и везде натягиваешь жесткое порно а такое не всем заходит

Я вообще думаю она даже минет теневому не делает и тем более не дает в попу, считает что это унижает женское достоинство, есть у нее такие феминисткие наклонности
Аноним 17/03/26 Втр 10:35:55 26514887 247
>>26514635
Дак она на каждом стриме своей целевой аудитории рассказывает как горловой делает и в жопу даёт, очень нравится слушать такие рассказы, сразу движ в штанах появляется. За это мы её и любим
Аноним 17/03/26 Втр 11:14:08 26515046 248
image.png 481Кб, 1189x1173
1189x1173
Но хотя бы в тг чате мне можно сидеть, это практически успех, может и на свидание согласится всё таки
Аноним 17/03/26 Втр 12:16:18 26515413 249
image.png 2Кб, 62x37
62x37
>>26515046
Ты мне напоминаешь фауста, который алёну клинси сталкерил, прошлый тредовский шиз постоянно пытался переписать реальность под себя, а у тебя именно от тёлки больше зависимость походу
Аноним 17/03/26 Втр 12:44:46 26515555 250
>>26515413
Если сравнивать мою зависимость сейчас и хотя бы пол года назад, то это небо и земля просто и во многом сама Лиза мне и помогает от неё избавиться, так что наши отношениях всё лежат в несколько другой плоскости, чем отношения типичного сталкера и стримерши, как минимум у нас были эпизоды позитивного общения.
Аноним 17/03/26 Втр 13:30:22 26515786 251
>>26515046

создай свой тред имени лизон и сри там, пожалуйста
Аноним 17/03/26 Втр 13:56:55 26515985 252
>>26515786
Ты можешь пожаловаться на нерелэйтед, вот мою математику быстро потёрли, может и сообщения про лизон потрут
Аноним 17/03/26 Втр 17:23:32 26517442 253
image.png 120Кб, 391x1108
391x1108
Аноним 18/03/26 Срд 12:51:39 26523005 254
Стонет.webm 620Кб, 1280x720, 00:00:04
1280x720
Мужчина ААА.webm 1605Кб, 1280x720, 00:00:09
1280x720
Чё как вам резик от Сашульки?
Аноним 18/03/26 Срд 13:10:30 26523111 255
Аноним 18/03/26 Срд 13:41:36 26523254 256
все уже прошли резик, кто это смотрит бле
Аноним 18/03/26 Срд 13:54:14 26523325 257
>>26523254
У неё стримы в основном не из-за контента смотрят, а из-за наличия тянки на мониторе, удержание аудитории намного больше из-за этого
Однажды юняша с фарей проводили кооп по диабло, так у фари к концу стрима онл упал в 2-3 раза, а у юняши совсем немного просел, думаю аналогия понятна. Но даже в такой ситуации она умудрилась всё проебать
Аноним 18/03/26 Срд 14:05:52 26523382 258
>>26523325

подробнее пожалуйста, аналогия непонятна
Аноним 18/03/26 Срд 14:10:43 26523399 259
image.png 118Кб, 1876x585
1876x585
image.png 115Кб, 1883x576
1883x576
>>26523382
Удержание аудитории происходит по вафельному типу
Аноним 18/03/26 Срд 14:17:55 26523433 260
>>26523399
помню как-то заглянул на стрим юняши и она там рассуждала, что хочет, чтобы ее смотрели за то какой она человек, а не за то, что она тянока-писечка
ей было бы неприятно от твоих графиков и выводов
Аноним 18/03/26 Срд 14:19:10 26523440 261
а где противоречие если она как человек писечка-тяночка и не более
Аноним 18/03/26 Срд 18:33:39 26525220 262
>>26523399

ты хочешь сказать, что юняша тяночка писечка и у неё удержание лучше, чем у фари потому, что фаря на девочка писечка? или не достаточно няшная симпатичная тяночка
Аноним 18/03/26 Срд 19:46:10 26525800 263
image.png 75Кб, 1987x700
1987x700
image.png 701Кб, 1000x1000
1000x1000
югибани, разбань меня, я знаю, что ты тут тусуешь, у тебя больше нет причин меня в бане держать, я не преследую Лизу
Аноним 18/03/26 Срд 20:21:41 26526151 264
>>26525220
Фаря нормиска, красотой не блещет, начинала с программирования. Аудитория у неё такая же, смотрят значительно больше из-за контента. Когда у Фари появились отношения с турком (!) у неё вообще никаких просадок не было, потому что у неё здоровое сообщество
В нашем случае сабж очень хочет быть как Фаря, игровиком, своим в доску, но на деле не явлеяется таковой. Про Юняшу вообще молчу, там сразу понятно для кого контент, а тут прямой подлог. Вот я игровик, пришёл смотреть бесконечное аутирование и страдания в играх, а получил вообще не то
Саша была в рекомендациях твича у мэдовской аудитории, у неё был рост за счёт ивентов, но она всё успешно проебала. Сначала специально отбирала именно нездоровую аудиторию симпов, а потом они убежали как крысы с корабля, и остались только абсолютные воины терпения. Как итог: потенциал проёбан, силы уходят, смерть в нищете или на кассе пятёрочки практически обеспечена
Ну и нахуя спрашивается, просто чтобы страдать?
Аноним 18/03/26 Срд 20:24:11 26526170 265
Сорян нейросеть забыла как отступы делать нормальные
Аноним 18/03/26 Срд 21:15:26 26526655 266
Аноним 18/03/26 Срд 21:26:55 26526792 267
>>26526151
>нормиска
>смотрят значительно больше из-за контента
Ты чет походу совсем недавно ее смотришь
Аноним 18/03/26 Срд 21:35:54 26526890 268
>>26526792
Поясню, иногда на стриме интересна только игра (это ивенты всякие киберспортивные), иногда и игра, и стример. А есть третий вариант, где игра это просто фон, и люди будут уходить только если полная духота на стриме

Самый здоровый вариант конечно же второй, и у Саши изначально заявлен именно он, но по факту оказывается вариант номер 3. При третьем варике люди (или скорее фэгготы) приходят активно только на джаст чаттинг, джаст денс, джаст писсинг на ебло симпам, кукинги и всё такое прочее

Конечно это моя спекуляция, я знаю что Фаря стримит иногда джастденс, тысячу раз слышал мемы с её стонами, но это явно не её основной контент, для меня она именно нормиска спортсменка, загоны в голове у неё минимальные

Ебать я быстро пасты сру, вот вам и полноценная замена шизу
Аноним 19/03/26 Чтв 09:21:27 26529345 269
2026-03-1908-49[...].png 14Кб, 383x206
383x206
2026-03-1908-50[...].png 13Кб, 381x115
381x115
2026-03-1909-15[...].png 8Кб, 349x162
349x162
2026-03-1909-16[...].png 22Кб, 376x213
376x213
Я понимаю, что всем похуй, но чисто для югибани, нашёл тут немного позитивного общения с Лизой на одном твитч акке, в основном-то всё было в вк или телеге, но там уже ничего не сохранено...
Аноним 19/03/26 Чтв 09:21:53 26529348 270
2026-03-1909-17[...].png 20Кб, 379x215
379x215
2026-03-1909-17[...].png 13Кб, 366x180
366x180
2026-03-1909-18[...].png 17Кб, 366x191
366x191
2026-03-1909-18[...].png 19Кб, 374x241
374x241
>>26529345
там ещё есть ща покидаю
Аноним 19/03/26 Чтв 09:28:28 26529371 271
2026-03-1909-24[...].png 10Кб, 373x158
373x158
2026-03-1909-24[...].png 15Кб, 371x185
371x185
2026-03-1909-26[...].png 21Кб, 377x176
377x176
2026-03-1909-27[...].png 14Кб, 379x191
379x191
Аноним 19/03/26 Чтв 09:32:06 26529376 272
2026-03-1909-30[...].png 13Кб, 369x208
369x208
2026-03-1909-30[...].png 11Кб, 364x170
364x170
2026-03-1909-31[...].png 19Кб, 374x234
374x234
2026-03-1909-31[...].png 9Кб, 385x135
385x135
Аноним 19/03/26 Чтв 09:35:22 26529387 273
2026-03-1909-33[...].png 17Кб, 389x215
389x215
2026-03-1909-34[...].png 22Кб, 373x232
373x232
>>26529376
вот с випкой была критическая... там ещё есть, но общий смысл думаю понятен
Аноним 19/03/26 Чтв 10:19:02 26529515 274
2026-03-1910-16[...].png 18Кб, 369x216
369x216
2026-03-1910-17[...].png 12Кб, 383x188
383x188
2026-03-1910-17[...].png 16Кб, 369x238
369x238
>>26529387
а вот ещё про тот самый spacechem и она в него реально поиграла на сабдне, потому что её саб заказал по приколу и игра выпала
Аноним 19/03/26 Чтв 10:22:58 26529531 275
2026-03-1910-21[...].png 9Кб, 374x159
374x159
2026-03-1910-21[...].png 12Кб, 382x164
382x164
2026-03-1910-21[...].png 12Кб, 376x199
376x199
2026-03-1910-22[...].png 12Кб, 360x149
360x149
Аноним 19/03/26 Чтв 10:24:15 26529536 276
image.png 2240Кб, 1620x996
1620x996
Я понимаю, что это всё общение из вежливости и она так общалась буквально с каждый зрителем, который ей писал
Аноним 19/03/26 Чтв 12:50:45 26530252 277
>>26529536

