Главная Юзердоски Каталог Трекер NSFW Настройки

Математика

Ответить в тред Ответить в тред
Check this out!
<<
Назад | Вниз | Каталог | Обновить | Автообновление | 59 12 22
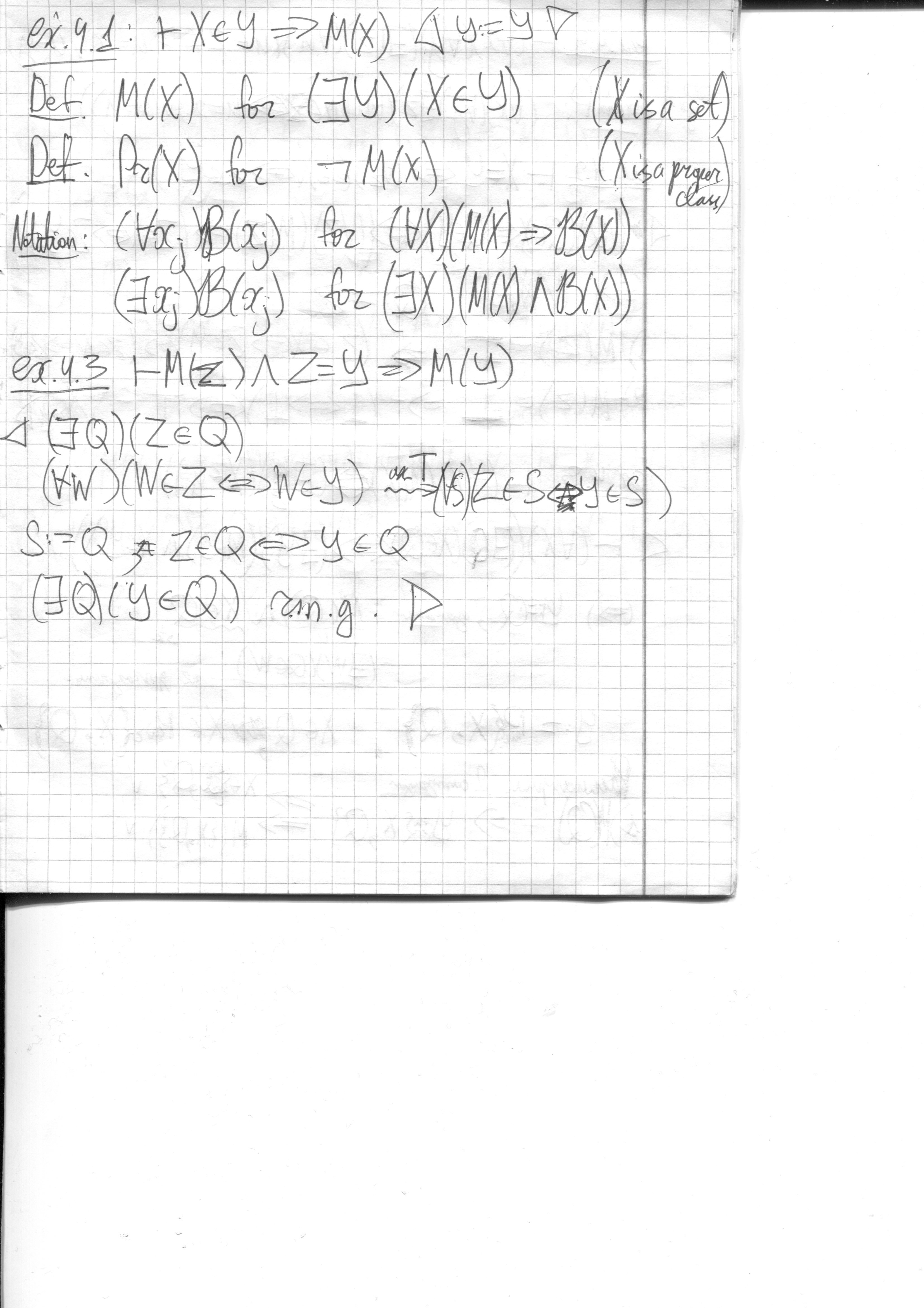
Ты - не математик, если не знаешь NBG. Аноним 01/02/17 Срд 17:45:18 9895 1
MATH001.jpg 1382Кб, 3308x4679
3308x4679

Решаем
Mendelson Elliott: Introduction to Mathematical Logic
http://rgho.st/7WHmFCSPM

По моему скромному разумению - уметь решать эти задачи максимально чётко должен уметь всякий уважающий себя математик, и неважно в какой сфере он работает.

