Главная Юзердоски Каталог Трекер NSFW Настройки

Математика

Ответить в тред Ответить в тред
Check this out!
<<
Назад | Вниз | Каталог | Обновить | Автообновление | 500 46 269
Алгебра Аноним 25/10/16 Втр 18:14:59 20 1
163Кб, 800x800
800x800
17Кб, 517x71
517x71
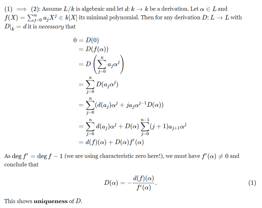
Если математика - царица наук, то алгебра - венец самой математики. Этот тред посвящён ей! ссым в нём на тех, кто занимается анализом и не знает теорему де Рама

Тред используется для любых вопросов, связанных с современной алгеброй и её ответвлениями (но не ограничивается оными).

Для начала предлагаю следующую задачу на пикрелейтид.
Это самоконтрольный тест. Не можешь её решить - не владеешь алгебраической геометрией.

Заниматься алгеброй — значит, по существу, вычислять, т. е. выполнять над элементами некоторого множества "алгебраические операции".
Несомненно, именно возможность этих последовательных операций, при которых форма вычислений оставалась одной и той же, но природа математических объектов, над которыми производились вычисления, существенно менялась, позволила постепенно выявить руководящий принцип современной математики: математические объекты сами по себе не столь существенны — важны их отношения
.

Архивач
Аноним 19/08/18 Вск 16:45:02 42247 2
>>42244
В теории квантового поля, в некоторых изложениях пол-курса затирают про эти группы Ли. Преобразования Лоренца/Пуанкаре образуют группу Ли, а их (унитарные) представления соответствуют частицам с разными спинами. (и это чертовски занятный факт имхо)

Вот тебе еще какая-то мутная теоремка из квантовой механики
https://en.wikipedia.org/wiki/Wigner–Eckart_theorem
Аноним 20/08/18 Пнд 18:41:37 42267 3
Векторы множества всех геометрических прогрессий с первым членом, равным 1, являются линейно независимыми, так как можно выбрать взаимно-простые знаменатели?
Аноним 20/08/18 Пнд 21:23:48 42284 4
>>42244
Да, имеют. Вращения — это группа Ли. Сдвиги пространства — это группа Ли. Уже по этим примерам видно, насколько это (простое и) важное понятие. Классификация элементарных частиц использует группы Ли, например, кварки — это просто какое-то представление какой-то из SU (комплексный аналог вращений), а то, что всё состоит из кварков — это то, что все представления получаются из этого «простого» представления с помощью произведений (тензорных). Подробнее, например, в книге И.Р. Шафаревич «Основные понятия алгебры» (там есть пункт про это).
Представление — сопоставление элементам группы линейных преобразований, вроде представления перестановок трёх букв как симметрий равностороннего треугольника; тензорное произведение — полный аналог перехода от однородных многочленов степени 1, которые можно отождествить с векторами, к многочленам произвольной степени, только абстрактно аксиоматически описанный для абстрактно аксиоматически заданных линейных пространств. Это если кто-то не знает, вдруг.
Аноним 21/08/18 Втр 15:20:13 42313 5
Аноним 21/08/18 Втр 19:41:54 42319 6
Сколько различных базисов существует в ( Zp)^n? p^n?
Аноним 21/08/18 Втр 20:08:56 42321 7
>>42319
Если под Zp имеется в виду Z/pZ, то количество базисов равно Π(p^n - p^i), i=0,...,n. Но это упорядоченных базисов.
Аноним 22/08/18 Срд 07:18:07 42329 8
Как доказать, что rk(BA) + rk(AC) ⩽ rk(A) + rk(BAC)?
Аноним 22/08/18 Срд 18:29:43 42345 9
Пусть (e1,...,en ) — базис L; (g1,...,g n) — дважды двойственный
ему базис L^tt, A ∈ Hom(L, L^tt ) — такое отображение, что A(e_i) = g_i. Зависит ли A от выбора базиса (e_i)?
Верно, что дважды двойственный базис L^tt это базис L? Значит, A от выбора базиса не зависит.
Аноним 23/08/18 Чтв 19:03:00 42367 10
>>42345
Забей на базисы.

Смотри. Есть линейное пространство L. Пространство функционалов f(v) на нём есть двойственное к нему L'.

Выберем какой-нибудь определенный v из L, и подставим его во все функционалы в L'. Не совсем строго можно теперь считать, что это не функционал ставит число вектору v, а вектор v ставит функционалам числа, тем самым такое отображение есть функционал. Тем самым вектора в L это функционалы для пространства L'.

Чтобы записать это строго нужно построить функцию, которая каждому вектору v ставит соответствующий ей функционал на L'. h: v = gv(f) где gv(f)=f(v). Так как все двойственные пространства имеют одинаковую размерность, то нужно всего лишь доказать, что h мономорфизм, оттого h изоморфизм.
Аноним 24/08/18 Птн 21:18:30 42389 11
>>20 (OP)
>математические объекты сами по себе не столь существенны — важны их отношения.
Что это значит?
Аноним 26/08/18 Вск 18:21:43 42441 12
WhzJLTo-NDg.jpg 134Кб, 1113x771
1113x771
В процессе чтения Винберга возник вопрос.
G={e,a,b,c} — абелева группа с таблицей умножения пикрил.
Не могу понять, почему перестановка элементов a, b, c является автоморфизмом G с указанной операцией (той, которая таблице задаётся, да?).
Почему в перестановке участвуют только a, b, c, что делать с e?
Как строить-то этот автоморфизм?
Аноним 26/08/18 Вск 20:17:46 42449 13
>>42441
При автоморфизме e в любом случае переходит в e, так что ясно, что с ней делать.
Таблица умножения по сути говорит, что каждый элемент обратен сам себе и что произведение двух разных неединичных элементов равно третьему неединичному элементу, она симметрична относительно всех перестановок неединичных элементов. Поэтому эти перестановки и определяют автоморфизмы.
Аноним 27/08/18 Пнд 00:33:38 42469 14
>>42449
Автоморфизм строится аналогично тому, который встречается при доказательстве теоремы Кэли?
f(g_j): g_i → g_j⋅g_i, где f суть есть перестановка.
Аноним 27/08/18 Пнд 00:43:46 42470 15
>>42469
Автоморфизм, естественно, не f (перестановка, описанная выше), а другое отображение, к примеру, L: g_j → f(g_j).
Это всё ещё вопрос, а не удтверждение. Верно?
Аноним 27/08/18 Пнд 15:10:29 42499 16
>>42469
>>42470
Был неправ, проспался и исправился.
Аноним 29/08/18 Срд 10:53:34 42570 17
Верно, что подгруппа (2Z)⊂Z нормальна? Потому что нечёт+нечёт=чёт, а значит из (2Z) не выпадает при сложении с элементом из (2Z).
Аноним 29/08/18 Срд 11:39:54 42575 18
>>42570
Любая подгруппа абелевой группы нормальна.
Аноним 30/08/18 Чтв 01:24:11 42592 19
Как определяется понятие движение без понятия расстояния?
Аноним 30/08/18 Чтв 16:51:40 42601 20
Аноним 30/08/18 Чтв 16:54:09 42602 21
>>42592
Движение -- это конгруэтность.

Две фигуры подвижны(одна переходит в другую), если равны параметры фигуры.
Аноним 30/08/18 Чтв 16:57:50 42603 22
>>42592
Очевидно, что движение без расстояния, значит форму без метрики.
Значит единичный куб представляет ту же фигуру, что и стократный куб.
Аноним 07/09/18 Птн 13:07:48 42851 23
Как доказать что симметрическая разность и два множества изоморфны z/2z?
Аноним 22/09/18 Суб 00:48:47 43405 24
Сап, матач. Дрочу на алгебру, абстракции всякие(пока только в пределе курса в унике). Но хочу применять это, в частности, в машинке. Какие подводные?
Аноним 22/09/18 Суб 14:54:48 43423 25
>>43405
Подводные в том, что в машинке это не применяется.
Аноним 22/09/18 Суб 14:55:10 43424 26
>>43405
Вкатывайся в криптографию.
Аноним 23/09/18 Вск 01:01:30 43436 27
>>43424
я купил биткойны в прошлом декабре
Аноним 30/09/18 Вск 16:09:40 43754 28
cos(2*pi/5) можно выразить через рациональные числа?
Аноним 30/09/18 Вск 17:01:36 43760 29
>>43754
x = 2pi/5
Подсказка: cos(2x) = cos(3x), следовательно можно выразить cosx через формулы двойного и тройноог угла и получится уравнение.
Аноним 03/10/18 Срд 13:34:46 43851 30
Известные корни кубического уравнения x^3+px+q=0.
Сделал несколько преобразований получил:
2q^3(1/x1^3+1/x2^3+1/x3^3)+6q^2-q^2(x1^2/x3^2+x1^2/x2^2+...)-2q^2(x1/x2+x1/x3+...)+2q(x1^3+x2^3+x3^3). Дальше увяз.
Правильно понимаю, что (x_1-x_2)^2(x_1-x_3)^2(x_2-x_3)^2 - дискриминант кубического уравнения?
Аноним 03/10/18 Срд 13:35:28 43852 31
>>43851
Преобразования делал из того что написано внизу. (x_1-x_2)^2(x_1-x_3)^2(x_2-x_3)^2
Аноним 03/10/18 Срд 19:09:36 43854 32
>>43851
Правильно. В чем, собственно, вопрос? Что ты хочешь получить?
Аноним 03/10/18 Срд 21:15:13 43860 33
>>43854
Вопрос в том как грамотно от (x_1-x_2)^2(x_1-x_3)^2(x_2-x_3)^2 перейти к -27q^2-4p^3. Под спойлером у меня записано на чём я остановился.
Раз это и правда дискриминант, тогда ещё один вопрос. Почему именно это число связано с корнями многочлена? Положим, я не знаю, что (x_1-x_2)^2(x_1-x_3)^2(x_2-x_3)^2 - дискриминант кубического уравнения. Тогда как к нему прийти от редуцированного уравнения x^3+px+q?
Аноним 05/10/18 Птн 00:39:21 43874 34
Как сейчас в мире обстоят дела с теорий магм?
Какие там есть интересные задачи?
Аноним 12/10/18 Птн 10:03:35 44007 35
>>42851
Руками, по определению, непосредственно.
Аноним 12/10/18 Птн 21:30:59 44017 36
Решил повторить всю математику с первого класса. Мне 33 годика
Аноним 13/10/18 Суб 22:41:45 44063 37
>>44017
Зачем с первого? Начни с категорий для рабочего.
Аноним 14/10/18 Вск 11:48:53 44075 38
>>44063
Заводобыдло не нужно
Аноним 14/10/18 Вск 18:50:42 44094 39
с.jpg 56Кб, 655x1024
655x1024
>>44075
это было так тонко, что даже толсто. лол
17/10/18 Срд 16:20:45 44167 40
>>20 (OP)
Знает кто доказательство теоремы о определителе треугольной матрицы
>Определитель матрицы треугольного вида равен произведению элементов, стоящих на главной диагонали.
Как доказать?
Аноним 17/10/18 Срд 16:39:06 44168 41
>>44167
Просто посчитать по формуле.
17/10/18 Срд 20:34:43 44183 42
Аноним 17/10/18 Срд 21:23:57 44186 43
>>44183
Берёшь и расписываешься по столбцу или строчке, замечая, что если дополнительный минор содержить нулевой столбец, то он равен 0.
Аноним 18/10/18 Чтв 12:59:32 44199 44
>>2247
>Дифференцирование это гомоморфизм кольца.
Чё за хуйню я только что прочитал
Аноним 18/10/18 Чтв 13:10:39 44200 45
Аноним 18/10/18 Чтв 13:16:54 44202 46
>>44200
ВО 1ых, найди в той статье слово "гомоморфизм", ты его не найдешь знаешь почему? Потому что дифференциал произведения не равен произведению дифференциалов.
Во-вторых, научи так же шутить "что я за хуйню прочитал?" - "свою безграмотность, очевидно же"! просто АХУЕТЬ! Как ты только блять додумался до такого, ебучий придурок сука!
Аноним 18/10/18 Чтв 14:22:42 44208 47
18/10/18 Чтв 15:08:50 44211 48
Аноним 18/10/18 Чтв 19:22:26 44220 49
>>44202
>о дифференциал произведения не равен произведению дифференциалов.
но сумме то равен
Аноним 19/10/18 Птн 11:01:08 44228 50
>>44220
И поэтому это гомоморфизм кольца? Или к чему ты это пизданул?
Аноним 19/10/18 Птн 18:34:08 44233 51
Аноны, есть какая нибудь методичка по решению базовых задач по алгебре?
Аноним 07/11/18 Срд 13:07:37 44899 52
Посоны, в шараге заставляют учить ТЧ по Бухштабу и Виноградову. Посоветуйте норм учебник по ТЧ, но чтобы там были все эти знаменитые китайские теоремы и ебля с вычетами.
Аноним 10/11/18 Суб 02:16:49 45001 53
Аноним 12/11/18 Пнд 23:55:08 45137 54
Как показать, что единственный тензор нечётного ранга, инвариантный относительно вращений и симметричный относительно перестановки любой пары индексов, это нулевой тензор?
И как вывести общую формулу для тензора чётного ранга, инвариантного относительно вращений и симметричного относительно перестановки любой пары индексов? Там сумма произведений символов Кронекера должна быть.
Аноним 13/11/18 Втр 00:05:39 45138 55
>>45137
Во втором полагаю, что надо произведенией n/2 символов кронекера симметрировать, где n - ранг тензора + ещё учесть числовой множитель как-то.
Выражение дробей Аноним 21/11/18 Срд 12:06:19 45603 56
Двачик как находить выражения дробей? Научите
Аноним 23/11/18 Птн 20:42:03 45708 57
Металлофизик на связи. Поясните, для приложений в физике (группы симметрии, алгебраическая топология и т.д.) есть ли необходимость проходить полноценный курс по высшей алгебре (типа Rotman, Lang), или достаточно ограничится книжками типа "Group Theory in a Nutshell for Physicists"? Если ориентироваться на перспективу в той же физике и различных разделах математики?
Какие ориентированные на упражнения книги можете посоветовать (желательно с решениями или ответами для самопроверки, можно на английском)?
Аноним 25/11/18 Вск 10:22:15 45746 58
>>45708
В металлофизике нужна алгебраическая топология?
Аноним 26/11/18 Пнд 16:00:10 45809 59
>>45746
Да, атомы в кристаллическую решетку как без нее загонять?
Аноним 26/11/18 Пнд 17:58:02 45814 60
>>45809
Бля, серьезно же спросил.
Аноним 26/11/18 Пнд 19:17:44 45817 61
>>45814
да он сам не знает, потому и спрашивает у нас
только мы сами не физики и ответить не можем. странный он, какой ответ он ждал-то?
Аноним 27/11/18 Втр 14:06:45 45857 62
>>45814
Я вообще мимо прохоил и решил пошутить.

Наверное топология просто вылезла в каком то неожиданном месте в металлофизике, раз её реквестируют.
Аноним 28/11/18 Срд 23:47:55 45904 63
Какие 8-элементные группы разлагаются в нетривиальные полупрямые произведения?
Аноним 29/11/18 Чтв 00:11:34 45907 64
Аноним 29/11/18 Чтв 19:49:08 45940 65
Аноним 05/12/18 Срд 00:55:36 46068 66
Z/mZxZ/nZ изоморфно кольцу Z/mnZ только при взаимно простых m и n?
Аноним 10/12/18 Пнд 20:01:45 46450 67
Подскажите где взять материал про лемму Шура без обращения к теории представлений,а использовать модули.
Аноним 10/12/18 Пнд 23:18:58 46458 68
>>46450
модуль это и есть представление.
Аноним 11/12/18 Втр 00:00:31 46460 69
>>46068
пусть m и n имеют общий делитель a...
Аноним 11/12/18 Втр 04:00:55 46464 70
Есть ли какой то лучший способ нахождения перестановочных подстановок, чем тупой их перебор?
Аноним 12/12/18 Срд 00:05:43 46487 71
>>46464
Конечно, это очень легко. Централизатор перестановки состоит из перестановок, которые переставляют&прокручивают её циклы.
Аноним 12/12/18 Срд 14:34:56 46500 72
>>46487
Я должен знать что такое централизатор и как это применять учась на первом курсе?
Аноним 12/12/18 Срд 20:08:31 46514 73
>>20 (OP)
Скиньте плез билеты по алгебре первый семестр для матфака, условной вышки или мгу. Если можно то все 3 семестра. Буду благодарен, если скинете также по дискретке/графам/алгоритмам и прочей информатике.
Аноним 12/12/18 Срд 22:38:34 46518 74
>>46500
Ну если ты знаешь слово "группа", то конечно.
Аноним 12/12/18 Срд 22:39:57 46519 75
Аноним 13/12/18 Чтв 13:11:00 46524 76
бамп
ОСНОВЫ ЛИНАЛА Аноним 13/12/18 Чтв 21:41:15 46557 77
Не вкуриваю в собственные вектора/значения. Допустим, у меня есть диагональная матрица:
|2 0|
|0 2|
Существуют четыре прямые, вдоль которых она растягивает вектора, не меняя их направления: по горизонтали/вертикали с коэффициентом 2; по диагоналям с коэффициентом (8)^(1/2).
Почему же утверждают, что у неё может быть не больше 2 неколлинераных собственных вектора?
Аноним 13/12/18 Чтв 23:27:13 46577 78
>>46557
>Существуют четыре прямые, вдоль которых она растягивает вектора, не меняя их направления: по горизонтали/вертикали с коэффициентом 2; по диагоналям с коэффициентом (8)^(1/2).
Уверен, что только 4?