Я тебе так скажу - жертва сталкера или интернет абьюза, иногда пытается нормально общаться со своим обидчиком или преследователем, как бы неприятно и страшно ни было. Чтобы держать врага «рядом», на безопасном контролируемом расстоянии. Чтобы не разозлить, чтобы быть хоть от части в курсе происходящего, а не жить в неизвестности. Жертва может даже попытаться таким образом расположить к себе сталкера/ обидчика, чтобы у него не горело и не свербело, это попытка деликатного сдерживания. Держать врага на коротком поводке, это защитная реакция. Но никак не симпатия. Может быть когда- то очень давно, если бы ты остановился, отношения между вами могли бы остаться хотя бы нейтральными. Но точка невозврата давно пройдена, черту ты перешёл. Смирись. Даже если она тебе ответит, разблокирует - это страх, а не интерес или симпатия. Ты слишком сильно себя дискредитировал.
Аноним 19/03/26 Чтв 13:17:45 26530404 278
>>26530252
Да я в принципе согласен и особо ни на что и не надеюсь, но что касается переписки выше, до неё неё я как раз особо ничего такого и не делал, был просто навязчивым, преследование было довольно лайтовым, так что там был позитив, интерес и симпатия (по крайней мере я тогда это чувствовал), но потом да, пиздец начался и сейчас я это всё делаю скорее для себя, чтобы публично об этом рассказав перестать пытаться вернуть это самое позитивное общение из прошлого, за которое я так уцепился. что начал реально преследовать, как ненормальный. Тут опять же я не пытаюсь себя отмыть, чтобы мы типа пообщались, потому что это тоже преследование по сути, потому что цель - достичь общения. Я пытаюсь просто обо всем рассказать, о плохом и хорошем, чтобы перестать за него держаться, в принципе отпустить ситуацию полностью и жить спокойно дальше.

П.С Спасибо за развернутое мнение
Аноним 19/03/26 Чтв 19:58:32 26532813 279
360pPSYGENTLEMA[...].mp4 24482Кб, 640x360, 00:03:53
640x360
Аноним 19/03/26 Чтв 20:00:56 26532827 280
>>26532813
Мужчина, эта палата заполнена, просьба пройти в следующую
Аноним 19/03/26 Чтв 20:06:09 26532873 281
image.png 617Кб, 1200x675
1200x675
Аноним 19/03/26 Чтв 21:26:50 26533468 282
>>26530404

Тебе действительно стоит жить дальше, отпустить ситуацию. Понимаю, что очень неприятно быть в бане. Неприятно, когда не можешь объясниться с человеком. Но забанили тебя за дело. Ты это осознаёшь? Если да, то ты уже на пути к выздоровлению. Забанен ты был за дело и справедливо, даже если ты так не думаешь. Она приняла единственно правильное решение. Хотя видимо пыталась сгладить ситуацию, что ты воспринял как повод и дальше домогаться до девушки, приняв это за взаимность.

У меня была ситуация , когда отлетел в бан ни за что. Началось это лет шесть назад. Тогда в подписках было человек пять и среди них одна девушка. Просидел у неё в чате два года. Очень хорошо общались на трансляциях. Никакого личного общения не было, исключительно стримы. Без флирта, без намёков. Нормальное человеческое общение. Не донатил ей ни разу, к слову. Комьюнити у неё было чисто мужское, в целом приятное общение в чате. Я считал это место «своим». Работал в основном под стримы, практически не пропуская трансляций. Зрителей у неё было человек 20/25. Были там свои яростные симпы, но мне до этого всего никого дела не было. В один прекрасный момент заметил, что меня от неё отписало, а зайдя на стрим понял, что в бане. Забанили везде, хотя нигде общения/диалога не было. Нашли и везде превентивно забанили. Обидно было очень, я считал эти стримы зоной комфорта, а стримера и её зрителей, своими приятелями. Как потом выяснилось, её главный сипм (конечно блять модератор и топ донатер в одном лице) наговорил ей про меня выдуманных гадостей, видимо из ревности. Якобы на других стримах её обсуждаю, гадости говорю, слухи распускаю. Вот так на слово поверила, никаких пруфов, ведь такого не было. Долго переживал. Так и не получилось ни с кем толком поговорить из чата. Тем более с ней. Но в конце концов смирился, что меня кикнули из этого сообщества.

Что и тебе советую. Стримеров и стримерш много, компаний приятных много. Везде можно найти своё. Но тебе надо научиться отпускать людей и ситуации, не зацикливаться. Ты портишь жизнь людям, а себе в первую очередь.
Аноним 19/03/26 Чтв 21:48:50 26533639 283
>>26533468
> Но забанили тебя за дело. Ты это осознаёшь? Если да, то ты уже на пути к выздоровлению. Забанен ты был за дело и справедливо, даже если ты так не думаешь. Она приняла единственно правильное решение.

Ты так пишешь, как будто больше меня знаешь, потому что я уже забыл, там были и баны и разбаны, я уже и не помню в какой момент все пошло по пизде окончательно и почему

>Хотя видимо пыталась сгладить ситуацию, что ты воспринял как повод и дальше домогаться до девушки, приняв это за взаимность.

Ну тут каждый при своём мнении останется. я вижу ситуацию иначе, а как было реально известно только ей.

Да отпускаю отпускаю, не переживай, ты как будто олд лизон и переживаешь, что я до неё всё ещё домогаюсь
Аноним 19/03/26 Чтв 22:04:22 26533772 284
image.png 441Кб, 704x528
704x528
Мне просто уже смешно, как меня раз за разом пытаются убедить в том, что она со мной общалась:

a) Из вежливости
б) Из страха
в) Сглаживала углы
г)...любая другая причина

Как будто манямирок треснет, если вдруг выяснится, что лизон втюрилась в зрителя
Аноним 19/03/26 Чтв 22:06:18 26533790 285
image.png 14Кб, 250x97
250x97
любовь базара ноль
Аноним 19/03/26 Чтв 22:20:18 26533916 286
>>26533790
Я про прошлое говорю, ясно, что сейчас её отношение довольно негативное, если вспомнить, она мне минимум 2 или 3 шанса давала, но я каждый раз вёл себя, как еблан в общении с ней
Аноним 19/03/26 Чтв 22:50:03 26534156 287
Прошлый шизофреник по той же самой методичке цикл шпарил:
- Да, я шиз
- Я всё сказал, ухожу
- Клюет на удочку вниманиеблядства
- Ну вы же тут без меня не можете, вам будет скучно
- кул стори, как югибани лизон на тебя на самом деле не похуй
Аноним 19/03/26 Чтв 22:55:50 26534194 288
>>26534156
Ну для меня - это так-то повышение, потому что до этого я ей в личку годами хуярил, теперь сублимирую привязанность через тред
Аноним 19/03/26 Чтв 23:10:32 26534319 289
image.png 52Кб, 368x218
368x218
Вот моё последнее личное сообщение, ну разве не топовое приглашение на свидание?
Аноним 20/03/26 Птн 02:31:41 26535416 290
>>26533772