Здесь я буду постить решения, до тех пор пока не прорешаю всё. Если кто хочет за компанию - присоединяйтесь, спрашивайте, предлагайте свои варианты, критикуйте.

Пикрелейтед включает в себя необходимые 13 аксиом(с галочками), которые составляют суть теории.

Чем крута NBG?
1) конечной аксиоматизируемостью(в отличие от ZFC)
2) отсутствием парадоксов (в отличие от наивной теории множеств)
3) наличием классов (в отличие от ZFC)
4) после её изучения - понятно о чём стандартные вузовские курсы
5) высокой скоростью доказывания, по сравнению с HoTT-ом, например, который собственно ещё очень сырой и совершенно невоспринимаем большинством математиков.

A про книгу - выдержала 6 изданий, что косвенно говорит о качестве. В подарок - определим таки наконец ординалы, и не только N.

Короче, в добрый путь!




Аноним 01/02/17 Срд 17:51:38 9898 2
MATH002.jpg 1182Кб, 3308x4679
3308x4679
p.s. также есть мнение, что NBG - хороша для изучения перед теорией категорий: ведь тогда не будет никаких вопросов типа "А что такое large category"? (которых и на dxdy хватает, с совершенно нелепыми ответами.)

Так, и да, если я что-то решил, это не значит, что я это не перерешаю с большей точностью суждений.
Аноним 01/02/17 Срд 17:54:42 9900 3
MATH003.jpg 1180Кб, 3308x4679
3308x4679
Аноним 01/02/17 Срд 18:08:51 9904 4
MATH004.jpg 1293Кб, 3308x4679
3308x4679
>>9895 (OP)
Attention!
Собственно самое главное - решаем именно главы 4.1 и 4.2.

Указываем решенные на фото:
ex. 4.2, 4.5
Аноним 01/02/17 Срд 18:13:30 9907 5
MATH005.jpg 1255Кб, 3308x4679
3308x4679
(без номера, о том, что пустой класс - это множество)

Разумеется, в начале мои доказательства - будут хуже по качеству, чем в конце, поэтому - смело переписывайте начисто с дополнительными пояснениями.

Например - надо, чтобы были видны благодаря каким правилам логики предикатов осуществляются переходы между высказываниями о классах.
Аноним 01/02/17 Срд 18:28:04 9918 6
Снимок.PNG 121Кб, 246x364
246x364
Аноним 01/02/17 Срд 18:33:38 9921 7
Бля, ты заебал, 3 треда про свою логику ебучую создал, у вас же есть тред про основания - там и паситесь.
Аноним 01/02/17 Срд 18:34:31 9922 8
Посмотрел по диагонали оглавление этого вашего Мендельсона, вот это http://bookzz.org/md5/1EC5F0DF018488D368BB3CB9D4EE279B посолиднее выглядит. Опять же, один из авторов - тот самый Френкель, который систему Цермело допилил.
Аноним 01/02/17 Срд 18:37:07 9923 9
>>9895 (OP)
Почему не взять книгу Манина, она интереснее.
Аноним 01/02/17 Срд 19:10:54 9936 10
>>9921
Так это другой анон алсо, это лучше, чем слушать нытье хорена про мочу в половине тредов на нулевой
Аноним 01/02/17 Срд 19:14:56 9938 11
>>9923
Сначала ту, годнота же.
Аноним 01/02/17 Срд 19:22:42 9939 12
>>9936
И то так. Но я просто множества не люблю, топтание на пустом месте какое-то.
Аноним 02/02/17 Чтв 10:24:06 10016 13
sage Аноним # OP 04/02/17 Суб 11:02:34 10307 14
Я вернулся, решил не просто доказывать это, а формально верифицировать(пока - всё утверждения до ex4.6). По скорости - лишь на процентов 10 медленнее получается, чем на бумаге.