>Почему же утверждают, что у неё может быть не больше 2 неколлинераных собственных вектора?
Кто утверждает? Сам же опроверг это утверждение.
Аноним 13/12/18 Чтв 23:40:02 46579 79
>>46577
>Уверен, что только 4?
Вроде, да. Вектора, направленные вдоль других прямых, изменят угол наклона.
>Кто утверждает? Сам же опроверг это утверждение.
"Оператор A (матрица A) имеет не более n различных собственных значений (в n-мерном линейном пространстве)" - например, тут:
http://twt.mpei.ac.ru/math/LARB/Linoper/LA_04050000.html
Аноним 14/12/18 Птн 00:36:44 46580 80
>>46557
Твой оператор тупо умножает вектор на два, поэтому для него ВСЕ ненулевые векторы собственные. Смысл в том, что нельзя взять больше двух векторов так, чтобы они были линейно независимы . Даже если взять только те, что ты перечислил, то для них это выполняется.
Аноним 14/12/18 Птн 01:28:23 46584 81
>>46557
Когда ты ищещь собственные векторы, ты, вообще говоря, ищешь собственные подпространства, т.е. базисы подпространств, векторы которых растягиваются в число раз, соответсвующее числу соответствующего собственного значения.
У тебя любой базис двумерного простраснтва состоит из двух векторов. Так что очевидно, что совокупность базисных векторов собственных подпространств не может превзойти совокупность базисных векторов всего пространства.
Аноним 14/12/18 Птн 01:36:23 46585 82
>>46577

>собственных значений
а не собственных векторов
>Вроде, да. Вектора, направленные вдоль других прямых, изменят угол наклона.
Никакие углы не меняются. Ты знаешь, как перемножаются матрицы?
Аноним 30/12/18 Вск 09:19:51 47629 83
Периодическая часть абелевой группы обязательно является её прямым слагаемым?
Аноним 30/12/18 Вск 12:53:43 47637 84
>>47629
Вряд ли, недаром же у нас теорема классификации есть только для конечно-порождённых
Аноним 31/12/18 Пнд 23:10:05 47664 85
Аноним 20/01/19 Вск 11:51:34 48921 86
Вопрос простой есть две переменные a и b по аргументам алгебры переменные это множитель при той или иной степени неизвестного получается и в А и В могу ли я вместить 5 то получается квадрат разности и разность квадратов лжет извините но просто нигде не нашел про это информацию
Аноним 21/01/19 Пнд 21:52:28 49001 87
.png 58Кб, 1634x278
1634x278
.gif 966Кб, 245x245
245x245
ЧТО ЭТО КАК ЭТО РЕШИТЬ
Аноним 21/01/19 Пнд 21:55:27 49002 88
>>49001
Никак, это не уравнение.
Аноним 21/01/19 Пнд 21:58:15 49003 89
>>49002
Спасибо, добрый анон.
Аноним 22/01/19 Втр 19:24:18 49254 90
Артин или Лэнг?
Аноним 22/01/19 Втр 19:24:50 49255 91
или Винберг, лол
Аноним 25/01/19 Птн 15:46:47 49369 92
>>46519
А есть подобное от Чебышевки?
Аноним 02/02/19 Суб 16:24:49 49851 93
Почитал описания кольца на Википедии, пришел к выводу, что это тоже самое, что и линейное пространство, нет?
Аноним 02/02/19 Суб 16:25:17 49852 94
>>49851
Не пиздите меня пожалуйста, я знаю, что я тупой, но я только начал изучать вышмат, параллельно готовясь к ЕГЭ это не так просто
Аноним 02/02/19 Суб 18:13:16 49858 95
>>49852
Векторное пространство строится над полем (частным случаем кольца). Разъясни для себя хорошенько этот момент.
Аноним 02/02/19 Суб 22:04:41 49860 96
>>49858
Какой есть учебник, написанный понятным языком? А то как не начну читать ваших Винбергов и прочих, так удушить себя хочется, какая же сложносформулированная залупа там
Аноним 02/02/19 Суб 22:10:56 49861 97
>>49860
Хз, что может быть проще Винберга или Кострыкина (вводные курсы ведь), в любом случае надо учиться воспринимать такую подачу. Там вроде бы и примеры приводятся + гугол есть.
Аноним 03/02/19 Вск 13:19:25 49864 98
>>49851
Нет. В линейном пространстве нет умножения элементов, вместо этого - умножение на элементы основного поля.
Аноним 03/02/19 Вск 19:23:18 49868 99
Читаю ленга, можем вникать вместе tg svetocopyclassic
Аноним 06/02/19 Срд 00:14:04 49920 100
Аноним 09/02/19 Суб 21:26:02 50001 101
Аноним 02/03/19 Суб 19:32:12 50696 102
image.png 15Кб, 595x60
595x60
двачик, никак не могу понять ход решения задачи. Ответ a >= 11/5
03/03/19 Вск 13:35:47 50711 103
Аноним 11/04/19 Чтв 12:33:13 52280 104
15537460018173.webm 4076Кб, 1280x720, 00:00:20
1280x720
Объясните нубу. Чем занимается алгебра? То есть, я могу взять придумать какую-нибудь систему любые аксиомы и любые операции, но по итогу я в ней найду те же свойства, особенности, всякие структуры, которые есть в других системах? И вот эти свойства и особенности которые есть везде и изучает алгебра? Я верно понял?
Аноним 11/04/19 Чтв 13:29:58 52282 105
>>52280
Ты можешь взять и придумать множество (например расширение Q каким-нибудь иррациональным числом; ещё можешь наложить дополнительные условия в виде тождеств которым должны удовлетворять любые два элемента твоего множества), и можешь придумать себе операцию, простой пример это "сложение с нулем", или например последовательную комбинацию сложения, умножения и возведения в степень, или ещё что-то.
И потом проверить, какие аксиомы выполняются, является ли то что ты придумал кольцом или группой. Здесь в принципе два варианта. Либо это уже известный пример и ты изобрел вещественные или комплексные числа; либо оно вообще никакой разумной структуры не образует и не является в алгебраическом смысле ничем.

Это в принципе мало интересное упражнение. Интереснее находить известные структуры там, где их, казалось бы, нет. Например то что кобордизмы можно умножать и складывать и выполняются все аксиомы кольца. Или там нетривиальные операции в когомологиях, квадрат Стинрода, произведение Масси. Внешнее произведение поливекторов, или дифф. форм, или скобка Пуассона. В принципе это фундаментальной важности было открытие, что как алгебраическая структура, алгебра дифференциальных форм изоморфна внешней алгебре. По сути ты показываешь, что что-то до сих пор плохо и недостаточно понятое оказывается можно описать в известных и привычных терминах. В целом, исторически, нахождение соответствующей структуры позволяло а) исправить ошибочные утверждения б) перейти к более общей ситуации (например понятие модуля сначала возникло в работах Дедекинда, и только потом выяснилось что если векторное пространство определить над кольцом, то получится идентичная конструкция), в) найти двойственные объекты и операции (ковариатные и контравариантные векторы, полупрямое произведение и т.д.)
Аноним 11/04/19 Чтв 14:07:35 52284 106
>>52280
Это очень условное деление. Например, топологическое пространство - это тоже множество с заданной некоторыми аксиомами структурой, но само по себе оно алгебраическим объектом не считается.
Если очень нужно простое и ёмкое определение, то можно, к примеру, с натяжкой определить алгебру как науку об ассоциативных бинарных операциях на множествах. Что-то мы при таком определении упустим, но на то это и условное деление.
Аноним 11/04/19 Чтв 16:28:48 52289 107
>>52284
>>52282
Я имел в виду не только числа, а вообще любые объекты в том числе и топологические. Значит я не правильно понял, что алгебра изучает структуры, которые существуют вообще в любой структурированной системе? Раз есть системы неалгебраические. А можно ли любую систему сделать алгебраической не включая в нее ограничения и операции, которых там не было?
Аноним 11/04/19 Чтв 16:30:43 52290 108
>>52284
>об ассоциативных
а что такое ассоциативных?
Ещё я хотел спросить. Саватеев на своей первой лекции сказал что в математике не бывает правильных и неправильных дробей. И что типа дробь 48/16 это типа нормальная крутая дробь. Но какого хуя то? Как можно думать таким понятием?
Аноним 11/04/19 Чтв 16:56:16 52291 109
>>52289
Операцию предельного перехода, понятие непрерывности и всё такое, невозможно описать алгеброй. Для этого придумали топологию. 99% математики это переплетение алгебры и топологии. Например, функциональный анализ. Берем алгебраический объект (векторное пространство), добавляем топологическую структуру (пополняем по норме).
Или гомологическая алгебра. И т.д.
>ассоциативных
Ну тех где выполняется аксиома ассоциативности, очевидно, a (b c) = (a b) c.
>правильных и неправильных дробей
Про рациональное число лучше всего думать как про класс эквивалентности, 5/15 и 1/3 это не разные числа, просто разный способ записи одного и того же числа. То же можно сказать про 0.99999… и 1.
Аноним 11/04/19 Чтв 17:00:06 52292 110
>>52291
а числа 0,(9) не существует. это дыра на числовой прямой. Это я ещё у одного блогера узнал
Аноним 11/04/19 Чтв 17:13:57 52293 111
>>52292
Какая может быть дыра, если $R$ всюду плотно?
Аноним 11/04/19 Чтв 17:18:23 52294 112
>>52291
Тогда получается можно в любой системе с любыми объектами найти одинаковые принципы. А это либо топологические либо алгебраические принципы? То есть алгебра и топлогия занимается этими универсальными принципами?
Аноним 11/04/19 Чтв 17:29:44 52295 113
>>52294
>можно в любой системе с любыми объектами найти одинаковые принципы
А можно и не найти. Но найти это всегда хорошо.
>либо топологические либо алгебраические принципы
Теоретико-категорные.
Аноним 11/04/19 Чтв 17:36:13 52296 114
>>52295
Начинаю путаться. Короче, если я хочу универсальных принципов, то мне надо теорию категорий изучать. А алгебра и топлогия это частные случаи.
Аноним 11/04/19 Чтв 17:41:54 52297 115
>>52293
Ты хотел сказать "полно", а не "всюду плотно".

>>52296
Да, тебе надо изучать теорию категорий. Ещё можно математическую логику, это в принципе тоже об универсальных принципах, но с другого бока.
Алгебру и топологию придётся изучать в любом случае, без базовых знаний в этих областях ты не вдуплишь большую часть примеров, которые будут тебе нужны для тех же категорий.
Аноним 11/04/19 Чтв 17:44:53 52298 116
>>52290
Савватеев имеет ввиду, что в большинстве случаев к неправильным дробям в ответе доёбываются по беспределу. С корнями в знаменателе такая же история.
Аноним 11/04/19 Чтв 20:44:41 52304 117
>>52294
Я алгебру воспринимаю как прерывную математику, а топологию как непрерывную. Алгебра кубик Рубика, топология пластилин, чета такое.
Аноним 11/04/19 Чтв 23:02:20 52313 118
>>52304
А любое упоминание о группах Ли или топологических векторных пространствах причиняет тебе мучительную боль? Или, вероятнеё, ты с такими понятиями не сталкивался
Аноним 11/04/19 Чтв 23:24:28 52314 119
>>52313
Мне кажется это уже алгебраическая топология/геометрическая алгебра или что-то такое, комбомикс. Полностью разделить невозможно ведь.
Аноним 11/04/19 Чтв 23:25:25 52315 120
>>52314
>геометрическая алгебра
Топологическая.
фикс
Аноним 12/04/19 Птн 03:02:41 52318 121
>>52314
Ну хорошо, а вот комбинаторика не связана с непрерывностью, она тоже к алгебре относится?
Аноним 12/04/19 Птн 03:53:42 52319 122
Смотрите, вот Арнольд предлагает определять группу не через операцию и её аксиомы, а как некоторое множество преобразований. В принципе, имеет право, ведь любая группа вкладывается в группу биекций на некотором множестве.
Но можно ли подобным образом определить, например, полугруппу или модуль? Полугруппа, возможно, вкладывавется в полугруппу всех отображений множества в себя, но я не видел доказательств этого факта. А с модулем вообще сложно. Например, любое ли кольцо вкладывается в кольцо эндоморфизмов абелевой группы?
Аноним 12/04/19 Птн 08:02:49 52321 123
>>52319
Половина языкочесательных выступлений Арнольда - о преподавании. У тебя есть опыт преподавания? У многих тут есть, как ни странно, в том числе и у меня.

Если тебе нужно рассказывать про полугруппы или модули, то студенты, вероятно, уже обладают достаточной математической культурой для понимания таких понятий. Тем более, полугруппа - плохой пример, это просто множество с ассоциативной операцией, там не нужно (было бы) танцевать, объясняя это школьникам.

И да, Арнольд так определял группу в своих лекциях школьникам о теории Галуа, и оно действительно интуитивнее и полностью обосновано в этом случае.

Ещё меня веселит тот факт, что вербито-адепты ненавидят/презирают Арнольда за такие вот определения, хотя они по духу куда ближе к категорному языку, чем традиционные.
Аноним 12/04/19 Птн 10:08:52 52322 124
>>52321
Любой критикующий арнольда это вербитоадепт?
>действительно интуитивнее и полностью обосновано в этом случае
Оно интуитивно, конечно, и не бесполезно как иллюстрация, особенно если речь о конкретных примерах, например группе симметрий тетраэдра и её подгруппах. См. "Что такое математика", он отсюда и приходит к понятию короткой точной последовательности. Более того, ещё было бы небесполезно сказать пару слов о подстановках, и показать что симметрии и подстановки это одно и то же (можно просто пронумеровать грани), чего Арнольд например не делает, но зато делают другие авторы, например Александров который П.С. в своей брошюре для старшеклассников. При чем у него там есть аксиоматическое определение группы. И теоремы Нётер об изоморфизме он доказывает.
>Арнольд так определял группу в своих лекциях школьникам о теории Галуа
Только дело в том, что это вообще не определение. И тот факт, что ты не понимаешь, что такое определение, полностью объясняет то, что ты не математик, а тупой пиздобол, который ищет вербитодетей на дваче, у себя под кроватью, и в прочих местах.
И критика в адрес Арнольда вообще не на этом основалась, а на ахинее, которую он не только изложил в многочисленных брошюрах, названных кем-то "сборником анекдотов", но еще и прочитывал неоднократно в школьником на летней школе в Дубне и в других местах, и если бы не было пиетета вокруг академической репутации Арнольда, его бы по-хорошему следовало послать нахуй с такими лекциями.
Аноним 12/04/19 Птн 10:09:41 52323 125
>>52322
>пронумеровать грани
Вершины, то есть.
Аноним 12/04/19 Птн 11:24:08 52324 126
>>52321
Полегче, я не залупаюсь на Арнольда, маленький ещё. Мне просто интересно, есть ли аналогичные теоремы для других классов алгебраических объектов.
Аноним 12/04/19 Птн 11:28:35 52325 127
>>52322
>Любой критикующий арнольда это вербитоадепт?
ну ты-то совсем не палишься, у тебя посты как у димки с мишкой один в один
мимо-анон, арнольда не читал
Аноним 12/04/19 Птн 11:30:56 52326 128
>>52318
Нет, да, ладно, плохое разделение.
Аноним 12/04/19 Птн 12:54:18 52327 129
>>52325
Никогда не видел их посты об Арнольде.
мимоВербито-адепт
Аноним 12/04/19 Птн 17:02:07 52329 130
>>52322
>Только дело в том, что это вообще не определение.
хуле нет то? Группа это нечто + тройка морфизмов.
Аноним 13/04/19 Суб 06:28:04 52337 131
>>52322
Сходи тифаретничка ещё наверни, шизик. Ему арнольд только что явно морфизмы не называет, а он продолжает яро защищать убогое дефолтное определение. Теоркат вообще читал дальше введения? Пиздуй в /sci/ нубов гонять, здесь ты никого своими знаниями википедии не поразишь.
Аноним 13/04/19 Суб 07:15:24 52339 132
>>52337
>Пиздуй в свои родные разделы - ну там /b/, /pol/, жж, лурк.
>Пиздуй в /sci/ нубов гонять, здесь ты никого
>Сходи тифаретничка ещё наверни, шизик
Не то что? Порвешься совсем, свинья безмозглая?
>Теоркат вообще читал дальше введения
Ну ты категории по Арнольду учил, я уже понял. Какое у него определение категории, кстати?
>убогое дефолтное определение
Убогое в твоем арнольдистском манямирке разве что, у Маклейна такое же определение группы, как у меня.
Аноним 13/04/19 Суб 15:52:32 52365 133
>>52339
забавно, что ты не понимаешь даже прямого текста, с которым к тебе обращаются, зато пихаешь пафосные выверты типа
>И тот факт, что ты не понимаешь, что такое определение, полностью объясняет то, что ты не математик, а тупой пиздобол

понаблюдал за тобой из соседнего треда
и чего тебя так разрывает любое упоминание арнольда? он до тебя домогался, когда тебе было 9 лет? так об этом надо на фейсбуке писать, вот это был бы наброс
Аноним 13/04/19 Суб 19:46:00 52371 134
>>52339
Представляешь, здесь сидит более одного анона, которые считают, что ты глупенький. Ясное дело, что это вызывает у тебя когнитивный диссонанс и легче всё списать на семёнство, чем на собственное невежество.
Аноним 14/04/19 Вск 08:41:37 52380 135
>>52329
Группа это нечто, да. А ещё группа это точка. А дифференциал это стрелочка.
Если ты хочешь чтобы твои
>глубокомысленные выверты
сравнивали с определениями, которые были у Нётер и Гильберта, потрудись, во всяком случае, выражаться внятно.
>>52371
>более одного анона, которые считают, что ты
Тащемта только ты и ещё один ворвавшийся в тред поборник категорий по Арнольду, который, видимо, скоро расскажет нам, что такое группоид.
Впрочем
>когнитивный диссонанс
>гонять нубов
>свои родные разделы, жж, лурк
Ты жертва Пикабу что ли? Так бы и сказал. В принципе это интересно, конечно, больше ебанатов с разных ресурсов, живее раздел, вот уже обсуждения какие-то. Правда довольно однообразные в твоём случае.
Аноним 14/04/19 Вск 09:34:49 52383 136
>>52380
>скоро расскажет нам, что такое группоид

Под «нами» ты имеешь в виду «я и моя прелесть»? Ты же здесь один такой юродивый

подвести группоид под какие-нибудь преобразования едва ли должно быть хоть чуть-чуть трудно, если уж захочется; просто преобразования будут локального характера, и все
Аноним 14/04/19 Вск 09:50:50 52384 137
>>52380
Про Арнольда ничего не знаю и в этом трэде отписывался давно по совершенно другой теме, но упомянутое выше определение группы действительно идейно близко к категорному мышлению. Это очевидно, думаю, всем, кто доказывал коммутативность более одной диаграммы в своей жизни. Со стороны именно ты выглядишь нелепо, честно говоря, игнорируя аргументы других и используя fallacies. Но мне так вы все тут долбоёбы.
Аноним 14/04/19 Вск 09:55:55 52385 138
>>52383
>же здесь один такой юродивый
В том смысле, что опустился до разговора с тобой, что ли? И не с такими дебилами сталкивался.
>подвести группоид под какие-нибудь преобразования едва ли должно быть
Угу, можешь подавать заявку на грант уже, напишешь учебник по алгебре с позиций Арнольда, упразднив аксиомы группы и кольца окончательно. Безусловно, твой высер разделит судьбу двухтомника Ван дер Вардена и со временем я стану горд тем что имел честь общаться с тобой, тупым клоуном, на анонимной имиджборде. Ещё есть что сказать, или это всё?
Аноним 14/04/19 Вск 12:26:36 52390 139
>>52384
>Но мне так вы все тут долбоёбы.
ты чо пёс ты чо?!!1
Аноним 14/04/19 Вск 16:50:17 52401 140
>>52385
Наверно ты не заметил (да и вряд ли заметишь, хотя я тебе сейчас прямо на это укажу) у тебя самого давно не находится ничего сказать, кроме разнообразных оскорблений собеседников. Тем самым у меня есть сказать как минимум не меньше, чем есть у тебя. Поскольку, очевидно, ты сам останавливаться не будешь, не откажу себе и далее вставлять какие-нибудь реплики, если захочется
Аноним 17/04/19 Срд 06:59:22 52485 141
>Я понимаю, что многие сейчас сначала узнают английские термины, типа "abelianization", а потом механически переносят их в русский язык. Давайте всё-таки безжалостно выкидывать таких монстров, как "абелианизация", и ставить нормальные давно существующие русские слова. В данном случае - абелизация.
Аноним 17/04/19 Срд 15:41:25 52492 142
>>52485
Согласованность с английским важнее.
Да и чем abelization более русское, чем abelianization?
Аноним 17/04/19 Срд 17:10:10 52494 143
>>52492
Так я-то согласен. Ну абелианизация, ну и что. Я, по крайней мере, только такое произношение слышал вживую. Меня это меньше коробит, чем "специальная" теория относительности или "линейная оболочка, натянутая на вектора".
Цитата, если что, из обсуждения на педивикии.
Аноним 19/04/19 Птн 11:18:46 52554 144
>>52494
А что не так со специальной теорией относительности?
Аноним 19/04/19 Птн 15:31:48 52557 145
>>52554
У него видимо частная теория относительности, из серии "категории частных и теория гомотопий".
Аноним 09/08/19 Птн 17:28:54 57632 146
Читаю Акслера, SVD для оператора.

Прошу помощи с сингулярными значениями.

Каков смысл сингулярных значений? Собственные значения и вектора, например, определяют одномерные подпространства, инвариантные относительно оператора. То есть дают возможность разложить оператор. А сингулярные?