Я ошибался. Тебе уже ничего не поможет.
Аноним 20/03/26 Птн 07:49:54 26535759 291
Ты лучше о своей жизни больше думай и о том, почему тебе не похуй что кто-то хочет трахнуть твою любимую стримершу
Аноним 20/03/26 Птн 08:12:14 26535789 292
И от югибани отъебитесь, сидят тут кости тян моют, идите траву лучше потрогайте
Аноним 20/03/26 Птн 08:42:40 26535840 293
2026.png 30Кб, 1063x109
1063x109
Она до последнего будет думать,что парень никак на онлайн не повлиял?
Аноним 20/03/26 Птн 08:43:46 26535843 294
image.png 220Кб, 512x381
512x381
Лиза будет моей!
Аноним 20/03/26 Птн 08:58:01 26535877 295
image.png 145Кб, 450x450
450x450
А Югибани будет со мной дружить!
Аноним 20/03/26 Птн 08:58:26 26535878 296
таков план
Аноним 20/03/26 Птн 09:00:49 26535888 297
они просто ещё не поняли, какой я крутой
Аноним 20/03/26 Птн 09:25:17 26535962 298
image.png 5960Кб, 2048x1536
2048x1536
image.png 6201Кб, 2048x1536
2048x1536
Да по району гулять конечно ещё не очень прикольно, но скоро всё подтает, вырастет трава и будет как на втором пике
Аноним 20/03/26 Птн 09:40:36 26536013 299
image.png 1355Кб, 1797x965
1797x965
узнали, согласны?
Аноним 20/03/26 Птн 09:45:05 26536033 300
Ало здравствуйте мне нужно доставить один конский хуй на дубравную пожалуйста
Аноним 20/03/26 Птн 10:00:11 26536077 301
>>26526151
>я игровик
Да кому ты чешешь, и так понятно что ты симповик, все эти рассуждения о том, что она всё проебала, это твой синдром спасателя-симповика в тебе говорит. Ведёшься на нытьё и на нарратив об онлайне, а нормальному человеку должно быть похуй на это
Аноним 20/03/26 Птн 11:10:07 26536394 302
>>26536077
Ну так я был игровиком, а стал симповиком, причём в моём сообществе (не калсостред) её год форсили когда она совсем нн была. Только потом решил посмотреть её, дать шанс, ведь не нужно совсем предвзято относиться к людям. Плюс она часто игровиков рейдила, которых я смотрел (это сейчас понятно, что это просто чат голосованием выбирал, но тогда то понятно не было). И всё нахуй, сам даже не заметил в кого превратился. До сих пор сам себя ненавижу за это, ведь по сути сам не понял, что это контент для симпов
Аноним 20/03/26 Птн 12:02:26 26536643 303
>>26535840
>нофан
бля этот кук еще хуже жомли, пока остальные симпы особо не поднимают тему трахаря
>if i ignore it it will go away
этот ее педалирует и спешит вставить на стримах, в дисике, в телеге, че у челика в башке вообще
Аноним 20/03/26 Птн 13:47:18 26537226 304
image.png 6Кб, 175x61
175x61
корейская новинка забрала весь онлайн (
Аноним 20/03/26 Птн 15:07:25 26537618 305
123.mp4 5781Кб, 852x480, 00:00:36
852x480
Аноним 20/03/26 Птн 15:17:27 26537716 306
силы симпы уходят
Аноним 20/03/26 Птн 16:07:07 26537976 307
image.png 415Кб, 480x600
480x600
Кажется из преследователя лизон, я превратился в типичного югибани тредовца
Аноним 20/03/26 Птн 17:15:16 26538421 308
>>26537618
бабка уже еле языком ворочает
Аноним 20/03/26 Птн 18:14:31 26538859 309
>>26538421
Да это пиздец, видно, что она солевая. Решила к тому же аниме на стриме смотреть снихуя лол
Аноним 20/03/26 Птн 19:06:45 26539261 310
image.png 54Кб, 209x241
209x241
>>26538859
>снихуя

А я думаешь зря тут аниме пикчи к каждому своему посту прикладываю
Аноним 20/03/26 Птн 19:09:39 26539278 311
Половые связи.webm 1543Кб, 1280x720, 00:00:25
1280x720
Мальчика нежила.webm 577Кб, 1280x720, 00:00:08
1280x720
Опять ебаца.webm 413Кб, 1280x720, 00:00:04
1280x720
А раньше слово секс не могла сказать не кривляясь,сливалась с подобных тем
Аноним 20/03/26 Птн 19:27:45 26539365 312
изображение.png 540Кб, 1200x675
1200x675
Аноним 20/03/26 Птн 20:06:15 26539567 313
>>26539278
она всегда была биобыдлом просто тогда в соло жила и её это давило, а сейчас могает симпоскот
Аноним 20/03/26 Птн 21:41:23 26540315 314
image.png 749Кб, 1024x576
1024x576
Аноним 20/03/26 Птн 22:46:32 26541004 315
>>26539278
какие же безнадежные терпилы на симпах, каждый стрим впитывают информацию о регулярных потрахушках своей кубаноидки, осталась ли в них хоть капля мужского
Аноним 20/03/26 Птн 23:16:55 26541309 316
Надо дойти до уровня вопросов следующего рода

Югибанечка, а тебя последний раз не слишком жестко выебали, ничего не болит?

Югибанечка, а когда тебе спускали в рот, ты сглотнула или сплюнула?

Югибанечка, а ты сегодня сколько раз кончила? А твой парень сколько палок смог, больше чем обычно или меньше?
Аноним 20/03/26 Птн 23:26:48 26541391 317
image.png 177Кб, 473x355
473x355
Нет а реально, зачем преследовать лизон, если можно тут рофлить с югибани, этот тред дал мне новую струю
Аноним 20/03/26 Птн 23:46:00 26541584 318
>>26541391

жду список твоего любимого аниме
Аноним 21/03/26 Суб 09:22:23 26543251 319
chrome-capture-[...].png 443Кб, 1587x1245
1587x1245
chrome-capture-[...].png 470Кб, 1587x1245
1587x1245
>>26541584
sure why not, я немного смотрел, но то, что смотрел запомнилось порой больше, чем фильмы
Аноним 21/03/26 Суб 09:28:15 26543259 320
image.png 824Кб, 1460x821
1460x821
а сейчас магическую битву смотрю
Аноним 21/03/26 Суб 11:11:56 26543634 321
2026-03-21.png 194Кб, 959x305
959x305
Бля в подсос треде обсуждения больше чем здесь,этот тред можно оставлять для нытья шизов,мурмяу свалит и другой займёт его место,мб прошлый шиз вернтся>>26539278
Аноним 21/03/26 Суб 11:15:48 26543664 322
>>26543634
я не свалю пока югибани меня не разбанит, тем более, что она тут сидит и со мной общается

вот это её посты

>>26541584
>>26532827
>>26530252
Аноним 21/03/26 Суб 11:49:18 26543822 323
>>26543634
Стримерша скрывает теневого - лживая мразь трясется за онлайн
Стримерша спокойно его упоминает - ...
Аноним 21/03/26 Суб 12:05:09 26543892 324
image.png 193Кб, 640x360
640x360
Да всё просто, если как вы тут писали, у неё до этого парня восемь лет никого не было и она из-за этого парилась, то теперь она хочет об этом говорить при первом удобном случае, хвастать и тд, для неё это супер важно и она достигла своей голубой мечты, так что пока она не будет относиться к отношениям, как к чему-то обыденному, это и будет продолжаться
Аноним 21/03/26 Суб 12:09:29 26543924 325
>>26543892
ну и плюсом, она видимо так тешит своё чсв на фоне зрителей, которые в большинстве своём инцелы, которые смотрели фемцелку и теперь она вырвалась из этой касты и чувствует своё превосходство над одиночками
Аноним 21/03/26 Суб 12:19:37 26543992 326
>>26543892
Да у неё в голове насрано,она сама говорила что ей без отношений норм,но насмотрелась тиктоков и типа у других есть значит и мне надо
Аноним 21/03/26 Суб 13:47:55 26544593 327
image.png 730Кб, 840x735
840x735
EZ EZ EZ
Аноним 21/03/26 Суб 13:48:23 26544597 328
прошло всего 15 минут а тупая инфантильная тварь уже плачет.
ей еще вчера сказали про качество, у нее были целые сутки чтобы хотя бы посмотреть что не так, и попытаться что то сделать
но уебище и бровью не повело.
наверное была слишком занята полированием хуя своего теневого
Аноним 21/03/26 Суб 13:49:44 26544608 329
image.png 526Кб, 697x639
697x639
Аноним 21/03/26 Суб 13:53:16 26544636 330
>>26544608

даже заплаканная она выглядит как королева этого мира
Аноним 21/03/26 Суб 13:57:48 26544679 331
>>26544636
а за что тебя забанили в дисике?
Аноним 21/03/26 Суб 14:01:59 26544720 332
>>26544679