Аноним 05/02/17 Вск 06:17:01 10357 15
Аноним # OP 05/02/17 Вск 15:16:27 10365 16
>>10357
В Coq. Пока выкладывать не буду - не насчёт всего на 100% уверен. Но вроде получается, до 4.26 добрался. С гигантскими пропусками, разумеется.
Аноним 05/02/17 Вск 17:25:59 10380 17
>>9895 (OP)
Ящик рассчитать поможет?
Аноним # OP 06/02/17 Пнд 10:50:13 10412 18
>>9895 (OP)
Вот моя имплементация
https://github.com/FirstLast1/nbg_in_coq/blob/master/NBG.v
Как что-нибудь обновлю - сразу напишу тут.
Критика, рекомендации и попытки самостоятельного решения нерешённых или решённых упражнений - приветствуются.
Аноним 06/02/17 Пнд 14:07:39 10423 19
Стесняюсь спросить, если NBG представима в зависимых типах (оп жи ее на куке пишет), то зачем она вообще нужна, когда есть MLTT? Дополнительный набор костылей?
Аноним 06/02/17 Пнд 14:24:36 10427 20
>>10423

Предлагаю тебе решить 5-10 упражнений подряд оттуда таким образом, который ты предлагаешь и выложить это, чтобы я понял, твой подход работает лучше и научился ему. Согласен?




Аноним # OP 07/02/17 Втр 01:29:18 10547 21
>>9895 (OP)
Мне пояснили, что лучше либо готовые Ensembles в Coq, либо Mizar.
1) Я пока ещё не понял, есть ли там классы.
2) Установил Mizar, наверное надо на него переходить - вроде как самый распространённый язык формальных доказательств и обещали гигантскую стандартную библиотеку. Но пока даже ещё запустить не смог, есть какое-нибудь адекватное IDE? Если кто-нибудь пользует - как там минимальный хеллоуворлд написать и запустить?
Возможно просто уже ночь, но я в упор не вижу инструкции по первым шагам.


Аноним 07/02/17 Втр 11:54:22 10561 22
Аноним 07/02/17 Втр 15:05:03 10564 23
Аноним 07/02/17 Втр 16:07:41 10578 24
>>10564
У Coq-а тоже есть браузерный вариант: https://x80.org/collacoq/

LEAN - это майкрософт с большинством ноунейм разработчиков.

А у Coq-а - открытый код, активное коммьюнити и тридцатилетняя история и известные авторы.

Ну я бы точно не стал доверять разработчикам Windows.

p.s. наверное всё-таки буду продолжать на Coq-е, но сначала надо выяснить, какую они там теорию множеств-то реализовали - это пока непонятно.
Благо, что при использовании Ensembles можно практически не менять доказательства.

Я пока не понял как там классы определяются, typeclass наверное?


Аноним 07/02/17 Втр 19:21:48 10586 25
>>10561
Это ты заявляешь из идеологических соображений - предпочитая интуиционистскую теорию типов построениям на базе классической логики первого порядка? Или ты в самом деле всерьез пробовал и то и то и считаешь, что Coq удобнее в использование?

>>10547
Я сам сколь-нибудь всерьез не занимался формализацией доказательств в таких системах. Но из общих соображений я бы предположил, что тебе Mizar больше подходит. Coq - это система на основе Calculus of Inductive Constructions, который является вариантом интуиционистской теории типов. И формализацию математики, насколько я понимаю, они в норме делают именно за счет средств Cic, а не погружая в него теорию множеств и формализуя математику в этом погружение. В Mizar-е, насколько я понимаю ситуацию, напротив в норме используют более классический подход к формализации математики - Mizar проверяет доказательства в логике первого порядка, а стандартная библиотека сделана на основе теории множеств (ZFC + аксиома вселенных Гротендика). Судя по тому, что в Mizar-е уже очень много чего формализовано, думаю что пользоваться им в худшем случае не сильно более неудобно, чем Coq. В тоже время, Mizar ориентирован на случая гораздо более похожий на твой (формализацию доказательств в NGB).
Аноним 07/02/17 Втр 19:29:17 10591 26
>>10578
>сначала надо выяснить, какую они там теорию множеств-то реализовали - это пока непонятно.
Никакую, этот >>10586 правильно поясняет, там построения на основе конструктивнй теории типов.
Аноним 07/02/17 Втр 19:45:08 10598 27
>>10586
>Это ты заявляешь из идеологических соображений - предпочитая интуиционистскую теорию типов построениям на базе классической логики первого порядка
я это заявляю, потому что coq в 1000 раз популярнее и на нем уже все реализовали, сиди да и пользуйся.
Аноним 07/02/17 Втр 19:49:56 10599 28
>>10598
>в 1000 раз популярнее
Это, очевидно, не так. Например, в этом рейтинге по числу формализованных теорем он его просто обгоняет http://www.cs.ru.nl/~freek/100/ .
Аноним 07/02/17 Втр 19:51:55 10600 29
>>10598
>coq в 1000 раз популярнее
А ничего, что там MLTT вместо логики первого порядка, и реализуя NBG поверх MLTT, ты занимаешься чем-то уровня натягивания совы на глобус?
Аноним 07/02/17 Втр 20:11:15 10603 30
>>10600
>А ничего, что там MLTT вместо логики первого порядка
хуйню несешь.
https://en.wikipedia.org/wiki/Calculus_of_constructions
https://coq.inria.fr/distrib/current/refman/Reference-Manual006.html