Как от SVD оператора переходим к SVD произвольного линейного отображения?
Аноним 09/08/19 Птн 21:23:22 57639 147
>>57632
>А сингулярные?
Тоже самое, но теперь не только для эндоморфизмов.
Аноним 13/08/19 Втр 00:29:13 57725 148
>>57632
Я всегда понимал что линейное отображение = поворот масштабирование другой поворот. Сингулярные значения - то самое масштабирование.

В догонку вопрос алгебраистам - интерпретацию svd в geometric algebra кто-нибудь ковырял. Есть где почитать чего?
Аноним 14/08/19 Срд 23:48:53 57792 149
Аноним 16/08/19 Птн 13:54:57 57844 150
>>20 (OP)
Двач, мне нужен сайтец или архивы кровавой гэбни со всякими там примерами, логарифмами, уравнениями за все классы и сё такое.
Не хочется искать в поисковиках прост.
Аноним 16/08/19 Птн 14:23:29 57845 151
>>57844
Скачай учебники за все классы
Аноним 16/08/19 Птн 14:47:35 57847 152
>>57844
Купи Киселёва арифметику и алгебру. В трёх небольших книгах есть все необходимое
Аноним 24/08/19 Суб 16:00:16 58119 153
Аноним 24/08/19 Суб 19:57:17 58124 154
>>52291
А где в комбинаторной геометрии топология или матлоге там?
Аноним 25/08/19 Вск 02:57:14 58137 155
>>58124
>матлоге
В матлоге теорема о компактности, например.
Аноним 25/10/19 Птн 08:10:53 60648 156
>>4726
Модульная арифметика, это такой пиздец, но я поясню вам:
Компьютеры не очень хорошо справляются с произвольно большими числами. Эту проблему можно решить, если выбрать максимальное значение и иметь дело только с числами, которые меньше максимума. Работает это как в часах с циферблатом и стрелками. Как перевести их, например, на 37 часов? Очевидно, разделить 37 на максимум — то есть 12 — и докрутить остаток. Так и здесь: любые вычисления, дающие результат больше максимума, мы «докручиваем» до числа в допустимом диапазоне.
Аноним 25/10/19 Птн 14:01:11 60671 157
>>58119
а что он написал общую алгебру?
Аноним 25/10/19 Птн 14:58:41 60677 158
>>60648
Ну не совсем с произвольными, а просто с рациональными. То есть любое деление они представляют в виде большой десятичной дроби. И поэтому сравнивают результаты деления взаимно простых чисел не с помощью знака равно а с помощью больше-меньше погрешности. Ты об этом?
Из за этого включается так называемая Floating-point arithmetics, которая даже не может правильно сравнить результат сложения двух десятичных дробей
0.1 + 0.2 == 0.3 // false
Аноним 25/10/19 Птн 15:33:26 60679 159
Аноним 25/10/19 Птн 15:37:52 60680 160
>>60677
>console.log(0.1 + 0.2 == 0.3); //false
Бле, внатуре. Чё за нах? Опять новый браузер ставить что-ли?
Аноним 25/10/19 Птн 15:38:37 60681 161
>>60679
Аа я понял к чему ты клонишь. Могу сказать про это то что идея шифрования рса тоже имеет интересную историю, заключающуюся в том, что сначала был придуман принцип, по которому банк поставляет кейс, ключ от которого есть у банка, в который клиент кладёт свои данные и запирает, и много позже был придуман математический принцип с множителями, который смог воплотить его в жизнь.
Аноним 25/10/19 Птн 16:07:06 60682 162
>>60681
Раз уж ты про RSA, держи это, моешь слить в zip: https://username1565.github.io/pgp/
После распаковки, работает локально, client-side на скриптах.

А вообще, эллиптическая криптография гораздо интереснее. Там ключи поменьше, а взломать так хуй.
Однако ECC ещё не завезли, потому что кодировать-декодировать сообщения в точки на эллиптической кривой - не понятно как.
Но у меня уже, по мере изучения, чё-то уже вырисовывается в мозгах, правда сформулировать толком не могу ещё.
Аноним 25/10/19 Птн 16:25:49 60684 163
image.png 32Кб, 716x584
716x584
image.png 20Кб, 676x529
676x529
>>60680
Дело не в браузерах, просто конструктивная математика каличная.
Аноним 25/10/19 Птн 16:38:07 60686 164
>>60684
>конструктивная математика каличная
В том смысле, что нет алгоритма, который бы мог два числа произвольных сравнить, поэтому если дробь не степень двойки, как 0.5, 0.25, 0.125 и тд, то там будет период, ну и на каком-то знаке после запятой округление(например 0.2 + 0.1 в двоичной это 0.0(0110) + 0.0(0011) и по идее должно получаться 0.0(1001) то есть 0.3, но где-то происходит округление и 0.2+0.1 = 0.30000000000000004 != 0.3 получается)
Аноним 26/10/19 Суб 09:38:21 60717 165
>>60686
>конструктивная
>произвольных
/0
Аноним 26/10/19 Суб 13:51:53 60734 166
>>60717
Произвольных вычислимых.
Аноним 07/11/19 Чтв 02:19:42 61203 167
image.png 136Кб, 1059x125
1059x125
Ребят, вот вы в алгебре уже ебать прошаренные, а я только на пути возмужания. То, что сверху, как делать? Туплю, кажись уже передознулся этой алгеброй вашей. Понимаю, что f(a) в Fq имеет единственный ноль на a и что на остальных многочленах этой степени и ниже с коэффами из Fp на альфа не ноль, но что дальше делать -- не представляю.
Понимаю, что a порождает базис в факторкольце многочленов над Fp, в принципе если постараюсь, докажу, что элементы из Fp порождаются (хотя хз), но как линейные комбинации получить -- не представляю.
Аноним 09/12/19 Пнд 22:57:00 62643 168
image.png 4144Кб, 2048x1536
2048x1536
как решить?
Аноним 10/12/19 Втр 14:01:49 62673 169
>>62643
Ну ты хоть номер-то назови, ёпта, прояви элементарное уважение к сосачерам.
Если №10, то очевидная индукция + разложение по одной строке.
Аноним 10/12/19 Втр 14:07:55 62674 170
Аноним 10/12/19 Втр 15:41:21 62682 171
спасибо, очень остроумное решение из вики, надо потом будет через многочлены ещё порешать, ведь определитель то суть многочлен, следовательно можно равенство частей слева и справа проверить
Аноним 10/12/19 Втр 16:59:33 62684 172
>>62682
>надо потом будет через многочлены ещё порешать
>можно равенство частей слева и справа проверить
Заебёшься. Типа ничего дельного из этого из этого не выйдет.
А если хочешь посмотрел доказательство, где в определителе используется то свойство, что он многочлен - смотри
https://ru.wikipedia.org/wiki/%D0%9E%D0%BF%D1%80%D0%B5%D0%B4%D0%B5%D0%BB%D0%B8%D1%82%D0%B5%D0%BB%D1%8C_%D0%92%D0%B0%D0%BD%D0%B4%D0%B5%D1%80%D0%BC%D0%BE%D0%BD%D0%B4%D0%B0
Аноним 10/12/19 Втр 21:25:59 62698 173
>>62643
Хз. Это вообще решается??
Аноним 13/12/19 Птн 20:08:16 62823 174
Сап,двач.Помогите с задачей,хуй знает что с ней вообще делать:найти число классов эквивалентности над С и над R квадратичных форм от n переменных.
Аноним 13/12/19 Птн 20:15:17 62824 175
>>62823
> Сап,двач.Помогите с задачей,хуй знает что с ней вообще делать:найти число классов эквивалентности над С и над R квадратичных форм от n переменных.
Число классов эквивалентности - число видов нормированных диагональных матриц, соответствующих этим формам. Почему и сколько их сам догадаешься.
Аноним 13/12/19 Птн 21:06:28 62825 176
>>62824
>>62823
Разве задача корректная, если не сказано, что за отношение эквивалентности?
Аноним 13/12/19 Птн 21:10:36 62826 177
>>62825
Конечно, некорректная, но остальные инварианты вряд ли доступны в курсе алгебре мухосранскгу.
Аноним 18/12/19 Срд 21:27:37 63026 178
>>20 (OP)
А которая из теорем де Рама неизвестна нормальным аналитикам?
Аноним 01/01/20 Срд 12:22:16 63470 179
Двач помоги плз. Готовлюсь к сессии и читаю у себя в лекциях следующую хуйню:

Теорема. Для любой таблицы (1) интерполяционный многочлен существует в единственном виде. На (1) таблица инт. многочлена в общем виде
Доказательство:
Действительно, легко видеть что мн-н заданный ф-лой
(Тут формула форма Лагранжа)
это инт. мн-н в форме Лагранжа.

... (дальше единственность доказываем)

Почему так нахуй? Я не понимаю вообще откуда эта форма взялась. Подозреваю что препод разрешит это ей не рассказывать, но мне просто интересно. Как эту формулу нашли?
Аноним 01/01/20 Срд 13:17:40 63475 180
>>63470
Я не совсем понял вопрос и за историю этой формулы не шарю, но, может быть, ты что-то осознаешь, если подставишь в эту формулу какой-нибудь из узлов xi и поймёшь, почему этот многочлен является интерполяционным.

Все слагаемые формулы, кроме i-го, обнулятся, потому что в числителе окажется множитель xi-xi. А в i-м слагаемом этого множителя не будет, зато все xi-xj в числителях и знаменателях сократятся, и в итоге i-е слагаемое окажется просто равным f(xi).
Аноним 25/01/20 Суб 11:32:20 64392 181
Посоветуйте задачник к Винбергу,желательно с решениями.
Аноним 25/01/20 Суб 16:51:24 64403 182
>>64392
Сборник задач по алгебре, Кострикин
Аноним 01/02/20 Суб 20:46:40 64671 183
Анончик, хз куда написать.
Короче, в программе есть участок, где к разложенной по Холецкому матрице (LLT разложение) нужно прибавить другую, не разложенную матрицу R. Причем ответ тоже должен быть разложенный.
Есть вроде какое-то решение, и предполагает qr разложение R, но я не знаю нихуя, сложно пиздец. Спасибо.
Аноним 04/02/20 Втр 19:00:36 64736 184
>>64671
Сверни разложенную матрицу, сложи и разложи результат снова.
Аноним 08/02/20 Суб 16:36:34 64842 185
>>64392
Листки Независимого за любой год. Впечатление от Независимого как от места для матбогов неверное, не переживай. Проблема просто сдавать листки ПО ВСЕМ предметам, особенно если в своём вузе не проходишь эти предметы. Листки по алгебре адекватные.
Аноним 17/03/20 Втр 11:12:21 66419 186
>>20 (OP)
Почему схему (понятие из алгебраической геометрии) можно назвать системой уравнений? Что такое схема?
Аноним 17/03/20 Втр 11:36:47 66420 187
>>64842
А где-нибудь есть решения для этих листков?
Аноним 19/03/20 Чтв 19:52:23 66463 188
>>66419
>можно назвать системой уравнений?
Только локально, схема - локально окольцованное пространство, то есть, только ограничения пучка на открытые подмножества аффинны (те изоморфны спектру какого-то кольца).
Аноним 08/04/20 Срд 10:05:46 67141 189
15449613515740.jpg 152Кб, 1280x960
1280x960
>>64842
Листки нужно обсуждать, а если ты битард, то с кем?
Аноним 08/04/20 Срд 10:52:25 67143 190
>>67141
>а если ты битард, то с кем?
Да давно бы уже запилили тут листкотред.
Аноним 08/04/20 Срд 15:49:24 67163 191
>>60682
>кодировать-декодировать сообщения в точки на эллиптической кривой - не понятно как
Сообщение разбивается на блоки и каждый блок преобразуется в длинное число с системе считсления с основанием 256
Аноним 08/04/20 Срд 21:26:36 67202 192
Аноним 09/04/20 Чтв 18:36:45 67257 193
>>67141
Пишешь любому НМУшному семинаристу по алгебре в соцсеточках/на мыло и просишь попринимать листки. Кто-нибудь да откликнется, особенно сейчас, когда все дома хуи пинают.
Аноним 10/04/20 Птн 19:22:59 67297 194
>>67163
Это то же самое, что декодировать сообщение в байты.
Каждый байт - это цифра в 256-ричной системе исчисления. А дальше-то что делать с байтами?
В общем, ты некропостер ещё тот... Лол. Хорошо что я заметил твой ответ.
Я уже реализовал некое подобие эллиптической криптографии - тут:
https://github.com/username1565/mini_ecdsa/blob/master/ECC.py
Аноним 10/04/20 Птн 20:11:39 67299 195
>>67297
>А дальше-то что делать с байтами?
Ну вот у тебя есть массив zhopa = { 0x01, 0x02, 0xFF, 0xDD } это твое сообщение. А дальше кручу-верчу наебать хочу, перегоняешь все это в длинное число примерно так, в зависимости от порядка байт (endianess): 01h x 256 + 02h x 256^2 + FFh * 256^3 + DDh x 256^4 = 123456789101112 (мне лень считать). И уже этот результат передаешь на вход криптосистемы, например, в виде точки (123456789101112, 1). Я уже забыл лекции по криптографии
Аноним 10/04/20 Птн 20:14:10 67300 196
>>67299
Поправка: отсчет начинается с нуля, поэтому вместо 01h * 256 будет 256 в степени 0, то есть 1, получаем просто 01h
Аноним 11/04/20 Суб 14:18:42 67319 197
>>67299
>>67300
То есть, ты, предлагаешь просто засунуть инфу в виде длинного числа - в x-координату, а y-координату точки - вычислить?
Прикол в том, что как видно отсюда:
>>67297
>https://github.com/username1565/mini_ecdsa/blob/master/ECC.py
на маленькой эллиптической кривой (y^2) mod 211 = (x^3 + 7) mod 211
с генераторной точкой (150, 22)
лежит всего 199 точек (198 + O), при этом 198 / 2 = 99,
и 99 точек имеют x-координаты одинаковые, а y-координаты - разные.
При этом, значения x-координат лежат в диапазоне [0, 211),
То есть не все числа от [0,211) являются x-координатами точек на кривой в конечном поле,
а лишь 99 чисел из этого диапазона.
То же самое, и для больших кривых, и для очень больших.
Аноним 17/04/20 Птн 22:00:15 67603 198
Небожители, подскажите, из любого ли множества можно сделать группу при желании?
Аноним 18/04/20 Суб 19:58:19 67641 199
Аноним 21/04/20 Втр 19:03:10 67828 200
>>67603
На любом непустом множестве можно ввести структуру группы, да. Достаточно ввести её на кардиналах. На конечном n можно рассмотреть Z\nZ. На бесконечном k - прямую сумму k экземпляров Z\2Z. Это множество последовательностей длины k из нулей и единиц, в которых лишь конечное количество элементов отлично от 0, с покомпонентным сложением по правилам 0+1=1+0=1, 0+0=1+1=0.
Аноним 25/04/20 Суб 00:29:29 67984 201
>>67828
>на любом непустом множестве
>Достаточно ввести её на кардиналах
А у нас уже кардиналы множество образовывать стали?
Аноним 30/04/20 Чтв 18:14:49 68257 202
>>20 (OP)
Ты берешь 1000$ с собой к букмекеру, ставишь 1$ выигрываешь - ставишь ещё, проигрываешь - удваиваешь, до тех пор, пока не выиграешь

Какова вероятность того что я стану миллионером и того что проебу всю 1k$?
Аноним 30/04/20 Чтв 18:19:02 68260 203
>>68257
У тебя около 10 попыток, чтобы выиграть доллар.
Аноним 30/04/20 Чтв 18:34:09 68264 204
>>68260
1000 же, я забыл уточнить, вероятность 1\2
Аноним 30/04/20 Чтв 18:35:11 68265 205
>>68260
а ты про.. ну да
Аноним 01/05/20 Птн 03:25:39 68273 206
>>67984
Чтобы ввести структуру на каждом из кардиналов, совсем не нужно объединять все кардиналы в какое-то единое множество.
Аноним 01/05/20 Птн 06:01:38 68274 207
>>68273
Я почему-то подумал, что у тебя кардиналы будут элементами группы.
Аноним 02/05/20 Суб 17:07:53 68366 208
>>68274
В принципе, подобные большие образования не запрещены. Например, класс всех множеств V является моноидом (очень большим) относительно операции объединения. Просто в ZFC такое сложновыразимо.
Аноним 27/06/20 Суб 12:51:01 70622 209
iKptTR429i.png 36Кб, 795x135
795x135
Сап, двач
помоги решить задачу по гладким многообразиям.
Я пока рассуждал так. Допустим, L!=[L,L]. Тогда существует базисный вектор e такой, что он не равен коммутатору. Тогда можно получить, что его дуальная форма w имеет нулевой дифференциал, т.е. dw = 0. Препод задал встречный вопрос, является ли форма точной, т.е. существует ли функция f: w = df
Аноним 27/06/20 Суб 16:09:23 70625 210
>>70622
Разве это не следует тривиально из того, что скобка есть дифференцирование (которое можно отождествить с каким-то гладким векторным полем)?
Аноним 27/06/20 Суб 18:00:35 70631 211
>>70625
Может и следует, но мне это не очевидно... (
Аноним 28/06/20 Вск 14:20:19 70644 212
>>70625
Или ты имеешь ввиду, что коммутатор векторных полей снова векторное поле?
Коммутатор есть производная Ли, но есть ли в этом толк?
Аноним 07/07/20 Втр 01:43:27 70924 213
>>70622
Из односвязности следует, что первые когомологии де Рама нулевые. То есть, любая замкнутая 1-форма точна. В твоём случае это как раз и означает, что для w, где dw=0, найдётся f такое, что w=df.
Аноним 05/11/20 Чтв 15:11:16 75630 214
image.png 21Кб, 849x281
849x281
Что делаю не так? Корни же 1 и -6, тогда (1 + 6)^2 = 1 + 12 + 36 = 49
Аноним 05/11/20 Чтв 17:57:37 75648 215
Аноним 05/11/20 Чтв 19:09:52 75651 216
>>75630
Там же дискриминант просят найти лул
Аноним 05/11/20 Чтв 19:17:29 75652 217
>>75651
Блин, точно, что-то я напутал с корнями, 1/2 и -3, правильно. Бтв почему дискриминант? Разве разность корней - это дискриминант?
Аноним 05/11/20 Чтв 19:18:16 75653 218
>>75652
Квадрат разности корней это дискриминант, по определению.
Аноним 05/11/20 Чтв 19:19:39 75654 219
>>75653
ну, ещё умноженная на $a_n^{2n-2}$
Аноним 18/12/20 Птн 15:16:57 77769 220
Помогите кто с алгеброй множеств
(A\B)\C=(A\C)\(B\C)
нужно доказать тождество используя алгебру множеств
Аноним 18/12/20 Птн 19:00:33 77781 221
image.png 44Кб, 1020x446
1020x446
Аноним 06/01/21 Срд 16:09:00 78684 222
ф.png 78Кб, 556x364
556x364
Анон, я совсем отчаялся. Прошу, помоги разобраться с местом, подчеркнутым красным. Почему эти 2 утверждения равносильны?
Аноним 06/01/21 Срд 16:10:50 78685 223
>>78684
Там нужно учитывать, помимо прочего, что (a,b)=1, a>0, b>0.
Аноним 06/01/21 Срд 19:52:44 78690 224
>>78684
тоже не догоняю, хуйня какая-то, факт из ТЕОРЕМЫ(пиздец) проще доказать либо через табличку m на n, а лучше - через изоморфизм из КТО(ну типа надо показать что образ группы обратимых по умножению в Z/mnZ - это в точности группа обратимых по умножению в Z/mZ x Z/nZ, а порядок последней легко посчитать)

А блядь понял короче там опечатка: "взаимно прост с b" конечно. Ну на картинке какое-то нагроможденное доказательство через табличку, но без таблички, найди норм в инете.
Аноним 07/01/21 Чтв 15:26:35 78703 225
>>78690
БЛЯТЬ, Анон, СПАСИБО огромное, как я сам не заметил опечатку.
Можно даже подобрать числа, удов. условиям, например a=12, b=5, r=2, q=2 - получается, что 0<=r<b, 0<=q<a, (a,b)=1, (b,r)=1, значит, по этому долбаебскому утверждению, на попытку доказать которое у меня вчера ушло больше 2х часов драгоценного времени, получается, что (12, 12)=1, пиздец. Но это
я только теперь заметил. Спасибо еще раз.