эмм, вы меня с кем-то путаете,эммм
Аноним 21/03/26 Суб 14:08:57 26544782 333
>>26544720
так а нахуй ты тут сидишь, симподаун, иди в дисик такие посты пиши
Аноним 21/03/26 Суб 14:09:09 26544783 334
image.png 24Кб, 388x632
388x632
Илита
Аноним 21/03/26 Суб 14:40:25 26545056 335
Симподаун будьсобой опять срёт в треде клипами и скринами со стрима шершули, я съебую потому что даже ебальник этот видеть не могу, спасибо тредовским за приятное общение
Аноним 21/03/26 Суб 14:42:45 26545079 336
image.png 407Кб, 768x432
768x432
Аноним 21/03/26 Суб 15:38:38 26545562 337
>>26544608
срочно член теневого чтобы утереть слезки, можно на chaturbate, там симпы продолжат восторженный просмотр, будут рофлить
Аноним 22/03/26 Вск 10:36:08 26550765 338
image.png 468Кб, 699x947
699x947
Аноним 22/03/26 Вск 11:14:36 26550939 339
image.png 19Кб, 379x191
379x191
image.png 26Кб, 370x187
370x187
image.png 28Кб, 370x243
370x243
image.png 22Кб, 377x215
377x215
Короче ща будет контент, я нарыл ещё один твитч акк с котрого писал Лизе в 2021 - 2022 годах, отношения с лаской меня так разъебали, что я стал просто нытиком...
Аноним 22/03/26 Вск 11:16:02 26550951 340
image.png 38Кб, 386x235
386x235
image.png 24Кб, 381x184
381x184
image.png 27Кб, 380x183
380x183
image.png 17Кб, 383x177
383x177
Аноним 22/03/26 Вск 11:20:20 26550970 341
image.png 31Кб, 381x209
381x209
image.png 22Кб, 371x192
371x192
image.png 32Кб, 369x233
369x233
image.png 16Кб, 373x119
373x119
Аноним 22/03/26 Вск 11:27:21 26551028 342
image.png 33Кб, 389x225
389x225
image.png 28Кб, 385x206
385x206
image.png 29Кб, 377x225
377x225
image.png 30Кб, 395x256
395x256
Аноним 22/03/26 Вск 11:28:57 26551041 343
image.png 29Кб, 356x202
356x202
image.png 29Кб, 381x223
381x223
image.png 36Кб, 389x215
389x215
image.png 32Кб, 383x211
383x211
Аноним 22/03/26 Вск 11:30:57 26551059 344
image.png 38Кб, 381x239
381x239
image.png 28Кб, 390x232
390x232
image.png 20Кб, 352x154
352x154
image.png 22Кб, 379x152
379x152
Аноним 22/03/26 Вск 11:33:08 26551072 345
image.png 32Кб, 385x188
385x188
image.png 39Кб, 372x241
372x241
image.png 31Кб, 357x229
357x229
Аноним 22/03/26 Вск 14:35:11 26552319 346
Самая жалкая хуйня, которую я читал в своей жизни
Аноним 22/03/26 Вск 14:37:27 26552334 347
image.png 294Кб, 480x411
480x411
Аноним 22/03/26 Вск 16:04:35 26552970 348
>>26551072
Как здорово, что ты излечился и совсем не ебанутый теперь. Индус может гордиться своим модером.
Аноним 22/03/26 Вск 16:22:55 26553108 349
image.png 1057Кб, 1680x1050
1680x1050
Аноним 22/03/26 Вск 18:02:18 26553958 350
Опять нытьё про онлайн и удачу повезло не повезло
При этом она сама говорила,что стримила каждый день и так набрала аудитрию
Сама говорит,что игры никто не смоттрит,но при этом хочет быть игровиком
И последние стримы говорит я не знаю о чём говорить,но пиздит по два часа
Я бля бля
Аноним 22/03/26 Вск 18:30:02 26554197 351
>>26553958
> хочет быть игровиком
>не стрмлю овервортч (единсвтенная игра, которая нравится), потому что онлайн падает
>в это играть не хочу
>в это играть не буду
>ну это подумаю
>геогессер хихи хаха
Вот уж не повезло
Аноним 22/03/26 Вск 20:00:45 26555082 352
photo2026-03-22[...].jpg 121Кб, 944x1280
944x1280
Ухх бля
Аноним 22/03/26 Вск 20:15:26 26555180 353
image.png 96Кб, 225x225
225x225
крутая
Аноним 22/03/26 Вск 20:49:23 26555471 354
>>26555082
ууух бля как же сладко она ебется с теневым после зальчика который повышает либидо у тяночек, буквально использует югичку в ее прайме
Аноним 22/03/26 Вск 21:21:18 26555697 355
>>26555082
поч до сих пор не сдеанонили зал в к-ром тренит угабуга?
Аноним 22/03/26 Вск 21:45:16 26555865 356
>>26555697
потому что это первая фотка из зала от нее на которой видно обстановку в зале
Аноним 22/03/26 Вск 21:45:39 26555869 357
>>26555697
напоминает ddx fitness на лиговском
Аноним 22/03/26 Вск 21:50:54 26555908 358
>>26555082
Жаль эту соску ген. лотерея нормальным голосом обделила. Каждый раз диссонанс, вспоминая как она разговаривает.
Аноним 22/03/26 Вск 22:28:42 26556164 359
image 89Кб, 1122x722
1122x722
image 141Кб, 1500x1000
1500x1000
image 144Кб, 1500x1000
1500x1000
image 403Кб, 944x1280
944x1280
>>26555082
по смене покрытия, расположению урны и общей планировке очень похожа не на DDX в Лондон Молл
Аноним 22/03/26 Вск 22:35:12 26556229 360
image.png 444Кб, 790x736
790x736
>я не сталкер, это просто спортивный интерес
Аноним 22/03/26 Вск 22:38:00 26556261 361
в следующий раз лучше замыливать фон, если бы кто-то реально преследовал он бы нашёл молча, а не предупреждал
Аноним 22/03/26 Вск 22:42:37 26556303 362
выглядит круто конечно, есть прогресс, последний раз когда видел была похожа на грушу, а тут рили что-то на полуспортивном
Аноним 22/03/26 Вск 22:58:28 26556433 363
>>26556164
теперь неделя без стримов, потому что в треде был сталкер и надо менять зал и вообще из дома не выходить, чтобы не узнали маршруты передвижения и вообще где живет
Аноним 22/03/26 Вск 22:58:51 26556436 364
>>26556164
В 2024 сразу 4 твичевских сисичек встретил вживую на стендапе юняши в 2024. Казалось каким-то волнительным ахуем их прямо перед собой увидеть. югибани в баре даже рядом сидела.
На деле хуйня кстати. ну встретил и встретил, если там кто реально в качалку побежит записываться. Тут еще и палево жесткое.
Аноним 22/03/26 Вск 23:02:10 26556466 365
>>26556436
тредовского будет легко узнать - он будет жирным, прыщавым и начнёт с самого лёгкого веса или с женских гантелек
Аноним 22/03/26 Вск 23:05:41 26556495 366
image.png 463Кб, 640x640
640x640
>>26556466
Нихуя, я в форме, лизон подтвердит, я ей фотки кидал, жил бы в питере по рофлу может и записался бы в зал, если бы жил недалеко, но даже записавшись, шанс встретить невысок, я ходил в зал рядом с домом, куда ходили несколько одноклассников, так вот видел я их крайне редко
Аноним 22/03/26 Вск 23:07:43 26556514 367
>>26556495
а я карлик, меня ваще примут за ребёнка, эсли приду в зал - скажут, ты чё потерялся, малыш, давай найдём твоих родителей
Аноним 22/03/26 Вск 23:13:50 26556556 368
господин М, удалите этот пост >>26556164
я думаю Сане донесут инфу и она поймёт, что надо быть осторожней с такими фото
спасибо
Аноним 22/03/26 Вск 23:28:56 26556676 369
image.png 413Кб, 1000x565
1000x565
>>26556556
Да пусть остается, хватит уже бояться сталкеров, реально тех, кто что-то хочет плохое сделать по пальцам, великий и ужасный мурмяу просто писал с тысячи аккаунтов, как статуя с тысячей рук, опасность сталкеров сильно преувеличена, бояться по сути нечего, максимум кто-то попросит сфоткаться
Аноним 22/03/26 Вск 23:36:53 26556725 370
Вообще я рад, что Саша какой-то завозик оформила, а то я уже задолбался тащить тред на себе
Аноним 23/03/26 Пнд 03:58:53 26557471 371
Аноним 23/03/26 Пнд 07:49:28 26557604 372
>>26556466
нет, я вот в нормальной форме внешне, в башке насрано, меня бы выдал только стояк на принцессу Юги рядышком, но я чет подозреваю что она с парнем туда ходит
Аноним 23/03/26 Пнд 07:57:11 26557610 373
>>26556303
>втянула пузо максимально
>отвернула свою гигантскую рыхлую жопу
аналитик из фаг:
>есть прогресс, последний раз когда видел была похожа на грушу, а тут рили что-то на полуспортивном
Аноним 23/03/26 Пнд 08:40:31 26557671 374
Аноним 23/03/26 Пнд 17:20:31 26560529 375
image.png 440Кб, 460x656
460x656
Аноним 23/03/26 Пнд 18:34:19 26561188 376
>>26556164
10 лет назад ходил туда, благо живу в 5 минутах, но там тогда еще был нищий хэппи фитнесс.