>>10599
зато по количеству кода на github, статей на arxiv.org и доказанных серьезных теорем coq уделывает эту поделку на паскале. В Coq даже есть mizar mode, настолько он развит.
Аноним 07/02/17 Втр 20:35:41 10606 31
>>10603
>зато по количеству кода на github, статей на arxiv.org и доказанных серьезных теорем coq уделывает эту поделку на паскале
Не проверял, вполне допускаю что правда несколько больше. Но если бы Coq был именно несравненно более популярен (что ты, фактически, пытался утверждать), чем Mizar, то он бы опережал везде и всегда. А если нет решительного перевеса по популярности, то адекватно выбирать инструмент более подходящий для конкретной цели.
Аноним 07/02/17 Втр 22:05:15 10610 32
>>10606
Не уверен, но предполагаю, что mizar занимает лидирующую позицию по количеству теорем, так как именно близкая к ним тусовка начала https://en.wikipedia.org/wiki/QED_manifesto ?

Coq _выглядит_ более презентабельно по многим критериям.

И множества и классы - часть MLTT.
Натягивание совы на шар может пригодиться для построения модели NBG-теории в чём-то другом (для учебных целей онли). Да в том же MLTT/HoTT, положив 1-truncated типы как U в Ensembles (оно же - Var у меня). (Только предполагаю, офк)

На данную тему нужна серия лекций специалиста.









Аноним # OP 07/02/17 Втр 22:13:56 10611 33
p.s. честно говоря, не сильно яснее стало, что надо предпочесть Mizar, Coq или что-то ещё (почему бы не Isabelle?), придётся пробовать наудачу. В любом случае, спасибо за мнения, аноны.
Аноним 08/02/17 Срд 10:56:46 10627 34
>>10610
>Coq _выглядит_ более презентабельно по многим критериям.
1) наличие на github
2) использование его авторами HoTT и серьезных теорем
3) наличие многих инструментов, экспорта в haskell

Мне кажется выбор стоит скорее между Coq и менее удобным, но переспективным Agda, чем между Coq и чем-то другим.
Аноним 09/02/17 Чтв 00:18:05 10678 35
chicken.webm 19470Кб, 1278x576
1278x576
Аноним 09/02/17 Чтв 15:16:58 10696 36
10/10, мне вспомнился Джет Ли в костюме петуха
Аноним 10/02/17 Птн 07:26:12 10737 37
38755223.jpg 265Кб, 600x849
600x849
>>9895 (OP)
>Mendelson Elliott: Introduction to Mathematical Logic
Посвежее есть что-нибудь с NBG? Пусть даже на английском.
Я просто чувствителен к качеству pdf-учебника, не могу в сканы.
А так бы попробовал прорешать что-нибудь по основаниям, всё хочу их осилить, но пока даже в ZFC строго не разобрался.
И тоже попробую верифицировать, только не в Coq, а в Agda, там синтаксис няшный.
Аноним 10/02/17 Птн 08:14:06 10738 38
14517746877680.gif 686Кб, 500x555
500x555
Вот свежее (6-е), не шакальное издание того же учебника, что в ОП-посте:
https://my.mixtape.moe/tpcyzr.pdf