Доказательство с табличкой видел, но скипнул, т.к. времени нет разбираться с новым доказательством. В итоге потратил еще больше с этой опечаткой, МДА.
Аноним 14/01/21 Чтв 20:33:03 79011 226
He увeрeн, что вопроc cтоит адрecовать этому трeду, но вcё-таки: имeют ли группы Ли приминeниe в физикe и ecли да, то в каких раздeлах?
Аноним 14/01/21 Чтв 20:40:45 79013 227
Аноним 14/01/21 Чтв 22:14:29 79020 228
>>79011
Конечно имеют, они фундаментальны в современной теорфизике
В частности, представления группы Лоренца (и группы Пуанкаре) очень тесно связаны с понятием элементарной частицы
Генераторы групп Ли это важнейшие операторы/наблюдаемые в квантовой механике
Операторы Казимира играют важную роль
Теорема Нётер конечно же
Вобщем, если одним словом описать развитие теорфизики в ХХ веке, то это будет 'симметрии', и группы Ли описывают непрерывные симметрии
Аноним 10/02/21 Срд 15:43:16 80152 229
>>20 (OP)
>Если математика - царица наук, то алгебра - венец самой математики. Этот тред посвящён ей! ссым в нём на тех, кто занимается анализом и не знает теорему де Рама
А обязательно ли ссать на тех, кто занимается анализом?
Аноним 10/02/21 Срд 15:52:25 80153 230
>>80152
если они занимаются анализом, но не знают теорему де рама, то наверно не помешало бы
Аноним 10/02/21 Срд 16:06:18 80155 231
Аноним 10/02/21 Срд 16:22:39 80157 232
>>80155
за атью-зингера спросить тогда надобно
Аноним 10/02/21 Срд 18:11:25 80158 233
>>79020
> Генераторы групп Ли это важнейшие операторы/наблюдаемые в квантовой механике
Расскажи пожалуста подробнее об этом
Серьёзно, неиронично
Аноним 10/02/21 Срд 19:10:02 80160 234
>>80157
Это уже серьёзно. Это пятый курс по Мишиной программе?
Аноним 11/02/21 Чтв 07:43:02 80173 235
>>80160
Про индексы нужно любому чистому математику знать, это фундаментальная вещь
И тогда мы упираемся в пререквизиты и хуевые университетские курсы
Поэтому мы приходим к тому, что есть и в других областях - каждый разбирается только в своей ультра-узкой области и отрабатывает гранты высирая никому не нужные статьи про (H¨⇐N)-exact natural transformations arising from fibrant arrows over the co-hypercover of reflective bi-categories
Аноним 11/02/21 Чтв 08:22:37 80174 236
>>80173
>Поэтому мы приходим к тому, что есть и в других областях - каждый разбирается только в своей ультра-узкой области и отрабатывает гранты высирая никому не нужные статьи про (H¨⇐N)-exact natural transformations arising from fibrant arrows over the co-hypercover of reflective bi-categories
Арнольд кстати говорил, что разговоры про то, что сегодня уже ни один мощный математик не способен хотя бы общим пониманием охватить всю математику - это херня.
Типа проблема просто в том, что высираются тонны статей типа "об одном частном решении одного дифференциального уравнения" (примерно такая цитата была), которые одно по одному обсасывают.
Миша примерно так же считает, вроде. По крайней мере, насчёт ненужных статей.
Аноним 11/02/21 Чтв 08:28:41 80175 237
>>80174
>"об одном частном решении одного дифференциального уравнения"
Или статей об
"об одном топологическом пространстве и его гомологиях"
Аноним 11/02/21 Чтв 09:03:09 80176 238
Аноним 11/02/21 Чтв 12:22:33 80178 239
>>80175
>"об одном топологическом пространстве и его гомологиях"
"об одном старом топологическом пространстве и одной его гомологии, посчитанной еще одним новым способом" - вот так надо!
Аноним 11/02/21 Чтв 14:39:27 80183 240
>>20 (OP)
Можно здесь задавать вопросы по алгебре? по моему моя проблема алебраического характера, в плане там простой матанализ
Аноним 11/02/21 Чтв 14:45:44 80184 241
Здравствуйте анончики.Я задавал вопрос в треде для новичков но там не ответили, поэтому задам здесь, если все же не ответят, пойду в mathoverflow

Проблема такова:
Вот есть функция f(u,v) она пока что абстрактная
Самое важное требование к этой функции - ассоциативность, то есть

f( f(u,v), w ) = f( u, f(v, w) )

Есть также дополнительные требования к ней во первых монотонное возрастание по u и по v

или иными словами df/du > 0 и df/dv>0

во вторых оно должно быть continuous and twice differentiable, не совсем понятно второе выражение но я полагаю возможность дифференциировать по первой переменной а потом по второй

Понятное дело, что даже с такими ограничениями подходящих функций бесконечное множество. Сам автор перед началом долгого поиска общей функции заранее говорит что если у вас есть любая invertible и монотонная функция G(u) то общим решением является
f(u,v) = G^-1( G(u)G(y) )

Я хотел убедиться в этом и решил взять arctan(u) как G(u). Она invertible и монотонная.Теперь имеем функцию f(u,v) = tan(arctan(u)arctan(v)), она ассоциативна
просто из за ее общей формы G^-1( G(u)G(v) ). Проверяю теперь ее монтонное возрастание по двум переменным

f(u,v)/du = tan'(arctan(u)arctan(v)) = 1/cos^2(arctan(u)arctan(v) ) ( arctan'(u)arctan(v) )= 1/cos^2(arctan(u)arctan(v) ) constant(v)
1/1+u^2

вроде бы при любых u производная от u будет строго больше нуля

и тоже самое будет со вторым

Теперь вопрос: почему когда рисую график этой функции tan(arctan(u)*arctan(v)) получается лютый кошмар, он вовсе не монтонен он скачет верх и вниз как бешенная. Почему так? Где мой прокол?
Аноним 11/02/21 Чтв 18:33:36 80191 242
>>80184
>twice differentiable, не совсем понятно второе выражение но я полагаю возможность дифференциировать по первой переменной а потом по второй
Неправильно полагаешь. Имеется в виду, что данная функция из класса $C^{2}$ то есть имеет все частные производные до второго порядка включительно.
Аноним 11/02/21 Чтв 18:46:30 80193 243
>>80191
понял тебя кстати я там производные посчитал не правильно, у функции tan(arctan(u)*arctan(v)) производные от обоих переменных не строго больше нуля

Но еще есть такой вопрос, вообще есть ли функция f(u,v) которая обладает строго положительными производными и также обладает ассоциативностью f( f(u,v), w ) = f( u, f(v, w) )?

На уме только f(u,v) = u + v
Аноним 11/02/21 Чтв 19:21:26 80196 244
Аноним 11/02/21 Чтв 20:59:45 80200 245
>>80193
арктангенс до pi/2
пронормируй, чтобы был до 1
и будет тебе щасье
Аноним 12/02/21 Птн 15:13:34 80244 246
>>80200
анон я туплю страшно
мне надо поделить arctan(u) на pi/2?
тогда будет функция tan((arctan(u))/(pi/2)*(arctan(v))/(pi/2))


как это сделает производные строго позитивными? я тупой
Аноним 12/02/21 Птн 15:57:08 80246 247
>>80244
tan((pi/2)(arctan(u))/(pi/2)(arctan(v))/(pi/2))
там чуть сокращается, конечно

у тебя уже всё есть
производные будут какие надо при аргументе до pi/2

ты сам написал hint к решению, но не до конца понял.
его идея в том, что можно "деформировать" множество, на котором задана операция, при помощи любой обратимой функции (сохраняющей то, что нам надо сохранить по условию - порядок, непрерывность, гладкость)
Аноним 12/02/21 Птн 23:03:19 80265 248
>>80246
но анон

смотри, производная функции tan((pi/2)(arctan(u))/(pi/2)(arctan(v))/(pi/2)) от u

f(u,v) = 1/cos^2( arctan(u) arctan (v)/(pi/2) ) arctan(v)/(pi/2) * 1/(1+u^2)

тут u не может сделать значение функции негативным, но все портит константа arctan(v)/(pi/2), если она негативна а она, негативна если v от минус бесконености до нуля, то производная вся тоже больше нуля

вопрос: причем тут нормализация?
Аноним 13/02/21 Суб 00:14:45 80268 249
Аноним 13/02/21 Суб 00:19:14 80269 250
>>80265
тут u не может сделать значение функции негативным, но все портит константа arctan(v)/(pi/2), если она негативна а она, негативна если v от минус бесконености до нуля, то производная вся тоже меньше нуля*
Аноним 13/02/21 Суб 13:44:17 80276 251
>>80269
даже когда просто x*y то, внезапно, одна из производных тоже может быть меньше нуля, когда x<0 или y<0.
что там с условием задачи?
Аноним 14/02/21 Вск 00:34:16 80304 252
Подскажите, какой нейтральный элемент для операции "тетрация"? И как правильно сказать, например, 3 в степени 4, но для этой операции, а не для возведения в степень?
Аноним 14/02/21 Вск 15:34:49 80316 253
>>20 (OP)
>Вектор - направленый отрезок с точностью до параллельного переноса
>с точностью до параллельного переноса
Пожалуйста объясните последнюю фразу.
Аноним 14/02/21 Вск 15:39:08 80317 254
>>80316
это означает, что все направленые отрезки, которые можно получить друг из с друга с помощью до параллельного переноса, считаются одним и тем же объектом

т.е. операция параллельного переноса не изменяет твой объект
Аноним 14/02/21 Вск 19:06:39 80321 255
>>80318
Два параллельных одинаково направленных отрезка одинаковой длины представляют один и тот же вектор
Аноним 15/02/21 Пнд 11:32:15 80338 256
>>80321
Понял.
Анон, а можно уточню про базис: правильно ли я понимаю, что любые 2 непропорциональные векторы будут базисом R2?
Работает ли такое же для любого пространства (то есть любые N непропорциональные векторы базис N-мерного пространств)?
Аноним 15/02/21 Пнд 12:45:32 80340 257
>>80338
>любые 2 непропорциональные векторы будут базисом R2?
правильно
>Работает ли такое же для любого пространства (то есть любые N непропорциональные векторы базис N-мерного пространств)?
представь себе R^3, горизонтальную плоскость и любые три вектора на ней. а теперь нарисуй вектор, торчащий из этой плоскости вертикально вверх, можно его через них выразить?
Аноним 15/02/21 Пнд 13:43:41 80341 258
Аноним 17/02/21 Срд 10:07:29 80400 259
Что значит вертикально? Может случится так что привычного угла в 90 градусов эти векторы не дают, и в этом базисе вертикального вообще ничего нету
Аноним 17/02/21 Срд 12:10:52 80403 260
>>80400
угол между векторами - это дополнительная характеристика, которая определена только в пространствах со скалярным произведением. про базисы можно говорить, не упоминая углы вообще (работая в линейных пространствах, в которых скалярное произведение не определено)
Аноним 25/03/21 Чтв 17:00:25 81803 261
image.png 14Кб, 650x156
650x156
Не понимаю, как нужно рассуждать, чтобы прийти к двум случаям. Как бы если проверить, то да, все правильно, но когда ты встречаешь такое уравнение, то не понятно куда дальше крутить
Аноним 25/03/21 Чтв 17:48:19 81804 262
>>81803
ну как варианты рассуждений:
1. или общий множитель равен нулю, или на него можно поделить
2. просто перенести все налево и разложить на множители
Аноним 25/03/21 Чтв 17:50:27 81805 263
>>81803
P.S. не знаю, что вопрос про тригонометрические уравнения делает в треде алгебра, но это, вероятно, из-за того, что школьный предмет, который по сути на 90% начала анализа (непрерывные аналитические функции, действительные числа и операции с ними, ...) называют почему-то алгеброй
Аноним 26/03/21 Птн 01:31:07 81809 264
>>81805
Какой должна быть правильная школьная алгебра?
Аноним 26/03/21 Птн 03:39:49 81810 265
>>81809
главное - тригонометрия должна быть исключена полностью

это какой-то дикий атавизм, неприемлемый вообще
Аноним 26/03/21 Птн 06:02:24 81811 266
>>81803
Домножь на sin6x
(cos(6x)cos(2x))sin6x=cos6x
Если cos(6x)!=0, то на него можно поделить, и получим cos(2x)sin(6x)=1. Если cos(6x)=0, то равенство так же выполняется.
>>81805
Для решения школьных уравнений не нужно ничего из анализа. Это та же школьная алгебра, манипулирование значками, просто вместо qx пишут cos(qx), вместо формул сокращенного умножения формулы сумм углов и тд.
Аноним 26/03/21 Птн 09:39:45 81812 267
>>81810
ну полностью тригонометрию исключать нельзя - оставить ее с большим уклоном в геометрию и физику

я бы
1. вернул бы комплексные числа, может быть как раз через них и рассказал тригонометрию в курсе алгебры (в геометрии пусть будет как есть)

2. добавил бы введение в группы - ну это просто, интересно и красиво

3. можно добавить немного про многочлены типа локализации корней, раз уж говорим про комплексные числа

4. можно попробовать рассказать про другие алгебраические структуры - жаль, до Галуа вряд ли получится дотянуть

5. анализ рассказал бы описательно - выкидываем нафиг всю главу про пределы, производную вводим как скорость - через махание руками, так же и про интегралы. вметсо этого хоть как-нибудь постараться впихнуть что-то про ряды - опять же для физики и без доказательств

ну п. 5, конечно, не в тему треда

Короче, после того как детей научили считать, я бы превратил курс математики в описательный типа природоведения, без строгих доказательств. Вроде того как в школе про теорию относительности и квантовую физику рассказывают - чисто красивые факты, чтобы интерес развивался.
Аноним 26/03/21 Птн 12:11:59 81813 268
>>81812

Мне нравится, как чаще всего вводят разные тригонометрические формулы, типа вот смотрите косинус-синус и вот такие правила выполняются, без доказательства, без нихера. Потом заставляют их формально применять. Какой в этом смысл? Да абсолютно никакого, через год это абсолютно начисто забывается.
Аноним 26/03/21 Птн 16:46:04 81815 269
>>81812
не знаю, зачем школьникам ряды и группы
а вот про комплексные числа рассказать дело хорошее
имхо
Аноним 27/03/21 Суб 04:59:43 81823 270
92342e58a6ca9dd[...].jpg 72Кб, 500x733
500x733
Лично я против уравниловки. Не бывает сферического школьника в вакууме. Может быть так, что один человек с трудом осваивает понятие доказательства и не может складывать дроби, а другой в состоянии считать когомологии, причем и возраст этих людей одинаков, и место жительства совпадает. Зачем учить этих людей одному и тому же одинаковыми способами? Очевидно, что им нужно разное обучение. Универсального математического знания, нужного всем гражданам поголовно, просто не бывает. Вместо классов средней школы, напоминающих конвейер какой-то абсурдной фабрики по производству человеческой биомассы, нужно делать небольшие кружки по интересам с разными наборами изучаемых тем. И эти кружки пусть будут рассчитаны на разных людей.

Какие-то люди, само собой, выберут никуда не ходить и ничему не учиться. Ну и пусть, это их дело. Такие люди и в общеобразовательной школе ничему не учатся. Они там и сами страдают, и остальным мешают, сковывают чужие таланты.
Аноним 27/03/21 Суб 09:10:24 81826 271
>>81823
>Зачем учить этих людей одному и тому же одинаковыми способами?
$$$
нанимать вдвое или втрое больше преподавателей/администрации/уборщиков, арендовать или выкупать новые помещения для школ, составлять разные программы, и т.д., это всё деньги
если с одних налогов это финансировать, то non-sustainable очевидно, отсюда и частные школы
ты должен был это проходить классе в 9-ом на уроке условного обществознания
если постарше, то можешь почитать серьёзные экономические статьи (как, кстати, хороший пример применения базового матанализа, гладкости, выпуклости, и проч.), где налогообложение обсуждается с точки зрения deadweight loss и прочих externalities
если рассуждать идеалистически, то конечно материально-одарённые государства (например, полезными ископаемыми, ну понятно кто имеется ввиду) должны бы были все эти лишние деньги вкладывать в пенсионное обеспечение, здравоохранение, и образование, а не в ебаные тaнки и прочую хуйню (например то же ОАЭ расписало свой мега-план траты нефтебаксов на образование, науку, и проч вплоть до колонизации марса в 2100 году)
но что есть то есть
Аноним 27/03/21 Суб 09:39:17 81827 272
>>81812
В школьной математике есть пропасть между античной математикой и математикой 18 века.
Лучше программу забить средневековой математикой. Она и нетривиальная, не слишком уж сложная, и полезная. Логарифмы, задачи на максимум и минимум и т.п. Короче всем что позже убил, основанный на этих вещах, матанализ.
Аноним 27/03/21 Суб 15:32:52 81834 273
>>81826
>проходить классе в 9-ом
У меня был экстернат. На всякую ерунду тратить время не пришлось.
Аноним 27/03/21 Суб 16:28:32 81835 274
>>81823
Какая жуткая картина. Эмоции охуенно переданы. Дед будто с плаката слезет и орать начнёт. Есть ещё?
Аноним 27/03/21 Суб 19:29:47 81839 275
>>81835
ты совсем из ебеней, что ли?
погуглил бы хоть, я не знаю

какие же зумеры дегенераты
Аноним 28/03/21 Вск 02:49:56 81842 276
Аноним 28/03/21 Вск 20:47:44 81851 277
>>81839
>>81842
Почему старичье считает, что зумеры обязаны знать уважать то говно мамонта, которое было популярно десятки лет назад? У меня один знакомый дед называет темными людей, которые не угадывают, из какого совкового фильма он в очередной раз произнес цитату.
Аноним 28/03/21 Вск 23:27:48 81853 278
>>81851
>один знакомый дед называет темными людей, которые не угадывают, из какого совкового фильма он в очередной раз произнес цитату.
это действительно так. Это называется культурный уровень. Нормальные математики такие как Вербицкий или Громов очень много знают помимо своей специальности. А узкие специалисты с кругозором зубочистки нужны лишь ушлым капиталистам, чтобы люди не бухтели и сидели в своей яме.
Аноним 29/03/21 Пнд 00:25:42 81854 279
>>81851
Потому что это так называемое говно мамонта, золотой век культуры.
Аноним 29/03/21 Пнд 03:26:32 81855 280
>>81851
а что они должны уважать? тем более в данном случае зумер даже поленился погуглить, хотя происхождение восхитившей его картинки прямо на ней написано

>один знакомый дед называет темными людей, которые не угадывают, из какого совкового фильма он в очередной раз произнес цитату.
правильно делают, тащемта.

>>81854
+
Аноним 29/03/21 Пнд 04:14:17 81856 281
>>81855
Считать чем-то равноценным советскую культуру и нормальную всё-таки не следует. Есть мнение, что во многих случаях там та же ситуация, что с The Winner Takes It All и Позвони мне, позвони.
Аноним 29/03/21 Пнд 04:25:20 81857 282
>>81856
стоит

>во многих случаях там та же ситуация, что с The Winner Takes It All и Позвони мне, позвони.
культура это палимпсест (c)
Аноним 29/03/21 Пнд 04:27:30 81858 283
>>81857
Именно поэтому в российской науке (и в алгебре в частности, раз уж мы в алгебра-треде) так распространен переводной плагиат. Ачотакова.
Аноним 29/03/21 Пнд 04:33:34 81859 284
>>81858
>так распространен переводной плагиат. Ачотакова.