>>26557610
Да это шизик, она в штаны-то с трудом уже влазит, лол.
Аноним 23/03/26 Пнд 18:35:49 26561196 377
image.png 280Кб, 800x450
800x450
Вот меня тут считают злодеем, плохим человеком, сталкером, а я изначально вообще начал писать, когда лизон приехала с тян хаты и разнылась, как ей одиноко, как ей не с кем пообщаться и мне её жалко стало, решил написать, ну вот это маневр стоил мне 8 лет
Аноним 23/03/26 Пнд 19:27:10 26561518 378
image.png 161Кб, 445x705
445x705
а я ещё и олд ласки, ебало моё имаджинировали, когда они встречаться стали, а я надеялся, что когда она в рф переедет мы помиримся и может даже в реале встретимся
Аноним 23/03/26 Пнд 19:38:43 26561575 379
Не был долго в треде, вижу тут очередной шизик завелся. Эт пиздец
Аноним 23/03/26 Пнд 19:43:42 26561601 380
>>26561575
я адекват, я тут прорабатываю психологические травмы, которые мне нанесла лизон
Аноним 23/03/26 Пнд 20:24:54 26561866 381
image.png 2028Кб, 1200x1491
1200x1491
Ну а так, как став девушкой ласки и создав студию разработки игр (которая не выпустила ни одной игры), чсв лизон достигло уже масштабов Супер Тенген Топпа Гуррен-Лаганна и своей важностью она заебала уже всех я думаю, то ситуативной помощницей мне тут выступает сама югибани, кому нужно, чтобы над ними возвышалась охуевшая от своей важности персона под видом подруги?
Аноним 23/03/26 Пнд 20:51:32 26562048 382
image.png 924Кб, 1296x973
1296x973
Поймите, что попуск лизон - это в ваших же интересах югибанеры
Аноним 23/03/26 Пнд 21:11:35 26562228 383
Процесс-то в принципе итак идёт, с мафии мэда она скатилась до мафии арчидоса, цива с дедом балдежом тоже не выглядит, как повышение по социальной лестнице, у прадена в чате она больше не выёбывается, так что дела идёт неплохо
Аноним 23/03/26 Пнд 21:12:15 26562237 384
Аноним 23/03/26 Пнд 21:13:56 26562254 385
Представляю, как у неё жопа горит с этих переписок тут, которые ломают образ ко всему безразличной, холодной и отстраненной персоны
Аноним 23/03/26 Пнд 21:34:32 26562389 386
Вы не подумайте чего-то плохого, всё для её же пользы, может быть она наконец осознает, что просирает свою жизнь и вернётся к научной деятельности, ведь именно на научном вайбе и энтузиазме она и заработала свою популярность, на которой теперь едет уже скатываясь всё ниже и ниже
Аноним 23/03/26 Пнд 21:41:23 26562437 387
image.png 846Кб, 928x900
928x900
А знаете после чьих вопросов она начала активно рассказывать зрителям про нано стержни, проводить лекции и делиться своей научной работой, делать стримы из лабы?

Да да, это был именно я
Аноним 23/03/26 Пнд 22:10:09 26562670 388
лизон тоже ученый?
Аноним 23/03/26 Пнд 22:12:18 26562682 389
>>26562437

как же ты на себе зациклен
ты не на Лизон помешан, ты на себе помешан
думаешь в твоих руках власть которая и не слилась твоему отцу?
Аноним 23/03/26 Пнд 22:20:44 26562728 390
>>26562682
Да это правда, я сам сомневался, но недавно вод пересматривал и она на мой вопрос про наностержни начала активно рассказывать о них, хотя до этого говорила о своей работе только в общих чертах, потом люди из чата стали ещё больше вопросов задавать и так всё и пошло
Аноним 23/03/26 Пнд 22:25:45 26562758 391
image.png 226Кб, 510x565
510x565
>да не бомбит у меня от мурмяу
Аноним 23/03/26 Пнд 22:48:36 26562891 392
bandicam 2026-0[...].mp4 24692Кб, 1032x756, 00:00:38
1032x756
>>26562682
вот вод https://vkvideo.ru/playlist/-230049330_6/video-230049330_456240185?linked=1

с 19:41

до этого вопроса она только говорила, что типа выращивает нано стержни, но именно в этом моменте она начала рассказывать в чём суть, из чего они сделаны и тд и тп, до этого она ни разу об этом так подробно не говорила
Аноним 23/03/26 Пнд 22:52:19 26562918 393
>>26562682
перестаньте кормить юшками этого пидораса и оно уйдет
Аноним 23/03/26 Пнд 22:54:11 26562925 394
image.png 229Кб, 800x450
800x450
>>26562918
Закончим, когда я скажу
Аноним 24/03/26 Втр 04:52:33 26564318 395
>>26562891

так она наверно не знает, что вопрос от того самого шиза
многоликий ты наш
у мальчика нет имени
Аноним 24/03/26 Втр 07:33:53 26564459 396
На этот момент я ей уже написал впервые и она мой ник знала, так что тогда все было довольно неплохо она еще на том стриме надувное сердце на шею надела, когда я в чате это предложил
Аноним 24/03/26 Втр 08:38:25 26564589 397
image.png 1477Кб, 1920x1080
1920x1080
Я тут просто закрываю бреши в истории, где до этого люди только слышали, что она мне ответила один раз из вежливости, а потом я решил, что она моя девушка и начал её преследовать, но это мягко говоря далеко от реальности
Аноним 24/03/26 Втр 08:40:55 26564599 398
image.png 502Кб, 1080x608
1080x608
кстати может кто-то помнит, как она в Болгарии была и пошла на пляж со стримом, после чего её забанили из-за голого ребёнка, так это моя заслуга, я ей тогда писал, что она достала сидеть на стримах и сходила бы хоть на море, ну и вот
Аноним 24/03/26 Втр 08:43:38 26564608 399
По сути все эти годы я и был теневым в некотором ебанутом смысле
Аноним 24/03/26 Втр 08:45:23 26564612 400
ласка был для отвода глаз, а все эти годы она читала мои сообщения
Аноним 24/03/26 Втр 08:51:55 26564632 401
мы с ней ментально связаны, даже сейчас я сижу в её тг чате и она ничего с этим делает, хотя у той клинси фауст отлетает при первом появлении в комментах
Аноним 24/03/26 Втр 08:52:49 26564636 402
Меня просто самого эта ситуация заебала поэтому я и вынес это всё в публичное поле
Аноним 24/03/26 Втр 08:54:43 26564640 403
Это конечно очень лестно, что стримерша вычитывает все твои сообщения, но хотелось бы чего-то большего, либо уже закончить эту историю
Аноним 24/03/26 Втр 09:01:51 26564666 404
image.png 1782Кб, 1920x1038
1920x1038
Можно сказать, что я тут её пытаюсь замотивировать на активные действия в свой адрес, потому что лично писать ей или каким-либо образом связываться с ней я больше не собираюсь, я и в тг чате сижу только, чтобы ей не было одиноко и грустно, так что вот, надеюсь, что теперь все поняли, в чем суть моего пребывания тут
Аноним 24/03/26 Втр 09:06:08 26564681 405
Почему я вообще её типа преследовал, как она выражалась. Да только лишь по тому, что чувствовал, что она сама хочет общаться, но боится этого и думал, что своей активность смогу пробить эти барьеры, но теперь я понял, что это была ошибка и что она сама должна справиться со своими загонами.
Аноним 24/03/26 Втр 09:50:41 26564808 406
image.png 1904Кб, 1440x1090
1440x1090
Я по сути уже почти отвязался сам, могу дальше смотреть аниме и дрочить, мне норм, но вот она реально подсела на мои сообщения в чем и моя вина тоже есть, поэтому я тут это всё и расписываю, может югибани ей поможет отвязаться, может кто-то из вас, но я больше ничего делать не буду, мне нахуй это не надо всё
Аноним 24/03/26 Втр 09:57:27 26564832 407
image.png 794Кб, 1280x685
1280x685
Тем более сегодня у прадена марафон mgs начинается, жизнь прекрасна, надеюсь, что и она прекрасно проведёт время в Грузии и забудет уже обо мне наконец
Аноним 24/03/26 Втр 10:57:18 26565086 408
А чего этот хуесос до сих пор за маму свою не пояснил, которую он запряг с лизон разговаривать. Столько букв насрал, а здесь стесняемся..
Аноним 24/03/26 Втр 11:29:00 26565316 409
>>26565086
Ну я поделился своей влюбленностью, она решила помочь, что тут пояснять?
Аноним 24/03/26 Втр 13:35:33 26566249 410
image.png 640Кб, 858x661
858x661
Аноним 24/03/26 Втр 13:37:02 26566261 411
>>26566249
>когда шизик на будьсобой забаненный всюду до сих пор остается топ спонсором
Аноним 24/03/26 Втр 15:19:29 26567101 412
>>26564681
она тебя прямо сказала «отъебись» или ты слепошара?
не хочет она с тобой общаться
обратись к специалисту, а не сюда писульки высерай
Аноним 24/03/26 Втр 15:27:22 26567177 413
image.png 136Кб, 672x378
672x378
>>26567101
Так я и обратился, тут целый тред специалистов, диагнозы ставят, как нехуй, я сижу, на ус мотаю
Аноним 24/03/26 Втр 15:37:10 26567248 414
Анальный секс.webm 7757Кб, 1280x720, 00:00:39
1280x720
Аноним 24/03/26 Втр 17:42:58 26568192 415
Треду привет.webm 9535Кб, 1920x1080, 00:00:40
1920x1080
Вам привет от Сани
Аноним 24/03/26 Втр 18:17:33 26568445 416
image.png 517Кб, 766x766
766x766
>>26568192
мог бы и весь мой донат вставить
Аноним 24/03/26 Втр 19:04:40 26568928 417
image.png 309Кб, 640x480
640x480
Всем гостям из подсос треда, которые пришли почекать лор мурмяу и лизон добро пожаловать, чувствуйте себя, как дома
Аноним 24/03/26 Втр 19:15:44 26569089 418
image 421Кб, 420x683
420x683
п..привет..
Аноним 24/03/26 Втр 20:28:47 26569883 419
360pЛСПКанкан.mp4 21917Кб, 640x360, 00:04:13
640x360
грустно это всё на самом деле
Аноним 24/03/26 Втр 21:40:22 26570634 420
bandicam 2026-0[...].mp4 6015Кб, 752x624, 00:00:19
752x624
Вот это мой донат и югибани меня не хейтит!
Аноним 24/03/26 Втр 22:15:29 26570977 421
>>26568928

Вопрос серьезный без стёба. Почему ты не хочешь создать свой тред Лизон?
Аноним 24/03/26 Втр 22:42:02 26571185 422
>>26570977
А зачем? Я тут по большей части все публикую даже не для тредовцев, а для самой югибани, потому что она в курсе ситуации, я ей в личку писал, объяснял, но в блокировки отлетел из-за её страха исполрить с лизон отношения, но тред-то она всё равно чекает, я так сказать ищу в ней дружеской поддержки с своих пиздостраданиях, я же не фашу по лизон, а просто замутить с ней хочу, как с тянкой обычной.
Аноним 24/03/26 Втр 22:44:17 26571204 423
Да и я закончил уже не парьтесь, у меня нет больше переписок, историй и тд, я тут просто останусь, как обычный зритель югибани в надежде, что она меня когда-нибудь разбанит
Аноним 24/03/26 Втр 22:45:28 26571213 424
а как сам оцениваешь свои шансы с лизон если югисрака замолвит словечко?
Аноним 24/03/26 Втр 22:52:51 26571259 425
image.png 98Кб, 230x320
230x320
>>26571204
Надежда в действительности есть худшее из зол, ибо удлиняет мучение людей
Аноним 24/03/26 Втр 22:58:49 26571300 426
>>26571213

слишком вкусно ты его кормишь
Аноним 24/03/26 Втр 23:00:20 26571310 427
>>26571213
Довольно высоко оцениваю, если она сможет отнестись ко мне непредвзято, не беря в расчет наши прошлые взаимоотношения.

>>26571259
Да я особо не страдаю от того, что заблокирован, такие правила стримерской игры + женская солидарность
Аноним 25/03/26 Срд 11:52:19 26573646 428
image 650Кб, 497x953
497x953
>не быть в бане
хаха, правило для одного человека, как же ей тяжело написать не для будьсобой
Аноним 25/03/26 Срд 11:54:42 26573656 429
image 48Кб, 600x800
600x800
меня реально никто в жизни так не ненавидел, как югибани, мне кажется, если бы я оказался рядом, она бы точно меня отпиздила и перцовкой уебала сразу не дав даже привет сказать
Аноним 25/03/26 Срд 11:56:47 26573663 430
видать реально что-то неприятное сказал, что настолько злится и не может простить, несмотря на тыщи извинений, причём даже не может сформулировать что именно её настолько задело
Аноним 25/03/26 Срд 11:58:18 26573670 431
>>26573646
А может - это про меня, я так-то тоже в бане
Аноним 25/03/26 Срд 11:58:46 26573671 432
>>26573670
она твои реквизиты не знает, а мои уже выучила наизусть
Аноним 25/03/26 Срд 12:00:31 26573680 433
ты можешь написать любой ник в теории, а я даже если напишу она просто пропалит, а кидать денег с другой карты я не стану, бан так бан, я принимаю это, но я не перестану смотреть то, что мне интересно в любом случае
Аноним 25/03/26 Срд 12:07:25 26573713 434
ей нравится играть в моё унижение и она это снова делает, стоило мне объявиться, этот пункт..
я рад, что она снова на взлёте, пусть топчет меня, если ей это нужно для счастья, я буду её тряпкой об которую она вытирает ноги
Аноним 25/03/26 Срд 12:29:45 26573823 435
>>26573646
Буквально теневой фотографирует, ебать он жирная груша это пиздец, хуесоска под первого встречного легла, симпы наверняка в ахуе
Аноним 25/03/26 Срд 12:34:45 26573847 436
image 60Кб, 972x972
972x972
этот месяц пока отсутствовал решал свои вопросики, если кто-то в треде переживал, то всё обошлось и разрешилось относительно неплохо, подробности не стану говорить, но кто понимает о чём речь, тот понимает

это было стрессовое время для меня, было не до югб вообще, потом я листал, увидел эту фотку из зала, подумал нихуя себе она раскачалась, да живот втянула, выгодный ракурс, но я запомнил её толще, а тут уже что-то проявляется

потом чел в треде предложил поиграть в геогессер по фотке, и я нашёл это место, это было несложно, т.к. сам ходил в подобный зал, узнал стиль DDX фирменный с этими фиол цветами в интерьере, эта сеть есть во многих городах, причём у них на сайте можно посмотреть 3д вид залов как правило

в питере таких залов было не так уж много, я сразу отсеял центр, обратил внимания на спальники и где-то потратил 20 минут и нашёл её зал. ничего сложного, очень спалила эта урна, подсветка и столб, если бы не урна, причём именно для её зала 3д карта недоступна, только отдельные фотки, так что повезло

что планирую делать дальше?
мне казалось, что всё, конец, что югбзависимость завершена, но нихуя, как только мои проблемы в жизни закончились она снова вернулась в мою голову, как эхо которое невозможно игнорировать и чем больше я сопротивлялся, тем громче и ярче она являлась в моих мыслях

меня цепляет её отношение к себе, если бы она была как другие, мне бы давно наскучило, но она другая. знает как меня удержать и делает это настойчиво и умело. эти манипуляции как паутина, чем сильнее сопротивляюсь, тем туже путы.

у мурмяу с лизой было общение, у меня с югибани была лишь игра в обижушки причём обоюдные. каждый считает себя правым и пытается это доказать и она прекрасно это понимает, что несмотря на сказанные извини, мне не было смысла извиняться за её косяки. она должна была извиняться, что вела себя так, а не я.

но по факту ни ей ни мне не нужны извинения, похоже мы так и будем находиться в текущем статусе шиз который не может выбросить её из головы и женщина, которая строит из себя маленькую девочку пугливую. по крайней мере так она не будет париться из-за стримов и челов в чате, я посмотрел пока отсутствовал стримов почти не было, интерес угас, но сейчас он вернётся и дела пойдут в гору.

я готов и останусь, пока это не пройдёт. советы перестать смотреть не сработали.
Аноним 25/03/26 Срд 12:38:34 26573859 437
кстати я кидал 5К прикрепив песню
она её опять не поставила
ожидаемо
но это её проявление ненависти, о которой я давно писал
ей нужен чел, которого она будет ненавидеть и на кого будет спихивать все проблемы
я идеальный вариант
Аноним 25/03/26 Срд 12:45:01 26573882 438
чел кидает бабки = он плохой
потому что она не верит, что она хороший стример, который заслуживает таких донатов, она думает что я к ней клеюсь, это давно уже писал, но у неё нет уверенности в себе, что она реально крутая и я выбрал её не потому что она мне нравится внешне, а потому что мне нравилось то, что она делала и какой интерес своими прохождениями вызывала

для меня сегодня нет на твиче стримера более интересного, чем югб, но лишь тогда, когда она не строит из себя кого-то как в коопах, не надевает маску других стримеров типа надо быть такой хахатушкой изображать радость

я люблю искреннюю югб, когда она не строит из себя кого-то и делаешь что хочет, а не что "надо" для того, чтобы стать успешной
Аноним 25/03/26 Срд 12:53:42 26573917 439
если чё я не против юмора и смеха, но мы русские всегда чувствуем фальш
Аноним 25/03/26 Срд 12:57:08 26573934 440
image 106Кб, 640x640
640x640
image 82Кб, 278x260
278x260
>>26573646
фото для сравнения со спины: было/стало
выводы сами делайте
меня не фигура тут смущает и не теневой (тень-теневой, забавно), а эта уёбищная обувь пожелтевшая, как будто из помойки
почему никто не подарил ей обувь на др и почему она сама это не сделала?
Аноним 25/03/26 Срд 13:02:55 26573972 441
а чё сам не подраишь?
я в домике бане, у меня алиби, хотя 10К на др я закинул
мне теперь даже заказ фильмов запрещён

если бы она ещё могла чё-то мне запретить, сделала бы это!
вектор мышления понятен
Аноним 25/03/26 Срд 13:05:00 26573981 442
Аноним 25/03/26 Срд 13:05:10 26573982 443
image 309Кб, 1280x960
1280x960
блять я не могу в это поверить, месяц её не парил, не беспокоил
вернулся, кинул 5К
и она правило запрета заказа фильма пишет, хотя раньше смотрела

чё изменилось за этот месяц? опять я нихуя не делал и наказан за чё-то
Аноним 25/03/26 Срд 13:06:26 26573987 444
наказан за то что отсутствовал?
Аноним 25/03/26 Срд 13:08:59 26574003 445
image 70Кб, 1080x1080
1080x1080
забанен за его доброту
Аноним 25/03/26 Срд 13:12:15 26574020 446
я всё же считаю, ей кто-то мозги промывает и подстрекает против меня
не могу поверить, что она такая злыня