в первый раз слышу
но если даже и так, то вообще ничего, ящитаю
Аноним 29/03/21 Пнд 08:34:39 81860 285
>>81854
>золотой век культуры
Ты сказал?
Музыка того же Варга, периода когда он сидел в тюрьме и имел лишь синтезатор, намного качественней, чем вся та дрисня из 60х. Исключений единицы, типа малинового короля.
Аноним 29/03/21 Пнд 11:16:34 81863 286
>>81860
>Музыка того же Варга <..> намного качественней, чем вся та дрисня из 60х

нет
"музыка варга" вообще довольно примитивная, во все периоды
Аноним 03/04/21 Суб 10:05:52 81950 287
Аноним 03/04/21 Суб 14:25:01 81956 288
>>9299
> Ну и для того, чтобы понимать, что говорят алгебраисты, когда они выёбываются.
Для того, чтобы это понять, одного учебника (и даже двух) недостаточно
>Посоветуйте
Для начинающих - Hungerford, например, или Винберг
>Очень желательно с применением полученных знаний на практике
Хорошо, а причём здесь алгебраисты? Алгебраистам, как и всем математикам, на приложения похую.
Попробуй Gallian, по-моему там было что-то прикладное.
Или ещё Abstract Algebra with Applications
>о бросил потому что не понял, нахуя вообще нужно.
Странно, учитывая что эти вещи как раз-таки прикладываются и используются на ура, в отличие от каких-нибудь резольвент модулей
Группы и теория представлений - это ключевые компоненты теорфизики уже лет 100 как
Группы ещё используются в химии и программировании, например
Аноним 04/04/21 Вск 16:37:29 81983 289
>>9299
Группы дохуя где применяются, приложения в какой области тебе интересны?

Так или иначе, сначала разберись с теорией. Читай Кострикина или уже предложенного Винберга.
Аноним 26/05/21 Срд 21:20:53 83829 290
Здарова работяги, нужно за ночь выучить алгебраические структуры, рац.дроби и многочлены на уровне первого курса, погнали нахуй
Аноним 26/05/21 Срд 21:23:22 83830 291
>>83829
гони.
мне вот ничего не надо, буду сидеть и резаться в видеоигры
Аноним 26/05/21 Срд 23:17:58 83836 292
>>83829
Какие именно структуры?
Вон двумя постами выше рекомендации для самых маленьких.
Аноним 01/06/21 Втр 16:27:43 84029 293
>>81956
Для начинающих David Lay Linear Algebra with applications, там даже школьники вывезут

Аноним 01/06/21 Втр 16:29:46 84030 294
>>20 (OP)
Сап двач, если я вообще не вывожу анализ но кайфую от алгебры, это нормально? Или чтобы замастерить второе нужно обяз ахуенно шарить в первом
Аноним 01/06/21 Втр 18:40:47 84040 295
>>84030
Мне кажется, абсолютно нормально
Вот не знать топологию и кайфовать от алгебры — это, по-моему, какой-то аутизм, а анализ не знать норм
Аноним 01/06/21 Втр 23:09:42 84069 296
Почаны, пусть я доказал основную теорему алгебры. Тогда легко понять, что $(Z/pZ)^ \cong Z/(p-1)Z$.
Пусть стоит задача отыскать образ и ядро такого гомоморфизма(очевидно) $f \colon (Z/pZ)^
\to (Z/pZ)^*$, $f(n)=n^{10}$.
Возникает эвристика: а давайте смотреть не на данный гомоморфизм, а на такой: $\tilde f \colon Z/(p-1)Z \to Z/(p-1)Z$, $\tilde f(n)=10n$.
Для последнего легко найти образ и ядро, ну значит такие же образ и ядро у исходного гомоморфизма. Но как это формально доказать, т.е. что $Im \tilde f \cong Imf$ и $Ker \tilde f \cong Kerf$?
Че-то туплю, мб диаграмму какую-то нарисовать?
Аноним 01/06/21 Втр 23:18:14 84071 297
Почаны, пусть я доказал основную теорему алгебры. Тогда легко понять, что $(Z/pZ)^ \cong Z/(p-1)Z$.
Пусть стоит задача отыскать образ и ядро такого гомоморфизма(очевидно) $f \colon (Z/pZ)^ \to (Z/pZ)^$, $f(n)=n^{10}$.
Возникает эвристика: давайте смотреть не на данный гомоморфизм, а на такой: $\tilde f \colon Z/(p-1)Z \to Z/(p-1)Z$, $\tilde f(n)=10n$.
Для последнего легко найти образ и ядро, ну значит такие же образ и ядро у исходного гомоморфизма. Но как это формально доказать, т.е. что $Im \tilde f \cong Imf$ и $Ker \tilde f \cong Kerf$?
Аноним 02/06/21 Срд 16:45:54 84104 298
>>84040
Имеется в виду математический анализ? Я хочу в алгебру вкатиться, но в калькулусе я полный ноль.
Аноним 03/06/21 Чтв 02:16:56 84116 299
>>84104
можно вполне изучать алгебру, не зная калькулюс
Аноним 03/06/21 Чтв 08:46:25 84117 300
>>84116
Сначала матанализ, а алгебра потом.
Аноним 03/06/21 Чтв 08:54:29 84118 301
>>84117
Можешь аргументировать? Планирую пройти начала множеств Шеня и штурмовать алгебру, а тут ты говоришь, что надо сначала матан заботать.
Аноним 03/06/21 Чтв 10:04:51 84119 302
>>84118
в алгебре не используется мат. анализ
анон>>84117 может аргументировать как угодно, но это будет отсебятина
Аноним 03/06/21 Чтв 11:05:36 84121 303
>>84118
Алгебра нужна только для расширения матанализа на размерности выше трёх.
Аноним 03/06/21 Чтв 11:27:48 84122 304
>>84121
Так я хочу чисто алгеброй заниматься, а не матанализом.
Аноним 03/06/21 Чтв 17:39:07 84132 305
>>84121
Скажи еще что алгебра нужна чтобы генерализировать решение линейных уравнении для R^n
Аноним 03/06/21 Чтв 17:42:39 84133 306
>>84132
еще приведение квадратичных форм к каноническому виду, второе высшее достижение алгебры
Аноним 03/06/21 Чтв 22:15:15 84143 307
>>84133
при этом математический смысл сего действа ты вряд ли расскажешь
Аноним 04/06/21 Птн 12:25:52 84185 308
>>84143
>при этом математический смысл сего действа ты вряд ли расскажешь
Не он, но я даже пытаться не буду, потому что на 99% будет подъёб про какую-нибудь "жутко полезную и фундаметнальную" хуйню вроде следа в расширении поля, когомологий Понтрягина, или скобки Уайтхэда, в которых "на самом деле" проясняется смысл приведения формы к каноническому виду

Не удивлюсь, если на шиз-нкатлабе есть 10тистраничный опус о связи канонического вида с (∞,1)-категориями
Аноним 04/06/21 Птн 18:11:26 84192 309
>>84185
>потому что на 99% будет подъёб про какую-нибудь

ой, да нет же: просто замена базиса на базис, составленный из собственных векторов. ничего сверхъестественного

тоже не>>84143
Аноним 04/06/21 Птн 20:57:56 84196 310
>>84192
удобно потенциальную энергию представлять, вторую вариацию, формы колебаний, для нас прикладников это ценно
Аноним 07/06/21 Пнд 11:50:06 84291 311
>>84118
Зачем Шень, если ты хочешь только алгебру изучать? Шень будет в тему перед анализом или топологией, но не обязателен.
Аноним 07/06/21 Пнд 23:12:36 84312 312
>>84291
Разве для алгебры множества не нужны?
Аноним 08/06/21 Втр 02:24:57 84319 313
>>84312
Не на таком уровне, как у Шеня.
Аноним 08/06/21 Втр 10:06:00 84325 314
>>20 (OP)
Где достать части 2-6 курса Вавилова? Получается нагуглить только первую.
Аноним 08/06/21 Втр 17:08:05 84326 315
Аноним 09/06/21 Срд 17:54:52 84372 316
1623250599267.jpg 172Кб, 1600x1021
1600x1021
1623250599285.jpg 111Кб, 1600x757
1600x757
1623250599296.jpg 104Кб, 1200x543
1200x543
1623250599306.jpg 57Кб, 780x328
780x328
Аноны, помогите. Половину лекций проебал и вообще не понимаю что происходит. Экзамен через 2 дня. Как к этому вообще подготовиться
Аноним 09/06/21 Срд 17:55:49 84374 317
1623250656187.jpg 56Кб, 902x514
902x514
1623250656198.jpg 100Кб, 1200x533
1200x533
Аноним 09/06/21 Срд 18:16:48 84375 318
>>84372
> Половину лекций проебал и вообще не понимаю что происходит.
> помогите
Каким образом можно вложить материала объемом в половину, хотя кого ты наебываешь малыш. Ты проебал вообще все лекции и не появлялся в вузике. До осени, до пересдачи, у тебя будет маса времени.
Аноним 09/06/21 Срд 19:12:26 84381 319
>>84375
> Ты проебал вообще все лекции
Половину да, половину не понял наполовину
> не появлялся в вузике.
Меня бы и не пустили. Короновирус хуле
Аноним 09/06/21 Срд 20:07:20 84384 320
>>84381
>Половину да, половину не понял наполовину
До осени думаю сможешь осилить.
Аноним 09/06/21 Срд 21:38:17 84386 321
>>84384
Я просил помочь, а не нахуй послать. Мне хотя бы темы по номерам узнать чтоб найти аналогичные примеры
Аноним 09/06/21 Срд 22:12:00 84389 322
>>84386
> Мне хотя бы темы по номерам узнать
У тебя совсем какие-то проблемы? На твоих пиках, 1 номер билета, в нем название тем.
Аноним 09/06/21 Срд 23:06:08 84391 323
>>84386

Ну ты спросил типа, как мне нихуя не делать, дрочить-бухать и все сразу уметь и знать? Ответ "пошел нахуй" вполне уместный, бро. Никак.
Аноним 10/06/21 Чтв 08:13:51 84393 324
>>84372
>>84374
Не по теме треда

Ну если только притянуть вопрос "найти корни уравнения" к выбору кольца
Аноним 11/06/21 Птн 12:38:18 84430 325
Аноним 11/06/21 Птн 21:03:40 84439 326
>>84430
ну списал или еще что, это полезный скилл, крутиться.
Аноним 11/06/21 Птн 22:45:57 84440 327
>>84430
а теперь пошёл нахуй
Аноним 12/06/21 Суб 04:13:32 84443 328
>>84439
На самом деле препод немного помогал
>>84440
Ок. Всем удачи.
Аноним 13/06/21 Вск 07:30:59 84485 329
Увидел посты про алгебру Клиффорда и тоже решил почитать.
Если какая-то мотивация/интуиция у идеала, по которому мы берём фактор в определении алгебры? Вот например во внешней алгебре мы берём фактор по идеалу [math] x \otimes x [/math] и это легко мотивировать (если мы хотим построить что-то, что "измеряет" площади, то "коллинеарные" объекты будут схлопываться в нуль).

В определении алгебры Клиффорда (с билинейной формой B) можно рассмотреть два идеала (которые совпадают, конвенции знака бывают разные):
1) [math] x \otimes y + y \otimes x = 2B(x,y) [/math] - знаю, что похожая штука появилась у Дирака при попытке разложить оператор Клейна-Гордона. Но всё-таки алгебра Клиффорда видится более фундаментальной (да и появилась раньше), так что это так себе мотивация;

2) [math] x \otimes x = B(x, x) [/math] - уже получше и поестественней. Мы хотим, чтобы наше новое умножение схлопывалось в скалярное для y=x. Но.. почему?

Я уже почитал вперёд и увидел, что из одной только этой аксиомы (ну и ассоциативности/дистрибутивности) можно вывести всю алгебру, и как много чего (вроде C и H) красиво вкладывается. Я полезность под вопрос не ставлю. Из моего опыта, если мотивация "так будет удобно в дальнейшем", то я просто что-то не понимаю из других областей или не знаю исторического контекста.

У самого Клиффорда в статьях определяется по другому (через фактор определяли в 50х Бурбаки и Шевалле).

Так есть какая интуиция/интерпретация у идеала #2) вроде простой интерпретации идеала для внешней алгебры?
Аноним 13/06/21 Вск 11:32:03 84486 330
>>84485
все определения хорошо задавать инвариантно, то есть через универсальные свойства и потом из этого выводить другие равносильные определения типа вот таких явных построений. Посмотри тут какое универсальное свойство алгебр клиффорда: https://en.wikipedia.org/wiki/Clifford_algebra#Universal_property_and_construction.
И в конце говорится вот это Namely, Cl can be considered as a functor from the category of vector spaces with quadratic forms (whose morphisms are linear maps preserving the quadratic form) to the category of associative algebras. The universal property guarantees that linear maps between vector spaces (preserving the quadratic form) extend uniquely to algebra homomorphisms between the associated Clifford algebras.
так что всё очень естественно
Аноним 14/06/21 Пнд 08:24:53 84506 331
>>84486
Это всё интересно (хоть и повторяет изложенное в моём теоркат-ориентированном учебнике), но не отвечает на мой, совершенно конкретный, вопрос совершенно. Впрочем, я уже нашёл ответ в другом учебнике для хлебушков.
Аноним 14/06/21 Пнд 14:12:54 84522 332
Товарищи хелп, реквестирую инструкцию по приведению квадратичной формы к нормальному жордановому виду(максимально для тупых), калькуляторы при проверке результатов выдают хуйню.
Аноним 14/06/21 Пнд 15:44:39 84526 333
>>84522
матрица квадратичной формы диагонализуется (приводится к диагональному виду)

для этого ищешь собственные вектора матрицы для твоей формы, затемх их ортоганализуешь
Аноним 14/06/21 Пнд 18:22:47 84531 334
>>84526
диагонолизовать и найти собственные вектора вообще без проблем, а ортогонализовать как?
Аноним 14/06/21 Пнд 20:13:43 84535 335
>>84531
Cобственные векторы, соответствующие разным собственным значениям ортогональны друг другу.
Аноним 15/06/21 Втр 00:49:45 84541 336
>>84535
а если они отвечают одинаковым с.з., то необязательно
Аноним 15/06/21 Втр 02:56:31 84548 337
Ребят, решил вкатиться в топологию. С горем пополам более- менее осиливаю. НО, когда приступил к гомологиям. Понял, что не понимаю изоморфизм, гомоморфизмы. Да и вообще усомнился в моём понимании фактормножеств. В связи с чем, прошу у уважаемых анонов каких - нибудь задачников с РЕШЕНИЯМИ по этим темам. Да и по гомологиям было бы неплохо, но это, веоятно за гранью фантастики.
Аноним 15/06/21 Втр 11:44:08 84559 338
>>84535
а если собственное значение одно, у него 2 собственных вектора. Далее характеристический многочлен в ноль идет и у него базис ijk палучаеца. Допустим один вектор я беру из собственных, второй из ijk, а третий откуда брать, чтобы матрицу перехода получить?
Аноним 15/06/21 Втр 12:33:47 84560 339
>>84559
я не очень понял, что ты хочешь сказать.
у диагонализуемой матрицы всегда столько линейно независимых собственных векторов, какова размерность пространства
на то она и диагонализуема
Аноним 20/06/21 Вск 08:17:36 84669 340
Какая ирония, Куммер (идеальные числа которого легли в основу понятия идеала) не смог понять идей Грассманна (алгебра которого строится как фактор по идеалу), дал негативную рецензию на его статью, из-за этого Грассманна не взяли преподавать в университете и в конечном итоге Грассманн бросил математику и стал видным лингвистом в санскрите.
Клиффорд, который один из немногих догадался, как связать алгебру Грассманна и алгебру Гамильтона, не смог в сбалансированный распорядок дня и рано умер от туберкулёза, оставив нам полторы странички про свои идеи.
В итоге имеем монстра Гиббса-Хевисайда, которого до сих пор преподают аж в школе нахуй, вместе с неассоциативным выкидышем произведения Клиффорда/Грассманна.

Чем больше читаю про историю алгебры, тем больше понимаю, сколько я не понимаю.
Аноним 21/06/21 Пнд 01:10:42 84683 341
>>84669
>Куммер
Смешное имя
Аноним 21/06/21 Пнд 23:36:49 84717 342
image.png 303Кб, 480x333
480x333
Господа, поясните за этого джентльмена ньюфагу.

Пару раз смотрел его ролики, не впечатлило, ну нормально так обьясняет, многовато болтовни. Но потом...как я понял его странности, а то есть его непринятие действительных чисел, мне стало крайне странно смотреть его математику.

1) Кроме его странностей, насколько полезны его видео?
2) Как вы относитесь к его идеям, имеено к его отношению к дейст числам. ?
Аноним 22/06/21 Втр 00:31:50 84722 343
>>84717
>1) Кроме его странностей, насколько полезны его видео?
Если тематика не сильно связана с его шизой - то видео как видео. Например, по вводному алгтопу или проективной геометрии.
>2) Как вы относитесь к его идеям, имеено к его отношению к дейст числам. ?
Так же, как и 99.999% остальных математиков. Основная проблема даже не в его позиции, а в её популяризации - он-то базовую математику знает сносно, а вот типичные слушатели - нет. Он просто деньги же делает.
Аноним 07/07/21 Срд 15:24:43 85319 344
Screenshot 2021[...].png 24Кб, 476x177
476x177
>>84326
Уточню, я искал книги Вавилова по линейной алгебре
Аноним 07/07/21 Срд 18:10:36 85325 345
>>85319
Вторая часть вроде издана в бумаге издательством ОЦЭиМ СПбГУ в 2006 году (232 страницы) и не существует в электронном виде, про остальные части вообще ничего не известно. Можешь попробовать написать самому Вавилову, других вариантов походу нет. А будь бы в России свой Спригер, то возможно такой хуйни с поиском книжки изданной хуй-знает-когда хуй-знает-кем не было.
Аноним 07/07/21 Срд 19:02:53 85328 346
>>84325
Нигде. Они не написаны, существуют только в мыслях автора.
Аноним 16/07/21 Птн 16:38:11 85626 347
>>85328
А есть ссылка на финальную, ну или хотя бы самую последнуюю версию pdf'ки Вавилова "не совсем наивная теория множеств"? То, что с ходу гуглится, какое-то совсем сырое и не законченное.
Аноним 16/07/21 Птн 16:46:23 85627 348
>>85626
Хз, попробуй самому Вавилову письмо написать.
Аноним 03/12/21 Птн 00:07:00 90473 349
image.png 71Кб, 835x592
835x592
image.png 83Кб, 857x398
857x398
Тред мёртвый, конечно, но, надеюсь, тут кто-то ещё сидит и готов помочь неразумному.

Возник один вопрос, который связан с разделом алгебры, в который я почти не заглядывал (пусть это и основы).

Проблему свою оформлю в несколько постов.