Комрад, ето ты? Или Джом? Гадко.
Аноним 25/03/26 Срд 13:17:22 26574036 447
image 70Кб, 1280x720
1280x720
что-то про тянукус было сказано за это время или они так и булки мнут?
Аноним 25/03/26 Срд 13:19:04 26574043 448
image 104Кб, 258x307
258x307
image 2Кб, 126x36
126x36
фильм сегодня смотреть не буду меня этот пункт расстроил, тем более хотел заказать
Аноним 25/03/26 Срд 13:26:04 26574078 449
image 6Кб, 293x324
293x324
ЖЧ2
ППЦ2
Мулен Руж
10 причин моей ненависти
Карта Совершенных мгновений
Ирония Судьбы
...
какие же сложные душные фильмы я заказывал, нереально смотреть такое даже за деньги, пнмаю
Аноним 25/03/26 Срд 13:38:19 26574134 450
Аноним 25/03/26 Срд 13:38:40 26574137 451
>>26574036
когда-то хотели собраться осенью, после этого ничего не слышал
Аноним 25/03/26 Срд 13:39:57 26574144 452
>>26574036

про тянукус ни слова, стримерши совсем друг от друга отдалились
скорее всего возвращения легенды не будет
но ганбугай приглашена на какой-то другой ивент
Аноним 25/03/26 Срд 13:42:30 26574156 453
Аноним 25/03/26 Срд 13:47:11 26574176 454
>>26574144
ивент хачедоза, в котором опять будет приседать в лосинах, кайф
Аноним 25/03/26 Срд 14:11:37 26574289 455
>>26574176

зря она согласилась
как будто его аудитория совсем ей не подходит
а кто будет донатить на игры, ты готов?
Аноним 25/03/26 Срд 14:13:18 26574295 456
>>26574078

хорошо, что ты вернулся
читать высеры мурмяую очень тошно и не так весело
Аноним 25/03/26 Срд 14:16:28 26574307 457
image.png 629Кб, 1065x810
1065x810
>>26574295
А это и не для тебя писалось, я-то своих целей достиг и теперь закрепляюсь в лизоновском тг чатике
Аноним 25/03/26 Срд 14:18:08 26574316 458
>>26574295
вернулся в говно окунулся, примерно такое состояние
я не ждал фанфар, но она сразу же начала эту давку
Аноним 25/03/26 Срд 14:20:08 26574323 459
ни для кого не хотел быть таким "врагом", оч жаль, что для неё стал и с этим ничего не сделать
Аноним 25/03/26 Срд 14:21:22 26574327 460
image 2Кб, 112x112
112x112
тяжело быть фанатом, когда тебя постоянно давят, но я держусь
Аноним 25/03/26 Срд 14:24:51 26574340 461
image 173Кб, 960x1280
960x1280
я наверно след стрим на твиче гляну и опять попробую уйти в себя, думал подольше задержаться, но эта хуйня с запретом заказа фильма для меня меня добила, оч жестоко
Аноним 25/03/26 Срд 14:26:17 26574347 462
хочу чтобы она меня застрелила уже
Аноним 25/03/26 Срд 14:30:39 26574371 463
Бедненький шиз, пожалейте маленького, смотрите какая злобная стримерша, не кормит шиза вниманием, не хочет выслушивать его возмущения по поводу фильмов, ужас
Аноним 25/03/26 Срд 14:33:18 26574384 464
Иронично, что когда я первый раз Лизе предложил пообщаться 8 лет назад, она ответила, что всё общение происходит в чате дискорда (ща он мертв, на смену пришёл тг) и в итоге я к этому и пришел, но надо было проебать кучу времени из-за упрямства и эгоизма...
Аноним 25/03/26 Срд 14:34:57 26574398 465
>>26574371
моя жизнь имеет 3 события, которые изменили её оч сильно:
1. пневмония перенесённая в месячной изоляции когда я выпал из социума в садике когда все только знакомились и я вернулся оттуда все уже сдружились
2. смерть мамы, которая меня била за тройки, ругала за 4, заставляла пить пиво, никогда не хвалила за достижения типа олимпиады и театральные премии, внушала мне вину
3. югибани
Аноним 25/03/26 Срд 14:39:54 26574434 466
возможно она хотела подружиться, но я не умею дружить, у меня нет этого навыка
я просто хотел быть зрилом
Аноним 25/03/26 Срд 14:50:56 26574499 467
goaway.mp4 323Кб, 500x500, 00:00:01
500x500
соблюдал все правила чата и дискорда
ничего не выносил на стримы
сюда писал да, но разве следить за зрителем это норма?
сдеанонили меня не по своему желанию.
и она это первая начала назвав меня двачером, хотя сама двачерша
пассивная агрессия, обвинения, баны, не поставленные песни и фильмы, у меня были поводы высказать своё мнение именно этим я и занимался, причём напирая что проблема во мне, а не в ней, брал вину на себя, там где объективно виноваты двое

конечно реагировал резко, говорил прямо, наверно надо было сглаживать углы или послать нахуй сразу, но мне реально нравился её контент и стримы, мне было интересно смотреть прохождения и во мне боролись две крайности, да и сейчас я взвешиваю плохое и хорошее и как будто плохое уже давно перевесило даже то хорошее, что было, я не знаю что ещё держит меня тут, это просто идиотизм, шиза как вы пишите

я очень бы хотел чтобы она пропала, чтобы всё забылось, это то, что мне нужно, чтобы жить дальше
Аноним 25/03/26 Срд 15:07:23 26574581 468
image 8Кб, 257x310
257x310
я пробовал всё, что мне советовали: психолога, общение с друзьями на эту тему, путешествие, изоляцию вдали от интернета и людей, секс, флирт, пробовал погрузиться в творчество, в работу, пробовал смотреть других стримеров, игры, фильмы, сериалы, спорт, пробовал делая значительные перерывы от треда и стримов, но всё равно срывался

не пробовал только спиртное и вещества, но не думаю что это бы помогло

ничё не сработало и не сработает, мне кажется только смерть может избавить меня от этого, но я хочу жить, вот только раньше я просто жил, а сейчас всё через эту призму, как будто пыточная, ничего не радует, ничего не вызывает эмоций
Аноним 25/03/26 Срд 15:14:31 26574609 469
я думаю если она хочет от меня навсегда избавиться у неё есть только 3 варианта:
1. убить меня
2. простить меня
3. терпеть
Аноним 25/03/26 Срд 15:16:16 26574621 470
А как же популярная девочка, с которой у тебя уже всё на мази, и ты даже скрины переписки сюда кидал, это что, ФЕЙК? Ну нее, я не верю, ты же не пиздабол, слово которого ничего не стоит, не может быть такого. Наверное она просто не может тебе помочь по настоящему, да?
Аноним 25/03/26 Срд 15:22:13 26574644 471
image 12Кб, 555x427
555x427
>>26574621
мы с ней общаемся, она мне видосики кидала, причём даже с общественного туалета

такие как ты думают что тут речь про любовь, у вас стереотипы, как у мурмяу с лизон, у меня другое, травматичное, более глубокое

это не любовь, это вообще впервые в жизни, я любил разных девушек, то что я югб это не любовь

это разочарование в человеке которого считаешь крутым, когда твой кумир оказывается тем, кто тебе делает больно и издевается над тобой, обесценивая то, что ты для него делаешь

более менее сформулировал, но на деле всё сложнее
Аноним 25/03/26 Срд 15:22:24 26574645 472
>>26574581
Я понимаю, что тебе это не сильно поможет, но я пять лет в аду жил ментальном во время отношений ласки и лизон, это стриггерило все мои загоны и комплексы разом и вылезал я через занимание себя различными занятиями, например научился с нуля собирать компы, разобрался в них на очень высоком уровне, тратил на это кучу времени и так далее, мой совет занимать себя чем-то, что тебе интересно и уходить туда с головой
Аноним 25/03/26 Срд 15:26:36 26574665 473
представь, что у тебя был бог, которому ты приносишь дары, через свои молитвы, добрые слова, приносишь ему пожертвования, но вместо ожидаемого благословения получаешь бурю, землетрясения, ад на земле

ты стоишь и вопрошаешь ЗА ЩО, а тебе бог даже ничего не говорит, он где-то услышал что ты прошептал и до него донесли какие-то слухи, скорее всего переврав 10 раз

и ты бы рад был исправиться, измениться ради своего бога, но ты даже не знаешь что именно не так?

как будто само твоё существование ему противно
Аноним 25/03/26 Срд 15:30:15 26574681 474
мне был поставлен ультиматум, который поставил меня в патовую ситуацию (это было осенью 2024):
1. я ухожу по сути без шанса вернуться
2. я возвращаюсь - меня банят

я выбрал вернуться и меня забанили, но если бы я не вернулся я фактически уже был в бане, два стула бан или бан, разница только добровольный или от югб, я выбрал чтобы казнила она

она сделала это вне стрима
Аноним 25/03/26 Срд 15:37:49 26574709 475
и сам этот ультиматум я не мог принять, почему именно мне нельзя уходить, а другим можно? что во мне такого особенного, что для меня особый котёл, особое негативное отношение было и есть?

я был максимально вежливым тогда, даже там где мои права топтала, заказы игнорила. но сколько можно когда это регулярно происходит а человек тебе говорит что это случайность, но блять когда это постоянно только с тобой, а с другими всё ок, наверно это всё таки ОСОБОЕ негативное отношение
Аноним 25/03/26 Срд 15:40:40 26574727 476
ребят, а раз у вас такая тряска от баб средней внешности на мониторе, может таблеточки какие-нибудь попить чтобы в себя прийти
медицина всё-таки существует
Аноним 25/03/26 Срд 15:42:33 26574740 477
>>26574727
выпиши рецепт, я пропью какие надо
Аноним 25/03/26 Срд 15:46:53 26574763 478
>>26574727
Да дело не в бабах, а в изначальной ебанутости, это как подорваться на минах, которые были давно заложены и о которых не подозревал
Аноним 25/03/26 Срд 15:58:36 26574808 479
когда мать меня ругала и била я тоже пытался дуумать что это не со зла, но когда вырос я понял что она была просто алкашкой неудачницей, которая свою хуёвую жизнь и проблемы срывала на мне

югб тоже самое
Аноним 25/03/26 Срд 16:01:00 26574820 480
но только не я виноват в её проблемах в стримах и жизни, наоборот, я сделал эту жизнь и стримы немного лучше, а в благодарность получил то что получил

и чёт ещё унижаюсь тут, продолжаю думать что в ней что-то есть хорошее, напрасно конечно же

ПОШЛА НА ХУЙ ЮГИБАНИ
ПОШЛА НА ХУЙ ЮГИБАНИ
ПОШЛА НА ХУЙ ЮГИБАНИ
Аноним 25/03/26 Срд 16:01:17 26574821 481
Югибаневский шиз, ты обязан сегодня во время кинострима кидать ей донаты со всеми претензиями и обидами, это твой единственный выход для закрытия ситуации
Аноним 25/03/26 Срд 16:02:25 26574828 482
image 2Кб, 53x51
53x51
НИ РУБЛЯ НИ КОПЕЙКИ НИ СООБЩЕНИЯ БОЛЬШЕ
.
Аноним 25/03/26 Срд 16:04:08 26574835 483
>>26574828
эээ, а теневому так то есть нужно тоже и в корею сгонять, ну ничё-ничё, скоро включится идеализация и всё по кругу
Аноним 25/03/26 Срд 16:05:53 26574841 484
image.png 914Кб, 1200x882
1200x882
Чувак, ты слишком вежливый, нам нужно поменяться местами, я был излишне агрессивен, гиперактивен и навязчив, а ты просто вежливый и пассивно агрессивный, я вот стал вежливым и спокойным (относительно), а тебе нужно ворваться в донатах и разъебать её по фактам, просто скажи ей всё, что ты хочешь сказать, но считаешь неуместным или неудобным, тебе точно станет легче, покажи свою ярость
Аноним 25/03/26 Срд 16:08:39 26574859 485
>>26574828
Ты держал в себе все претензии месяц, и во что это вылилось? В пасты, слишком сопливые даже для тянок, тьфу блять. В тебе же мужского не осталось нихуя, единственный реальный выход — дать своему главному обидчику знать, что больше она не властвует над тобой. Как это сделать? Для тебя последний оставшийся способ — донат, дерзай
Аноним 25/03/26 Срд 16:10:04 26574866 486
image.png 29Кб, 377x225
377x225
>я был излишне агрессивен
Аноним 25/03/26 Срд 16:12:22 26574879 487
>>26574866
Тут она меня потушила уже отношениями с лаской, я говорю про 2020 год, там пиздец был, на дум этернал например жаль водов нет, на хпг 2 я её вдалбливал в асфальт, когда её наруто заставили перепроходиь да и в личке половина сообщений ей - это разъебы на тему того, что она не с теми людьми общается, не так живёт и тд
Аноним 25/03/26 Срд 16:17:23 26574904 488
image.png 1492Кб, 2038x532
2038x532
вот как пример
Аноним 25/03/26 Срд 16:18:37 26574909 489
image.png 1757Кб, 2277x599
2277x599
Аноним 25/03/26 Срд 16:50:19 26575107 490
>>26574740
я не врач, но уверен, что если ты высрешь специалисту хотя бы половину того что насрал тут — он найдет средство
Аноним 25/03/26 Срд 17:07:13 26575225 491
image 468Кб, 490x734
490x734
>>26574859
>держал в себе все претензии месяц
чушь
не было никакой агрессии, я был в самоизгнании и занимался своими проблемами
я вернулся когда она запостила фото с зала и зкинул её 5К типа ты круто выглядишь, заказал непоставленную песню

сегодня она делает УКОЛ в мою сторону пишет вторым пунктом буквально агрессия в мой адрес

за что блять, я нихуя плохого не делал, она неисправима, ничего не поменялось, только делаешь что-то доброе в ответ сразу ТАКОЕ, ей обязательно надо как-то унизить, что-то сделать плохое в мою сторону

я уже везде забанен, я уже блять максимально её в покое держу, я блять за каждую букву плачу в её адрес написанную, хотя не считаю что там что-то такое за что в принципе следует платить

а она так поступает, издевается, пиздлявая блять, как я должен на это реагировать ещё? никогда такого правила не было

стоило мне объявиться и она его пишет ДЛЯ МЕНЯ, чтобы на меня ещё сильнее давление оказать, втоптать ещё сильнее
Аноним 25/03/26 Срд 17:14:06 26575268 492
зачем эти уколы в мой адрес, она пытается меня разозлить, ок я зол, хочет, чтобы я реально начал её преследовать - нет это не в моём стиле, не добьётся.

но на такие вещи, я буду отвечать словами и говорить, что это очень гадко по отношению к тем, кто делает тебе что-то доброе.
Аноним 25/03/26 Срд 17:20:56 26575307 493
запретов югибани для меня уже больше, чем от правительства
Аноним 25/03/26 Срд 17:25:03 26575338 494
и я бы мог без труда создать новый акк, донатить с другой карты, но я зачем-то придерживаюсь их и ухожу в самоизоляцию

результат ещё хуже, чем когда я рядом тусовался, какой-то парадокс
Аноним 25/03/26 Срд 17:25:54 26575347 495
она говорит тебе про дискомфорт ты её слушаешь уходишь, по итогу отношение ещё хуже, пиздец какой-то
Аноним 25/03/26 Срд 17:27:14 26575356 496
какой другой карты сынчидзе ты рил думаешь там твои реквизиты видно, там только способ оплаты и всё
Аноним 25/03/26 Срд 17:34:38 26575408 497
image 7Кб, 250x71
250x71
пояснить может почему 2 пункт раньше был нормой, а что щас поменялось? из-за того что я 5К кинул? это её разозлило?
Аноним 25/03/26 Срд 17:38:36 26575436 498
>>26574307
А хуй тебе с такими отмазами. Ты неудавшийся клоун и даже как фрик был унылым
Аноним 25/03/26 Срд 17:38:50 26575439 499
>>26575408
Мне кажется она просто шизеет очень сильно. Тебе надо найти кого поглупее, Рыжопич не хочешь?
Аноним 25/03/26 Срд 17:39:59 26575446 500
дистанцируется специально, чтобы ты зарейджил и побежал просить внимание в донатах как обычно. работает как швейцарские часы
Аноним 25/03/26 Срд 17:50:36 26575514 501
image 522Кб, 600x1000
600x1000
Аноним 25/03/26 Срд 17:51:53 26575528 502
добавь правило
- не быть собой
Аноним 25/03/26 Срд 17:52:30 26575533 503
потому что другим людям в бане очевидно можно заказывать
Аноним 25/03/26 Срд 17:53:25 26575540 504
у тебя же есть градация банов, шуточные баны, просто баны, заслуженные баны и будь собой
Аноним 25/03/26 Срд 17:54:11 26575550 505
из первых трёх можно разбаниться
для последнего не будет ни одного разбана никогда
Аноним 25/03/26 Срд 17:54:19 26575552 506
image.png 521Кб, 766x786
766x786
Аноним 25/03/26 Срд 17:55:13 26575558 507
я хуже челов которые дилдаки посылали
хуже челов которые твои контакты тг вбросили в сок
я хуже тех кто угрожал тебе
хуже тех кто подкатывал к тебе
абсолютное зло
Аноним 25/03/26 Срд 17:55:21 26575561 508
177406011787404[...].mp4 1584Кб, 312x200, 00:00:29
312x200
Аноним 25/03/26 Срд 18:00:09 26575605 509
Настройки X
Ответить в тред X
15000
Добавить файл/ctrl-v
Стикеры X
Избранное / Топ тредов