Первый пик — это вопрос, который возник у меня.
Второй - это ответ, который мне дали.
Аноним 03/12/21 Птн 00:09:36 90474 350
image.png 24Кб, 780x194
780x194
image.png 69Кб, 855x680
855x680
image.png 90Кб, 856x474
856x474
image.png 208Кб, 888x386
888x386
Вот то (1-3 пики), на что в ответе ссылаются под here.
Последний пик — это изначальное утверждение, которое я увидел.
Аноним 03/12/21 Птн 00:11:39 90475 351
>>90473
1) $\mathbb{Q}(X)(x_0)$ - это поле частных (дробей, составленных из двух полиномов с рациональными коэффициентами, где переменная принимает значение в $X\sqcup \{x_0\}$. Трансцендентный базис $\mathbb{R}$ над $\mathbb{Q}$ по определению это такое множество $A=X\sqcup \{x_0\}$, что $\mathbb{R}$ алгебраично над $\mathbb{Q}(X)(x_0)$.
2) Потом, кажется, так как в любой точке из $X\sqcup \{x_0\}$ $\mathbb{Q}(X)(x_0)$ принимает значение в $\mathbb{R}$, то $\mathbb{Q}(X)(x_0)\subseteq \mathbb{R}$, поэтому на $\mathbb{Q}(X)(x_0)$ можно задать дифференцирование, которое потом можно продлить на всё $\mathbb{R}$ единственным способом.
3) Нетривиальное дифференцирование в области целостности можно расширить на поле частных, поэтому дифференцирование можно рассмотреть просто на кольце многочленов с рациональными коэффициентами, где переменная принимает значение в $X\sqcup \{x_0\}$.

Если всё вышеперечисленное мною понято правильно, то мне непонятно, почему коэффициента там из $\mathbb{Q}(X)$, а не из $\mathbb{Q}$.
Аноним 05/12/21 Вск 20:51:17 90587 352
>>90475
Потому, что в лемме "here" предполагается, что L алгебраично над k (если применять её в нужном тебе направлении (1)=>(3)). По этой причине взять k=\mathbb{Q} и L=\mathbb{R} не получится.
Аноним 06/12/21 Пнд 04:55:26 90595 353
>>90587
Но ведь $\mathbb{Q}(X)(x_0)$ — это же дроби, где наверху и внизу многочлены с коэффициентами из $\mathbb{Q}$, а значениями переменной в $X\sqcup \{x_0\}$, если я правильно понимаю. Казалось бы, что многочлены на последнем шаге мы тоже должны рассматривать с коэффициентами из $\mathbb{Q}$.
Аноним 06/12/21 Пнд 18:26:13 90603 354
>>90595
Понял тебя, кажется. Ты хочешь думать о \mathbb{Q}(X)(x_0) как о поле частных кольца \mathbb{Q}[X\sqcup \{x_0\}], а не кольца \mathbb{Q}(X)[x_0]. Тогда при построении ненулевого дифференцирования D нужно будет описывать как оно действует на многочлены с коэффицентами из \mathbb{Q}, как ты хочешь, но с переменными из X\sqcup \{x_0\}, вместо многочленов с коэффициентами из \mathbb{Q}(X), но с одной переменной x_0, как тебе написали. Видимо, можно и так тоже. По линейности и по правилу Лейбница достаточно определить D на каждом элементе из X\sqcup \{x_0\}. Например, D(x_0)=1 и D(x) = 0 для всех x\in X.

Кстати, я ранее неверно написал, что тебе нужно (1)=>(3). Нужно (1)=>(2).
Аноним 06/12/21 Пнд 20:35:29 90605 355
>>90603
>а не кольца \mathbb{Q}(X)[x_0]
Хм, я просто думал, что по определению трансцендентного базиса $A$ расширения $L/K$ у нас $L$ должно быть алгебраично именно над $K(A)$. А в данном случае у нас ведь $A=X\sqcup\{x_0\}$. Или тут как-то можно совершить переход от частных кольца $\mathbb{Q}[X\sqcup \{x_0\}]$ к частным кольца $\mathbb{Q}(X)[x_0]$? Я просто в этой области только несколько определений знаю, не более.

Хотя они, наверное, изоморфны ведь, как, например, $\mathbb{Q}[x]$ изоморфно $\mathbb{Q}[a]$ для любого выбранного $a$, поэтому так сделать можно.
Аноним 06/12/21 Пнд 22:21:50 90607 356
>>90605
>Хотя они, наверное, изоморфны
Да. Оба поля изоморфны $\mathbb{Q}(X\sqcup \{x_0\})$. Можно, например, воспользоваться универсальным свойством поля частных. Более наивно, отношение $\frac{p}{q}$, где $p, q\in \mathbb{Q}[X\sqcup \{x_0\}]$ можно, "собрав коэффициенты" перед степенями $x_0$ представить себе как отношение элементов из $\mathbb{Q}(X)[x_0]$, и аналогично в обратную сторону.

>например, Q[x] изоморфно Q[a] для любого выбранного a
Только если $a$ трансцендентно над $\mathbb{Q}$. Иначе, $Q[a]\simeq Q[x]/(p(x))$, где $p(x)$ - минимальный многочлен для $a$.
Аноним 07/12/21 Втр 00:01:13 90609 357
>>90607
Спасибо, анон. Это как раз то, что мне нужно.

Я, вообще, приятно удивлён, насколько алгебраическая теория чисел красивая, хоть и заглянул туда совсем чуть-чуть. Раньше-то я думал, что это что-то наподобие рамануджанщины.
Аноним 21/12/21 Втр 03:07:09 91207 358
2021-12-2102-58[...].png 96Кб, 963x417
963x417
ОТКУДА БЕРУТСЯ ЭТИ ШИЗОВЫЕ ФОРМУЛЫ В АНГЕМЕ?
Ну вот например пик(общий перпендикуляр к двум прямым), векторное произведение понятно - ищем перпендикуляр, почему в первой строке какая то хуйня? почему во второй строке направляющий вектор?
Есть чувство что эти формулы довольно просто выводить если понять как это делать, но этого я еще не понял. Что почитать чтобы понять как составлять такие системы для разных случаев, в зависимости от того что ищем?
Аноним 21/12/21 Втр 04:10:40 91210 359
>>91207
>Есть чувство что эти формулы довольно просто выводить
все эти формулы выводятся по определению через разложения векторов по базису. что именно происходит в твоём случае, понять нельзя

общий перпендикуляр к двум прямым (если речь идёт о векторе) даётся векторным произведением направляющих векторов

выписываем эти вектора (их разложение по базису),
вычисляем векторное произведение (есть формула)
получаем ответ
Аноним 21/12/21 Втр 04:35:45 91212 360
>>91210
на пике просто пример
мне интересно как в целом выводятся разные формулы в ангеме, что почитать чтобы понять как их правильно раскладывать, какие системки составлять?
Аноним 21/12/21 Втр 04:40:53 91213 361
>>91212
ещё раз, эти формулы получаются напрямую из определений путём (несложных) вычислений; основной инструмент - представление участвующих в вычислении векторов через координаты; потом и результирующие формулы получаются в координатах
Аноним 21/12/21 Втр 12:46:33 91241 362
Аноним 21/12/21 Втр 14:32:39 91243 363
Аноним 01/05/22 Вск 17:15:46 95524 364
Лучше Алуффи уже что-нибудь появилось за 13 лет? На чем сейчас илитно вкатываться? Чтоб с аджоинтами и модулями, но как для продвинутых первокуров.
Аноним 01/05/22 Вск 17:47:41 95526 365
Screenshot20220[...].png 266Кб, 1080x1002
1080x1002
>>95524
Почему у Алуффи определитель даётся формулой?
Аноним 01/05/22 Вск 21:34:34 95530 366
>>95526
так это определитель матрицы, какая там формула быть должна?

всякие функторы внешней степени и прочая ерунда - это всё относится к линейным операторам, а не к матрицам.
Аноним 02/05/22 Пнд 12:53:57 95564 367
>>95524
>Чтоб с аджоинтами и модулями, но как для продвинутых первокуров.
Нахуя, если потом все группы порядка 4 не можешь найти?
Аноним 03/05/22 Втр 10:34:17 95610 368
>>95564
>Нахуя, если потом все группы порядка 4 не можешь найти?
Так это отражение сегодняшних реалий мат образования вообще. Тут на доске приводили примеры, когда люди всякие схемы и квазикогерентные пучки знают, а на простейшие вопросы по классическому алгему, ну то есть про собственно кривые, ответить не могут. То же и с гомологической алгеброй vs интуитвное геометрическое представление на основе "дедовской" комбинаторной топологии.

Когда у тебя есть всего 6-7 лет, чтобы проехаться по верхам и основам устаревшей математики и выбрать тему для пхд (и начать понимать хотя бы абстракты актуальных статей в своей области), то сидеть и ковыряться в каждой теме и её истории просто невозможно. Алюффи позволяет перепрыгнуть через частное сразу к обобщениям и мастурбации в своей китайской комнате. Особая ирония в том, что именно на это и сетовал всеми тут ненавистный Арнольд.
Аноним 03/05/22 Втр 11:27:03 95611 369
>>95610
>всеми тут ненавистный
Мне казалось дядю Арнольда тут все любят.
Аноним 03/05/22 Втр 17:55:52 95620 370
>>95610
> Тут на доске приводили примеры, когда люди всякие схемы и квазикогерентные пучки знают, а на простейшие вопросы по классическому алгему, ну то есть про собственно кривые, ответить не могут.
Так пучки это первокультурная математика, а алгем ваш - картофан.
> Алюффи позволяет перепрыгнуть через частное сразу к обобщениям и мастурбации в своей китайской комнате.
А почему собственно китайская комната? Есть аксиоматика, можно взять объект, который ей соответствует и доказать какие-то его свойства. По своей сути это очень условно отличается от частного примера, просто не все могут в абстрактное мышление.
Аноним 03/05/22 Втр 20:28:08 95624 371
>>95610
>Тут на доске приводили примеры, когда люди всякие схемы и квазикогерентные пучки знают, а на простейшие вопросы по классическому алгему, ну то есть про собственно кривые, ответить не могут

Не напомнишь ссылку на такой пример?
А то выглядит как сказка из публицистики Арнольда
Аноним 04/05/22 Срд 07:33:50 95637 372
>>95624
>Не напомнишь ссылку на такой пример?
Как минимум я приводил такие примеры в новичковом треде как из своей преподавательской практики так и из времён обсуждения с однокурсниками на семинарах. Если кинешь ссылку на его архив, я может и поковыряюсь на досуге.
>А то выглядит как сказка из публицистики Арнольда
Из этого можно сделать вывод, что у тебя собственного опыта преподавания или хотя бы обсуждения нет. Также я с этим сталкивался при чтении некоторых обсуждений вопросов на матх иксчендж и всяких ирс каналов (может, уже дохлых).
Хотя по твпему ответу уже сразу ясно, что даже если бы я тебе видео записал, ты бы ушёл в перманентный вывсёврёти.

>>95620
>просто не все могут в абстрактное мышление.
Это нелепая отговорка, а "абстрактное мышление" - придумка вроде "математического таланта". Либо ты можешь применить свои абстракции к базовым вещам, которые рассказывают школьникам на кружках, либо нет. Если нет, это значит, что у тебя неполное понимание темы. Ну и конечно же уже пошли оправдания, что у школьников просто нет гена абстрактного мышления, или что это вообще не нужно и картофан.
Аноним 04/05/22 Срд 10:47:53 95638 373
>>95637
По поводу абстрактного мышления я хочу сказать, что есть правильная, арийская физика/математика, а есть подлая, еврейская физика/математика с геодезическими линиями и двадцатимерными пространствами.

Знаете ли Вы, что до поражения Германии во Второй Мировой, было два вида математики, - арийская и еврейская, - названные так по национальности своих сторонников?

Арийская Математика брала пример с естественных наук, склонялась к эмпирицизму, конечности и познаваемости мира, и работала исключительно c объектами, которые можно построить физически (например, в памяти ЭВМ или на бумаге).

Еврейская Математика же слоняется к религиозной абстракции и казуистике: всеохватывающей бесконечности, множествам, и порождаемым ими апориям. Так Еврейская Математика постулирует, что можно удвоить объект, путём перекладывания его частей, пространство делимо на "бесконечно малые", а для любого числа, Бог может создать большее число (аксиома о бесконечности).

Основатель Еврейской Математики, Гидеон Кантор, писал, что работает с "Абсолютом - непознаваемым человеком Актус Пьюриссимус, именуемым многими Богом". Примечательно, что Кантор окончил свою жизнь в психиатрической лечебнице, однако дело Кантора поддержали сионистские организации и католическая церковь, доведя до того, что сознательные германские студенты и профессора протестовали, требуя убрать еврейскую заразу из ВУЗов.

После войны, евреи сделали все возможное, чтобы уничтожить Арийскую Математику, удалив ее сторонников и подменив ее Теорией Множеств - центральной опорой Еврейской Математики. Так основатель интуиционизма, Лёйтзен Брауэр, подвергся изоляции, а результаты Русских и Английских финитистов умалчивались и не получили распространения. В русской истории от рук евреев пострадали математики Егоров (умер в гулаге), Лузин (подвергся травле и был отстранен), Флоренский (расстрелян), Есенин-Вольпин (репрессирован).

Добавлено через 9 минут
Сегодня математика стала еврейской даже по-цвету. Государства поддерживают так называемую "анти-расистскую математику", требующую например использовать еврейские имена в примерах и задачках, рассказывая при этом о великом "вкладе" еврейства в развитие математики.

Евреи, занимающиеся математикой, предпочитают всё специфическое-эльфийское. Причём презирают тех, кто занимается вещами, имеющими практическое применение. Поэтому в Советском Союзе вышел закон, по-которому в ВУЗах должно учиться евреев пропорционально их населению. Лишних отчисляли. Преподаватели евреи на мехмате в знак протеста ушли из университета и образовали НМУ (Независимый Московский Университет). Отсюда и название в мехматянском простонародье ``еврейская секта''.

Еврейские дети в СССР часто учились отдельное от детей гоев, в специальных элитных школах. Одной такой была Московская 57-й спецшкола, ученики которой не без оснований называют себя "пятидесятисемитами". Там часто преподавали выдающиеся преподаватели с мехмата.

В основании математики последнего столетия лежит знаменитая теория множеств Георга Кантора. Если вы откроете большую часть современных серьезных учебников математического и функционального анализа или топологии, или теории вероятности, то в начале почти наверняка увидите экскурс в теорию множеств. Почти вся современная математическая литература написана на теоретико-множественном языке. Камень теории множеств лежит в основании грандиозного здания современной науки.

Но в самом сердце этой самой фундаментальной вроде бы теории, лежащей в основе "царицы наук", почти сразу после ее создания были обнаружены очень серьезные парадоксы и проблемы, не преодоленные до сих пор. Уже сто лет с тех пор математика находится в состоянии перманентного кризиса, который остро воспринимается самыми выдающимися учеными. Великий немецкий математик Герман Вейль писал по этому поводу: "Мы менее чем когда-либо уверены в незыблемости наиболее глубоких оснований логики и математики. Как у всех и всего в мире, сегодня у нас есть свой кризис".

Математика говорит, что у шпекеровой последовательности есть предел? Говорит. Практика говорит, что его нет? Тоже говорит. Математика говорит, что апельсин можно удвоить путём перекладывания его частей? Говорит. Удалось кому-нибудь с новозаветных времён повторить эту процедуру? Наблюдения раз за разом показывают, что при такого рода операциях закон сохранения вещества неукоснительно соблюдается. Математика предсказывает наличие в бесконечномерном гильбертовом пространстве базиса Гамеля. Наблюдать оный пока вообще никому не удалось. Так что математика - именно лженаука, и никак иначе.

Именно уверенность в нематериальности математических объектов влечёт за собой веру в возможность "приближённых" вычислений (что чушь - вычисления бывают либо точные, либо неверные). Да, самолёты летают и при засилье Теории Множеств. Но если бы математика была конструктивной, они летали бы лучше, потому что конструкторы не забивали бы себе голову теоретико-множественным мусором, на практике бесполезным и дезориентирующим.

Аксиомы имеют смысл только тогда, когда они выражают свойства объективно существующих предметов. Так, если мы введём аксиому "на каждой руке человека содержится 3.1415… пальцев" и построим на базе этой аксиомы формальную теорию, то положения этой теории будут бессмысленны и даже вредны.
Аноним 04/05/22 Срд 11:33:21 95639 374
>>95637
>как из своей преподавательской практики так и из времён обсуждения с однокурсниками на семинарах.

мало ли, что ты там вспоминаешь из своей практики
мы же не знаем, как было на самом деле, что ты имеешь в виду под "простейшими примерами", что ты считаешь "ответить не могут", да и было ли что-нибудь вообще. как бы твоё, анона, частное мнение относительно твоего личного (гипотетического) экспириенса это не очень убедительно, сорри. Я-то подумал, прямо тут в треде кто-то про пучки задвигал, а потом на простой ерунде посыпался, вот было бы интересно посмотреть

>Из этого можно сделать вывод, что у тебя собственного опыта преподавания или хотя бы обсуждения нет.
быстро ты выводы делаешь

>я с этим сталкивался при чтении некоторых обсуждений вопросов на матх иксчендж
тоже было бы интересно посмотреть

>Хотя по твпему ответу уже сразу ясно
я смотрю ты у нас прошаренный
Аноним 04/05/22 Срд 17:43:41 95642 375
>>95639
Конкретно про группы порядка 4 писал Вербит, что один из градов в Брюсселе на этот вопрос ответить не смог никак.
>>95564-анон
Аноним 04/05/22 Срд 17:57:07 95644 376
>>95642
свидетельству вербита я, конечно, доверяю полностью,
но думаю, что студент, осиливший схемы, таблицу умножения для такой группы нарисует (если его очень сильно заставят, правда, потому что это дико уныло)
Аноним 05/05/22 Чтв 07:37:33 95656 377
15092119589261.jpg 208Кб, 799x694
799x694
>>95642
>>95644
Вы просто недостаточно обпучкались, раз приводите такие аргументы. Абстрактная алгебра тем и хороша, что не опускается до численных примеров, а манипулирует только отношениями, и этого достаточно. Алюффи буквально это пишет на странице 52 в сноске 10 к своему примеру с группами перестановок.
Аноним 12/05/22 Чтв 14:57:57 95775 378
Кто из преподов в НМУ по алгебре самый прошаренный? Хочу посмотреть лекций, а хуй знает какие выбирать за последние 10 лет. У кого наиболее эстетически приятный курс?
Аноним 13/05/22 Птн 13:31:13 95794 379
c28.jpg 113Кб, 1280x720
1280x720
>>20 (OP)
Вопрос. Как теперь украинцу обозначать множество целых чисел???
Аноним 15/06/22 Срд 11:27:23 96380 380
Пытаюсь разобраться с определением векторного пространства как модуля.
Векторное пространство над полем $F$ - это фактически абелева группа $G$ плюс гомоморфизм $\phi$ (как колец) поля $F$ в $End(G)$, кольцо эндоморфизмов $G$.
Я не понимаю, как определить, какой именно эндоморфизм соответствует какому-то элементу $F$. В общем случае, как я понял, этот гомоморфизм не сюръективен, то есть будут какие-то эндоморфзимы, которым вообще никакой элемент поля не соответствует. Также в общем случае ядро может быть нетривиально, то есть каждому эндоморфизму будет соответствовать несколько элементов поля. Верно?

Но я всё равно не могу описать для себя эндоморфизмы, не привлекая умножение на скаляр. Я же определяю умножение на скаляр как применение какого-то элемента $End(G)$. Мне всё кажется, что я использую круговое рассуждение и в итоге ссылаюсь на знакомое мне умножение на скаляр.

Вот пусть например есть векторное пространство $\mathbb{R}^2$. Тогда для $\alpha \in \mathbb{R}$ и $v \in $\mathbb{R}^2$, $\alpha v$ это применение $\phi ( \alpha) \in End(G)$ к $v$. Я про это $\phi ( \alpha)$ фактически ничего не знаю же, ну просто какой-то эндоморфизм.

Я что-то не так понимаю? Или надо дальше изучать модули, чтобы познакомиться с интересными нетривиальными примерами?
Аноним 17/06/22 Птн 13:19:26 96422 381
>>95775
>прошаренный
Книжки читай, их для того и писали
Аноним 15/08/22 Пнд 00:26:09 97800 382
>>84669
Только что читал тред где чел рассуждал про талант и труд, а тут твой пост. Надо бы самому историю математики почитать, интересно стало. Пока по твоему посту сложилось ощущение, что математики такие же в бытовом плане люди. Часто раздолбаи, но только с большим интузиазмом и сообразительные
Аноним 16/08/22 Втр 21:34:15 97839 383
>>96380
> Я не понимаю, как определить, какой именно эндоморфизм соответствует какому-то элементу $F$.

Очень просто. Берёшь элемент F, применяешь к нему гомоморфизм \phi и получаешь искому эндоморфизм.
Аноним 16/08/22 Втр 21:34:46 97840 384
Аноним 16/08/22 Втр 21:44:04 97841 385
>>95775
Так тебе прошаренный или эстетически приятный?

Хочешь почувствовать себя "умным", слушай какого-нибудь Шабата (он там без прелюдий начинает на категорном языке базарить, после чего 9/10 слушателей уёбывают в ахуе) или Городенцева (он тебе за полторы лекции весь первый семестр алгебры расскажет и ещё сверху насыпет, только ты нихуя не успеешь понять, разумеется).

А вообще выскажу возможно не очень популярное мнение, но базовые курсы в нму лучше не слушать. Они там очень... странные. Они обладают всеми теми же минусами, которыми обладают базовые курсы на математических факультетах, только в них ещё и подборка тем порой очень специфическая. Так что слушая базовые курсы только в нму ты очень сильно рискуешь не выучить вообще никакую базу. Всякую алгебру, геометрию и анализ лучше всё-таки ботать самому, параллельно слушая курс в своём вузе. Так шансы, что ты не проебёшь базу намного выше.

А в нму всё-таки лучше приходить за спец. курсами.
Аноним 16/08/22 Втр 21:53:05 97843 386
>>91207
> Что почитать чтобы понять
Учебник по арифметике за 5 класс.

Хуею с местных математиков. Теперь понятно, почему вам тут всем мерещится, что программировании много математики. Для вас же два числа перемножить - уже проблема.
Аноним 16/08/22 Втр 21:53:48 97844 387
>>97843
Блядь, тред перепутал. Прошу прощения. Троллинг отменяется.
Аноним 16/08/22 Втр 23:43:12 97854 388
>>97841
>Шабата
>Дали концептуально правильный курс: категории, когомологии групп, точные последовательности и вообще, строжайшие определения (то есть там эпиморфизм не всегда сюрьективен, например). Умерли в итоге все, а задачи сдавали более-менее только те, кто знал алгебру уже до этого. Доходило до смешного: человек имел на матфаке автомат за алгебру, а в курсе НМУ с трудом сдавал хотя бы одну задачу из листка. Зато концептуально правильно!

А почему ты "умным" в кавычках написал? Это ты считаешь тоже плохим базовым курсом? Чего там не хватает?
Аноним 17/08/22 Срд 00:31:19 97868 389
>>97854
> Это ты считаешь тоже плохим базовым курсом?
Я считаю плохой дидактической находкой накачивать непуганных перваков категорным языком с самого порога. Люди научатся умным словами вроде функтор, нормальное преобразование, копроизведение, пулбэк и т.д., но при этом абсолютно не будут понимать сути и зачем вообще всё это нужно.

Теория категорий хороша в тот момент, когда у студента уже накоплен хотя бы минимальный багаж конструкций из разных областей математики и он уже самостоятельно начинает подозревать, что конструкции эти не настолько разнородны, насколько казалось в самом начале. В идеале студент сам начинает говорить на языке диаграмм, когда ему ещё ничего не сказали про категории.

На матфаке в этом плане преподы ведут себя очень грамотно. Никакого насилования категориями не происходит, но при этом и на алгебре, и на геометрии, и уж тем более на топологии преподы мягко подводят студентов к формулировкам на категорном языке

Шабатовский же подход из разряда "группа - это однообъектный группоид, ебитесь с этим как хотите" немного неконструктивен, как по мне.
Аноним 17/08/22 Срд 09:56:33 97885 390
>>97868
>Люди научатся умным словами вроде функтор, нормальное преобразование, копроизведение, пулбэк и т.д., но при этом абсолютно не будут понимать сути и зачем вообще всё это нужно.
Абсолютно с этим согласен. Дроч андерградов-математиков (а часто ещё и погромистов) на Алюффи всё это только усугубляет.
Всему своё время. Нет смысла в обобщениях, когда не знаешь примеров, которые собственно и обобщаются.
Аноним 17/08/22 Срд 16:52:19 97903 391
>>97868
>при этом абсолютно не будут понимать сути и зачем вообще всё это нужно
Первые две лекции посвящены вводным сюжетам про системы полиномиальных уравнений. Предлагается поверить, что их исследование становится проще при использовании соответствующего языка.
>минимальный багаж конструкций из разных областей математики
По сути, для примеров хватает знаний конструкций из экзамена Матшкольник Вербита.
>насилования категориями
>группа - это однообъектный группоид, ебитесь с этим как хотите
Группы, кольца, модули определяются (и обсуждаются) сначала на теоретико-множественном, а потом и категорном языках.
>>97885
>Нет смысла в обобщениях, когда не знаешь примеров, которые собственно и обобщаются
Есть, дальнейшее изложение и доказательства станут проще.
Необходимые примеры в курсе есть. Не все хотят двигаться от частного к общему. Можно и нужно наоборот.
Аноним 17/08/22 Срд 18:54:07 97910 392
Кто может обьяснить как находить IQR и как его искать?(тема статистика)
Аноним 17/08/22 Срд 18:54:52 97911 393
Кто может обьяснить как находить IQR и как его искать?(тема статистика)
Аноним 05/09/22 Пнд 01:33:16 98668 394
>>43860
Уже неактуально, но может кому-то тоже интересно: ответ есть в книжке Cox Galois Theory в первых параграфах.
Правда подстановка Виета там берется из ниоткуда. До неё можно додуматься так:
Если есть общее уравнение 3 степени P(x) мы можем его попытаться упростить какой-то подстановкой x=y+k, где y новая неизвестная.
Подставив P(y+k) и разложив на множители при одинаковых степенях y увидим, что от y^2 можно избавиться, положив k=-b/3.
Получаем редуцированное уравнение y^3+py+q. Попытаемся повторить трюк, y=z+d;
:(z+d)^3=z^3+d^3+3d^2z+3z^2d=z^3+d^3+3dz(z+d)
сложив это с p(z+d) выносим (z+d)
z^3+d^3+(z+d)(3dz+p)+q
От сюда видно, что можно избавиться от (z+d) если (3dz+p)=0
Тогда d=-p/3z.
Получим z^3 - (p/3z)^3 + q

С уравнением 4 степени так уже, к сожалению, не выйдет. Обычной подстановкой можно избавиться только от кубического одночлена. Применяя подобный трюк повторно куб неизвестного будет возвращаться. Это видно, если (x+d) возвести в 4 степень, всегда будет одночлен 3 степени неизвестного.
Аноним 08/09/22 Чтв 00:11:34 98755 395
>>20 (OP)
Вот допустим я прочитал Винберга. А дальше что делать? (самоучка)
Аноним 08/09/22 Чтв 10:52:31 98756 396
>>98755
Переходи от алгебры к алгебраической топологии и геометрии.
Аноним 08/09/22 Чтв 12:39:35 98757 397
>>98756
Понял, спасибо.
Аноним 08/09/22 Чтв 12:52:06 98759 398
>>20 (OP)
Что за "Modules with algebraic K-theory in mind," которую в треде по топологии >>10844 → упоминали?
Аноним 08/09/22 Чтв 13:35:16 98762 399
>>98759
>Что за "Modules with algebraic K-theory in mind,"
Думаю, Berrick - An Introduction to Rings and Modules: With K-Theory in View
> Модуль можно определять до кольца
Дальше даже не читал. Самое естественное понимание модуля - это действие, т.е. гомоморфизм кольца в кольцо эндоморфизмов абелевой группы.
Аноним 08/09/22 Чтв 18:49:17 98764 400
>>98762
>Модуль можно определять до кольца
Вообще говоря, это будет не модуль, а абелева группа с операторами. Модуль всегда является коммутативной группой с операторами. Не менее естественно чем то, о чём ты говоришь.
Аноним 08/09/22 Чтв 18:50:16 98765 401
>>98762
>Думаю, Berrick - An Introduction to Rings and Modules: With K-Theory in View
Спасибо!
Аноним 20/09/22 Втр 15:33:45 99010 402
.
Аноним 04/10/22 Втр 20:23:30 99249 403
Где можно поподробнее прочитать про поля Галуа? Да и вообще про поля. Теорию групп я дёрнул из "Теоремы Абеля", но про теорию полей там ни слова
Аноним 05/10/22 Срд 04:48:36 99251 404
>>99249
Очевидно в любой книжке о теории Галуа.
Аноним 07/10/22 Птн 08:17:17 99272 405
Какая есть фундаментальная/интуитивная причина того, что внешний квадрат n-мерного векторного пространства изоморфен алгебре so(n)? Вроде как одно измеряет/представляет ориентированные площади, а другое порождает повороты.

Вроде как кажется, что интуитивно это из-за антисимметричности. С одной стороны, a∧b=-b∧a, так как меняется ориентация (или что аналогично - площадь параллелограмма, натянутого на линейно зависимые вектора, есть нуль). С другой стороны, для элементов алгебры so(n) есть косая симметрия A'=-A (где A' - транспонирование), которая есть бесконечно малый аналог определения поворотов (R'R=1).
Но это очень нестрого, и антисимметричность в этих двух случаях совершенно другая, так что это просто махание руками.

Собственно сам изоморфизм обычно приводится такой:
(a∧b)(с) = (a,c)b-(b,c)a
И это тоже мне не очень помогает. То есть это очевидно на уровне матриц, но хочется понять интуитивно почему так получается.
Аноним 11/10/22 Втр 03:00:01 99317 406
>>99272
да вроде это не совсем махание руками, внешний квадрат у тебя определяется как фактор тензорной алгебры по тому соотношению что ты написал, а so(n) это типа матрицы, удовлетворяющие твоему второму условию, ну и видно, что и там и там соотношения то одинаковые: выделенная инволюция(х)=-х. Но важно понимать, что в тензорном квадрате мы факторизуем по соотношениям, а в so(n) мы не факторизуем, а выбираем из более общего объекта элементы, удовлетворяющие соотношению и изоморфизм очевидным образом получается. Более простая ситуация когда появляется такой эффект - это изоморфизм между симметрической степенью и алгеброй разделенных степеней, но там уже например если мы работаем не над полем а над кольцом, то это не верно.
Ну и да я ниче не прояснил, просто накинул говна на вентилятор.
Аноним 11/10/22 Втр 23:27:17 99321 407
> махание руками
Вы из спбгу?
Аноним 12/10/22 Срд 00:37:53 99322 408
>>99321
ну и че ты нам сделаешь??
Аноним 12/10/22 Срд 12:57:46 99324 409
>>99322
Схожу к вам на практику
Аноним 16/10/22 Вск 16:33:29 99392 410
Блять, потратил кучу времени и не смог найти Atlas of finite groups. Мне нужна полная версия со всей хуйней. Может аноны знают где достать?
Аноним 29/10/22 Суб 21:21:22 99553 411
Где можно почитать про то как считать когомологии алгебры ли для конкретных алгебр (Например sl(n)) ? Мб есть методичка или еще что-то
Аноним 31/10/22 Пнд 23:36:19 99571 412
Аноним 31/10/22 Пнд 23:43:06 99572 413
Как понятие "поднятие" (в алгебраической геометрии встречал это понятие и в теоркате) переводится на английский?
Аноним 01/11/22 Втр 08:08:17 99574 414
Аноним 01/11/22 Втр 11:51:38 99576 415
>>99574
Спасибо. Я гуглил uplift, raise и всякие другие вариации, а про самый простой вариант забыл
Аноним 20/11/22 Вск 01:17:40 99899 416
image.png 218Кб, 1555x452
1555x452
Я правильно понимаю, что здесь неправильно перевели, и на самом деле там enriched category, т.е. обогащённая, а не оснащённая?
Аноним 24/11/22 Чтв 11:59:56 99991 417
>>20 (OP)
Напоминаю, что алгебра - это не математика. Вам в /sci/
Аноним 24/11/22 Чтв 17:15:19 100009 418
>>99991

А что тогда математика?
Аноним 30/11/22 Срд 18:04:28 100053 419
15122750186080.png 251Кб, 730x346
730x346
Знаю линал там немного, немного общей алгебры. Надо что-то такое (связанное с алгеброй) прочитать, узнать, изучить за месяц, чтоб одному научнику алгебраисту рассказать-показать и он взял меня к себе. Хочу заниматься алгеброй но проебался во многих отношениях, теперь хочу нагнать и хотя бы с горем пополам что-то из себя представить туда-сюда достойное. Допучкался с вами тут, короче говоря.
Че посоветуете? Какие-то статьи, учебники, разделы в учебниках, лекции ютубовские. Хз, хоть как-то меня направьте.
Аноним 01/12/22 Чтв 15:12:37 100067 420
Всегда думал о действии группы как о гомоморфизме групп в симметрическую группу множества. Но мне попался следующий пост:
>(this) definition behaves poorly when one considers topological groups and continuous group actions, since in general it may not be possible to put a nice topology on \text{Aut}(Z) such that continuous actions are precisely continuous group homomorphisms G \to \text{Aut}(Z). The situation is even worse for, for example, algebraic groups and algebraic group actions.

Может кто прокомментировать?
Аноним 01/12/22 Чтв 22:20:15 100076 421
>>100067
Я могу объяснить на пальцах, через аналогию.

Есть в лингвистике такая штука, как теория семантических ролей. Рассмотрим в качестве примера какое-нибудь предложение с переходным глаголом, например "кузнец бьет молотом по наковальне". Его схема выглядит как "агент X действует способом Y на объект Z с помощью объекта Q". В нашем случае понятийная структура аналогична, "структура G действует на структуру Z с помощью своего элемента g способом, описанным аксиоматикой действия группы".

Действие - это обобщение понятия операции. Операция работает внутри структуры (аналогия с двумя химическими элементами, которые складываясь, превращаются в третий), а действие позволяет элементам из внешней структуры управлять поведением элементов в текущей. Способ этого внешнего воздействия описывается (или регулируется, что, в общем-то, одно и то же) некоторой аксиоматикой. Понятно, что управляющая и управляемая структуры могут быть весьма различны по уровню своей внутренней сложности - и аксиоматика, дающая некоторую "естественную" интерпретацию действия в одном случае, может не иметь ее в другом.

Группа, как абстрактный механизм, собранный из симметрий, может легко шаффлить обычное множество и вдобавок отображаться в его симметрическую группу - потому что множество, по сути, бесструктурно (если не считать "теневой структуры" попарного различия всех его элементов). Но когда ты закутываешь управляющие и управляемые структуры в некоторые дополнительные тряпки типа топологий, и при этом эти тряпки оче сильно отличаются, то начинаются всякие неожиданности. Например, далеко не факт, что две структуры, шаффлящие без разрывов третью структуру, гомеоморфны.
Аноним 02/12/22 Птн 07:28:14 100078 422
>>100076
А примеры есть? И насколько часто всё идёт по пизде?
То есть допустим у нас есть действие группы G на топологическом пространстве X. Гомеоморфизмы X образуют группу Aut(X). Согласно определению выше, действием будет гомоморфизм групп G->Aut(X). Что именно здесь пойдёт не так, если на G нет топологической структуры?
Аноним 11/12/22 Вск 14:35:00 100202 423
>>100067
В категории топологических пространств, насколько знаю, нет внутреннего Hom-а, то есть на множестве непрерывных отображений из произвольного топологического пространства X в произвольное топологическое пространство Y нельзя ввести структуру топологического пространства таким образом, чтобы получилась естественная биекция между Mor(X \times Y, Z) и Mor(X, Mor(Y, Z)) (Mor --- морфизмы --- это непрерывные отображения). А именно так и отождествляются два определения действия (через гомоморфизм в эндоморфизмы и через гомоморфизм из произведения). От этого «недостатка» можно избавится, ограничив класс рассматриваемых топологических пространств:
https://en.m.wikipedia.org/wiki/Compactly_generated_space
Аноним 22/01/23 Вск 00:59:47 100900 424
Зачем методом Хаусхолдера для поиска собственных значений матрицы может быть нужно приведение матрицы к форме Хессенберга? Ведь в случае разложения методом исходной матрицы в вид QR на диагонали матрицы R и так будут собственные значения или нет? Вроде приведение к хессенберговой форме нужно, чтобы реализовать сдвиги для ускорения сходимости.
Аноним 08/05/24 Срд 02:03:13 114778 425
Там на архиве топовые геометры начали выкладывать доказательство геометрической гипотезы Ленглэндса. Прикол, да?
Аноним 08/05/24 Срд 14:14:17 114780 426
>>114778
Я не начинал

топовый геометр
Аноним 08/05/24 Срд 18:49:05 114784 427
image.png 132Кб, 298x438
298x438
>>114780
>Я не начинал
>топовый геометр
Аноним 09/05/24 Чтв 15:47:56 114802 428
>>114778
>This paper is the second in a series of five
>439 страниц
Прикол)))
Аноним 09/05/24 Чтв 21:55:49 114807 429
>>114802
>топовые геометры
>This paper is the second in a series of five
>439 страниц
где-то я это уже видел только геометр был один
Аноним 10/05/24 Птн 00:03:23 114811 430
Аноним 11/05/24 Суб 20:40:14 114871 431
Заранее извиняюсь за вопрос, но можете посоветовать, что почитать про генераторы инфинитезимальных преобразований на пространстве хороших в каком-то смысле функций на полугруппе или моноиде, типо, что известно помимо того, что это полукольцо кодифференцирований, есть ли какие-нибудь классификационные результаты?
Аноним 28/06/24 Птн 01:15:20 116034 432
171653595757710[...].mp4 1097Кб, 512x640, 00:00:12
512x640
>>20 (OP)
Есть вариант поступить в магистратуру на кафедру алгебры и топологии, скорее всего не на бюджет (да и как-то похуй). В голове держим что меня не надо отговаривать. Разделы математики сдавал на средние баллы, но уже ничего не помню, т.е. разобраться если захочу - могу. Посоветуйте, на ваш взгляд, самые подходящие прелиминарии в виде книг, видео-лекций, которые подготовят меня на моем пути. Хочу туда поступить шутки ради, оказаться в абсолютно новом пространстве ахуевше непонятных вещей, среди людей стоящих за такими дверями знаний, ключ для которых есть странное любопытство с долей аутизма.
Аноним 28/06/24 Птн 01:53:56 116035 433
>>116034
там экзамены вступительные нужны? их и готовь
Аноним 28/06/24 Птн 03:30:18 116036 434
Аноним 30/06/24 Вск 16:41:01 116065 435
>>116034
Какие разделы математики ты сдавал? Что планируешь изучать на кафедре?
Аноним 01/07/24 Пнд 04:19:20 116066 436
>>116034
это ты куда поступать собрался? никогда не слышал, чтобы где-то была кафедра "алгебры и топологии"
Аноним 02/07/24 Втр 03:06:16 116074 437
>>116034
Алгебра и топология:
«Algebra» - Michael Artin
«Abstract Algebra» - David S. Dummit, Richard M. Foote
«Algebra» - Serge Lang
«Topology» - James R. Munkres
«General Topology» - Stephen Willard
«Topology» - Klaus Jänich
Курсы:
MIT OpenCourseWare
Coursera и edX
Аноним 02/07/24 Втр 10:21:17 116076 438
>>116074
Признаться, не вижу смысла отдельно изучать общую топологию. Не лучше в процессе изучения многообразий её пройти? Или в процессе изучения функционального анализа.
Аноним 03/07/24 Срд 01:29:36 116090 439
Аноним 03/07/24 Срд 02:03:54 116092 440
Аноним 03/07/24 Срд 18:13:04 116100 441
>>116074
>«Algebra» - Michael Artin
Хорошая книга. Хочу купить ее себе. Доставка книг с амазона в Россию сейчас работает?
Аноним 16/08/24 Птн 13:15:15 117017 442
>>114778
Выглядит как чатжпт высер на основе нкатлаба. Все плевались на бурбаков, и тем не менее статьи и книги условных дьедонне, серра, или гротендика читаются комфортно и по сей день, с интересными идеями и комментариями.
А эта статья - какой-то симулякр математики.
Аноним 16/10/24 Срд 19:47:52 117922 443
>>117017
Книги у Бурлаков тоже хорошие на самом деле
Аноним 21/10/24 Пнд 13:56:16 117991 444
>>117017
Я пробовал читать учебники для новичков от Дьедонне и мне не зашли. Книги по истории: функан и аг, хорошие.
Аноним 27/10/24 Вск 08:48:49 118099 445
>>117922
бурбаки не математика
Аноним 27/10/24 Вск 11:07:39 118106 446
Аноним 27/10/24 Вск 12:36:44 118112 447
Аноним 03/11/24 Вск 06:13:31 118271 448
>>20 (OP)
> Если математика - царица наук, то алгебра -
Не математика.
/тред
Аноним 03/11/24 Вск 12:08:37 118272 449
>>118271
пошел на хуй, петух
Аноним 03/11/24 Вск 13:36:14 118273 450
Аноним 08/11/24 Птн 23:04:37 118357 451
Аноним 16/11/24 Суб 23:23:26 118496 452
Вообще охуеть, забавно было мимопройти этого кладбища с 3.5 шизами
Аноним 10/01/25 Птн 23:48:52 119622 453
Мир вашему дому, три с половиной шиза

Давеча увлёкся изучением теории Галуа. И возник вопрос, который без помощи цепких лап не разрешить.

Одним из центральных понятий теории Галуа являются поля разложений одного полинома
Поля разложений строятся через построения Башни расширений:
Берём фактор по главному идеалу искомого полинома, пока молоко из жопы не польётся. Когда полилось, т.е. когда у полинома появилось степень его корней, процесс прекращается

И, вроде как конструкция выше алгоритмизуется.
Мол... У нас есть жадный перебор по неприводимым факторам полинома
И... Процесс в какой-то момент обрывается. И... Промежуточными результами являются какие-то конечномерные алгебры над основным полем, о которых можно думать, как о вполне вычислимом объекте, а именно как об квадратных матрицах коэффициентами в основном поле (ну, типа, умножение в конечномерных алгебрах --- билинейно)

Значит, что по идее должно быть алгоритмизируемо всё. Но... Простейший гугл не выдал мне алгоритма построения башни расширения стандартных полей (рациональных чисел т.е.). И, явно можно придумать трудно-алгоритмизируемую задачу, вроде факториального разложения многочлена в соответствующем ему фактор-кольце.

Короче... Алгоритм-то этот есть? Знает ли кто о нём? Если кто знает --- где можно было бы о нём прочитать?

Аноним 11/01/25 Суб 01:48:42 119628 454
Аноним 11/01/25 Суб 02:55:19 119631 455
>>119622
Я подозреваю, что поля разложений не особо полезны для вычислительных целей, а ценны чисто теоретически. В любом случае, если что-то такое про них и есть, то это должно быть в книжках по компьютерной алгебре и/или вычислительной алгебре, т.е. смотреть можно в сторону Cox'а (у него и книжка по теории Галуа есть), Sturmfels'а, Edwards'a (у этого тоже есть про Галуа).
Аноним 11/01/25 Суб 13:01:31 119637 456
>>119631
>Cox
>Sturmfels
>Edwards

Я, немного, слаб в литературе. Анон, можешь ли ты указать конкретные книги, в которых стоит поискать?
Аноним 13/01/25 Пнд 02:28:11 119642 457
>>119622
Вроде самая сложная часть твоего алгоритма это факторизация полинома (или нахождение хотя бы одного неприводимого фактора).
Факторизация в Q[x] это +- то же самое, что факторизация в Z[x], но для того, чтобы сделать это за полиномиальное время потребовалось изобрести LLL алгоритм, то есть даже над Q задача нетривиальная.

По теме алгоритмов в алгебраической теории чисел есть очень хорошая книжка, автор достаточно известный специалист в области теории чисел
H.Cohen A Course in Computational Algebraic Number Theory
В ней написано про факторизацию над Z. Строго говоря, предъявленный там алгоритм экспоненциальный, но для практических целей пойдет, про факторизацию через LLL см. оригинальные статьи.

Более того в PARI/GP есть функция nfsplitting, которая принимает на вход многочлен P над Q и возвращает многочлен S, который задает поле разложения P, то есть такой, что Q[x]/(S(x)) есть поле разложения P. https://pari.math.u-bordeaux.fr/dochtml/html/General_number_fields.html#se:nfsplitting
Аноним 19/02/25 Срд 17:49:24 120073 458
Не поздно ли в 17 лет устроить вкат в алгебру? Планирую учится по Винбергу.
Аноним 19/02/25 Срд 18:00:52 120074 459
Аноним 19/02/25 Срд 18:30:10 120075 460
>>120074
Блин. А во сколько надо было?
Аноним 19/02/25 Срд 21:23:56 120078 461
Аноним 20/02/25 Чтв 02:57:19 120084 462
>>120073
Если тебе что-то нравится, то не размышляй поздно или не поздно, а занимайся этим. 17 лет это очень молодой возраст, так что далеко не поздно. Галуа вон в 16 лет начал вкатываться в математику а в 20 уже умер.
Аноним 21/02/25 Птн 14:07:32 120097 463
Помогите получше понять. Я запутался. Вопрос наверное даже не про действие групп, но я контекст всё равно опишу. Он очень простой. Надеюсь, форматирование не поедет.

Вот у нас есть действие группы $G$ на множестве $X$. Скажем, пусть $G=D_8=\langle r,s | r^4=s^2=(sr)^2=1 \rangle $, и $X$ это квадрат. Чтобы указать действие группы $G$ на $X$, нам нужно установить соответствие между элементами $G$ и элементами $Aut(X)$.
Квадрат пусть будет с вершинами как на следующей диаграмме
BA
CD

Возьмём например элемент $r$, и сопоставим ему автоморфизм $\phi \in Aut(X)$ такой (поворот на $\pi/2$):
BA AD
CD -> BC
И вот тут у меня возникает вопрос. Как мы "внутренне" задаём этот автоморфизм? Мы же должны как-то пронумеровать (или обозначить буквами) вершины? То есть у нас есть какое-то индексное множество $I$ и "координатная" функция $\i: X \to I$?
То же самое если мы будем записывать автоморфизмы как вложенные в $S_4$, то есть в виде перестановки $(1,2,3,4)$. Тут вот эти $1$, $2$ - это же какое-то отображение $X \to [1,2,3,4]$ подразумевается?
Или мы просто думаем об элементе $\phi \in Aut(X)$ как о подмножестве декартова квадрата $X$?

Вопрос возникает вот почему: применим к исходному $X$ другой автоморфизм, например соответствующий $s \in D_8$ (отражение), то есть перестановка $(1,3)$. Квадрат будет выглядить как
DA
CB

Но поскольку это автоморфизм, то мы не можем отличить элементы $X$. То есть если мы не знаем, что мы до этого примениили $s$, то для применения автоморфизма $r$, то есть $\phi$, нужно на самом деле применить не $r$, а сопряжённый $srs^{-1}=r^3$:
DA CB
CB -> DA
То есть если мы хотим повернуть квадрат в направлении от А к В, то уже нужен поворот не на $\pi/2$, а на $-\pi/2$, потому что квадрат отражён.
Но с другой стороны, если задать автоморфизм $\phi$ как "поворот на $\pi/2$", то он становится как бы "инвариантным" к истории действий. Не знаю, как даже объяснить, в чём я запутался.

То есть что такое сопряжение я прекрасно понимаю. Мой вопрос не про то, что такое сопряжение, и какой у него смысл. А про то, что, чтобы сопряжение обрело свой смысл как аналога "замены координат", эти координаты (отображение $I \to X)$ должны же быть введены.

Для себя нашёл объяснение такое. Есть понятие эквивалентности G-множеств. И если мы применим какой-то элемент $g \in G$ на $X$, то пара $G, g(X)$ не будет эквивалентна $G, X$ как G-множества. Для эквивалентности на $G$ индуцируется сопряженный автоморфизм $\h \to ghg^{-1}$, и тогда уже новая пара будет эквивалентна.

Знаю, что сумбурно, но может кто-то поймёт, в чём у меня загвоздка.
Вообще на это всё меня вывел дифгем, потому что я вдруг узнал, что коммутатор - это фактически локальное "приближение" сопряжения в контексте групп Ли. И я стал копать в сопряжение, но сам себя запутал.
Аноним 21/02/25 Птн 16:31:27 120099 464
>>120097
говно какое-то бесполезное, гомологии где?
Аноним 21/02/25 Птн 23:32:42 120106 465
>>120097
Мне кажется, в таких случаях обычно смотрят сначала на фигуру, вложенную в плоскость, а потом устанавливают изоморфизм действий подгруппы поворотов плоскости и перестановок вершин или типа того.
Аноним 22/02/25 Суб 09:01:31 120108 466
>>120106
>обычно смотрят сначала на фигуру, вложенную в плоскость
Ну то есть вводят координаты, я про это писал.
Это не сработает, если $X$ - множество со структурой, которая не вкладывается в многообразие, например, алгебраическая структура, или просто множество.
>а потом устанавливают изоморфизм действий подгруппы поворотов плоскости и перестановок вершин или типа того.
Такого изоморфизма не существует, если что. $D_{2n}$ не вкладывается в $SO(n)$.
И вообще, квадрат был просто примером же.
Аноним 22/02/25 Суб 11:16:27 120110 467
>>120108
>Такого изоморфизма не существует, если что.
D_2n вкладывается в O(2) и следовательно в SO(3), что анон которому ты отвечаешь скорее всего и имел в виду.
мимо
Аноним 22/02/25 Суб 11:25:14 120111 468
>>120108
Бтв, мой ответ на твой вопрос: аналогия между сопряжением и заменой координат это прежде всего просто аналогия, которая становится строгой только в конкретных ситуациях, где есть смысл говорить о координатах.
Аноним 22/02/25 Суб 11:27:23 120112 469
>>120110
Так это понятно, что $O(n)$ вкладывается в $SO(n+1)$.
>что анон которому ты отвечаешь скорее всего и имел в виду
Ну сказано было
>устанавливают изоморфизм действий подгруппы поворотов плоскости и перестановок вершин
Я на что написано, на то и отвечаю.

Вопрос мой вообще был не об этом. Ладно короче, похуй.
Аноним 22/02/25 Суб 11:32:35 120113 470
>>120111
> это прежде всего просто аналогия, которая становится строгой только в конкретных ситуациях, где есть смысл говорить о координатах.
Так в том то и дело, что нет, потому что мы фактически и выбираем "координаты", когда (неявно) думаем об автоморфизме как об элементе симметрической группы. Я же об этом и писал.
Так что это не "просто аналогия". Как только у нас есть какое-то отображение $X \to I$ для множества индексов $I$ (которое либо индуцируется вложением $Aut(X)$ в $Sym(X)$, либо выбирается изначально), то уже имеет смысл об этом говорить.

Такой взгляд часто вижу в книгах 1890-1930х годов (в соответствующих терминах, конечно). Другое дело, что удобней/принято так не делать
Аноним 24/02/25 Пнд 10:58:50 120132 471
>>120128
Ты ничего нового, прости, не сказал, потому что ты не понял вопроса (но это моя вина, потому что я сумбурно написал). Ты отвечаешь на вопрос "что такое автоморфизмы в этих случаях", я этого не спрашивал, и более того, из моего поста понятно, что всем понятно, что за автоморфизмы тут будут.
>В общем виде через категории понять можно
Теория категорий тут не причём. Группу как структуру множества "симметрий" определяли ещё более 100 лет назад.
>Ну а действие некой группы это как раз
Да я об этом уже писал же, это понятно.

Короче, вопрос снимается из-за моего косноязычия.
Аноним 16/03/25 Вск 08:17:18 120593 472
Расскажите, для чего нужна группа классов дивизоров и как она связана с задачами криптографии? Как себе представить интуитивно, что это за такой объект? Для чего вообще нужны дивизоры?
Аноним 16/03/25 Вск 15:25:04 120603 473
>>120593
Дивизоры нужны, например, чтобы из информации, какие точки кривой являются нулями или полюсами желаемой функции, построить собственно эту желаемую функцию. Группа классов дивизоров это мера того, насколько возможно из произвольной формальной линейной комбинации точек кривой, кодирующей, какие точки должны быть нулями и какие полюсами желаемой функции, построить такую функцию. Если группа тривиальна, то это возможно для любой комбинации.
Аноним 17/03/25 Пнд 08:43:26 120607 474
>>120603
Спасибо. А в каком учебнике об этом можно почитать?
Аноним 17/03/25 Пнд 12:44:34 120609 475
>>120603
ДивИзор или дивизОр?
Аноним 17/03/25 Пнд 13:02:25 120610 476
>>120607
Материал есть в любом учебнике по алгему любого уровня (для криптографии тебе хватит чего-то про (эллиптические) кривые). Где это рассказывается именно такими словами, без потребности извлекать эту идею из примеров и теорем, я не знаю.
>>120609
ДивизОр.
Аноним 17/03/25 Пнд 18:52:23 120616 477
Аноним 18/03/25 Втр 18:26:57 120642 478
Аноним 19/03/25 Срд 08:35:13 120660 479
Раз уж про ударения заговорили. ВпОлне или вполнЕ упорядоченное множество?
Аноним 19/03/25 Срд 13:21:44 120663 480
>>120660
второе, конечно, это же просто русский язык
Аноним 19/03/25 Срд 13:41:35 120665 481
>>120660
>>120610
>>120609
>>120663
>Раз уж про ударения заговорили
Вот кстати тоже недавно искал, почему комплЕкс, комплЕксные числа. Ну думал корни латинские, там комплЕксус, оттуда в европейские языки, ну и сильное французское влияние было на российскую науку в, скажем, 17-18 веке (ну это предполжение, если кто знает точно - пишите).
Не суть, вобщем дошёл до цепных комплЕксов, и тоже думал что их нахреначили ожидаемые личности типа серров и гротендиков. Ан нет, вроде как первым, кто использовал, был Майер, тот который из Майера-Вииториса. А Майер - австриец, писал на немецком. Но там тоже комплЕкс читается, так что разницы для заимствования (видимо) нет.
Кстати, интересный слабо связанный факт: Вииторис умер в 110 лет.

Ещё один интересный факт про названия, который я недавно узнал: Арнольд был за использования русскоязычных аналогов, например струя, а не джет. Он спорил с Виноградовым на эту тему (который потом организовал коллектив Джета Неструева).

Давно хотел запилить тред про математические названия и интересности в истории математики в принципе. Но всё что-то откладывал, день, месяц, джва года, а тут уже и раздел почти дохлый...
Аноним 19/03/25 Срд 13:42:48 120666 482
>>120665
>17-18 веке
Ну рановато взял конечно, с 18ого начиная.
Аноним 19/03/25 Срд 20:09:12 120675 483
1600349112332.png 135Кб, 1066x474
1066x474
1722369092639.png 80Кб, 1240x262
1240x262
1690492481978.png 300Кб, 1248x878
1248x878
>>120665
Из книжек Вавилова по этому поводу.
Аноним 20/03/25 Чтв 08:31:23 120677 484
>>120675
Вот это очень интересно, спасибо анон. Что советуешь у него почитать по теме?
Аноним 20/03/25 Чтв 14:13:23 120681 485
>>120677
У него про это не так много, это просто заметки на полях скорее, по-моему скринами его высказывания по этой теме и исчерпываются.
Аноним 20/03/25 Чтв 18:03:26 120682 486
>>120675
А что за книжка такая
Аноним 20/03/25 Чтв 20:52:48 120683 487
>>120682
Конкретная теория групп, Конкретная теория колец.
Аноним 29/03/25 Суб 18:36:02 120810 488
Почему нигде нормально не расписана интерпретация классификации к.п. модулей над кольцами главных идеалов в терминах аффинных схем и когерентных пучков, или просто хоть какая-то геометрическая интуиция? У этой теоремы очевидно есть геометрическое содержание, но про него нигде не пишут, приходится всё самому придумывать.
Аноним 30/03/25 Вск 15:05:46 120818 489
17430976389190.jpg 434Кб, 853x1280
853x1280
>>120675
> Вавилов
Вместе с Успенским - биба и боба, вока и жока совковой псевдоматематики. У одного N неопределяемое понятие, у другого - алгебру можно понять только читая оригиналы 19 века на староколпакском. Самое смешное, что местные подбородочные гении на это ведутся. Вы же реально конченые
Аноним 30/03/25 Вск 16:15:38 120819 490
>>120818
>У одного N неопределяемое понятие,
Любой, кто это эссе, предназначенное для широкой публики, действительно прочитал, должен хорошо понимать, в каком смысле N "неопределяемо". Математически ничего неправильного или вводящего в заблуждение Успенский не говорит, всё это покрывается в первом курсе матлогики.
>у другого - алгебру можно понять только читая оригиналы 19 века на староколпакском
Очевидный эпатаж, в стиле Арнольда того же, причем содержащийся исключительно в "книгах", которые он сам просил не распространять.
>псевдоматематики
Оба очень хорошие математики.
Аноним 31/03/25 Пнд 17:26:50 120825 491
>>120810
Серр-Свон?
>приходится всё самому придумывать.
Это да. Но зато когда придумаешь, обретаешь более глубокое понимание.
Аноним 02/04/25 Срд 11:56:29 120829 492
>>120825
>Серр-Свон?
Не. Понятно, что морально модуль над кольцом нужно понимать как пространство сечений векторного расслоения над спектром кольца, и теорема Серра про то, в каких случаях это не аналогия, а строгое соответствие. Но это не особо объясняет геометрическую природу разложения к.п. модулей (=когерентных пучков) над кольцом г.и. (=аффинной схемой с размерностью $\leq 1$) в целом и конкретных примеров (кольцо K[T] для линейного оператора T) и как это связано с вещами вроде носителя пучка, линейными расслоениями, группой Пикара, геометрической интерпретацией примарного разложения, хотя связи эти есть. У меня получается понять отдельные детали (они все на поверхности на самом деле), но понятной общей картины не возникает и нормальной интуиции нет.
Аноним 02/04/25 Срд 16:13:40 120832 493
>>120829
схемно-пучковый картофан
Аноним 03/04/25 Чтв 00:24:59 120833 494
>>120832
Нет, ну вы поглядите, уже и пучки картофан. А что тогда не картофан, что?
Аноним 03/04/25 Чтв 07:00:21 120834 495
>>120833
> уже и пучки картофан.
> уже
Всегда им были.
Аноним 07/04/25 Пнд 09:12:01 120873 496
Аноним 07/04/25 Пнд 10:52:16 120875 497
Аноним 08/04/25 Втр 00:42:36 120891 498
Аноним 08/04/25 Втр 08:36:51 120894 499
Аноним 08/04/25 Втр 13:08:37 120898 500
aa.jpg 55Кб, 640x889
640x889
Настройки X
Ответить в тред X
15000
Добавить файл/ctrl-v
Стикеры X
Избранное / Топ тредов