Жаль рашкинские издатели до сих пор не начали продавать электронные версии учебников, чтобы их можно было пиздить в нормальном качестве.
Так-то 4-е издание переводили, но в интернетах только шакальные сканы 2-го.
Блджад, как же плохо без уверенного инглиша.
Аноним 10/02/17 Птн 13:34:14 10740 39
>>10737
>Посвежее есть что-нибудь с NBG?
Не понимаю я вот такого школьничества и никогда не понимал. Посвежее, блядь. Как будто в NBG что-то изменилось со времен фон Неймана, Геделя и Бернайса, а в ZFC - со времен Цермело с Френкелем.
Аноним 10/02/17 Птн 18:35:24 10758 40
>>10738
это ты в асулуме сидел?
Аноним 10/02/17 Птн 18:38:17 10759 41
а на русише чо почитать?
Аноним 10/02/17 Птн 18:49:07 10761 42
>>9895 (OP)
А кто бабу не драл - не мужик.
Аноним 10/02/17 Птн 20:45:07 10771 43
>>10761
Ну с этим вроде как все присутствующие согласны.
Аноним 10/02/17 Птн 20:53:36 10773 44
>>10771
А вот, чтобы математиком стать, не обязательно мужиком быть, даже наборот.
Аноним 10/02/17 Птн 21:02:00 10774 45
>>10773
>даже наоборот
Поэтому у большинства математиков по 3-4 ребенка, того же Вербицкого вспомни.
Аноним 10/02/17 Птн 22:11:03 10775 46
>>10774
но он ничего не открыл и не тру-математик
Аноним 10/02/17 Птн 23:15:29 10777 47
>>10775
>но он ничего не открыл
пруф
Аноним # OP 11/02/17 Суб 12:11:42 10785 48
>>10737
Есть 6th edition, в хорошем качестве, pdf, не скан. В самом вехнем посте ссылка на него.
Аноним 11/02/17 Суб 14:34:06 10790 49
iscribbleuhbymo[...].jpg 36Кб, 400x366
400x366
Ух, только заметил что я ебанулся на отличненько и учебник который я "доставил" в >>10738
и был в ОП-посте. Видимо я просмотрел >>9918 и почему-то думал что это он там был.

>>10740
Ты мой пост плохо понял?
Меня устраивают старые учебники содержательно.
Меня не устраивают электронные версии старых (изданий) учебников тем что они обычно представлены в виде хуёвых сканов. И нотация там иногда раздражает, вроде ⊃ в качестве импликации.

>>10758
Нет, не сидел там. Неприятное место, мало отличается от какого-нибудь /fag/
Аноним 11/02/17 Суб 15:06:38 10792 50
>>10790
>вроде ⊃ в качестве импликации.
Но отношение подмножества в теории множеств это и есть импликация в логике. Так даже понятнее суть происходящего, чем какие-то стрелочки.
Аноним 11/02/17 Суб 18:09:00 10794 51
>>10792
Архаичное обозначение. После 60-х так уже почти никто не писал.
Аноним 11/02/17 Суб 20:37:08 10801 52
>>10794
А ты точно все учебники и на всех языках мира с 60-х перечитал?
Аноним # OP 17/03/17 Птн 14:57:59 13094 53
onlyoneemptyset[...].png 90Кб, 677x558
677x558
Выписал сотню утверждений, часть доказал.
https://goo.gl/WViV5e

Модеру: давай сделаем этот тред модерируемым/тематическим - добавим в шапку ссылку "Мендельсона тред".
Аноним 18/03/17 Суб 20:43:11 13225 54
2017-02-16125803.jpg 43Кб, 780x433
780x433
Мендельсона тред?
Аноним 21/03/17 Втр 21:56:01 13404 55
>>13225
>>9895 (OP)

По отзыву одного профессионального логика, у Мендельсона - лучшее изложение NBG.
(Опечатки, разумеется, есть, но нет небрежных выводов.)
Аноним 24/03/22 Чтв 21:28:47 94653 56
>>9895 (OP)
>>19319 (OP)
Почему ты выбрал Metamath, а не Mizar? Только из-за живого коммьюнити? Мне вот ещё приглянулся Isabelle, кто-нибудь тут пользуется им? Стоит ли вообще останавливаться на Metamath/Mizar/Isabelle/etc? Может сразу использовать Coq? Вроде в Coq ZFC очень неестественным образом реализована — это меня смущает. Но правильно ли я понимаю, что для серьёзной математики больше подходит Coq, нежели ассистанты на простой теории типов/теории множеств?
Аноним 26/03/22 Суб 02:28:26 94678 57
>>9895 (OP)
>По моему скромному разумению - уметь решать эти задачи максимально чётко должен уметь всякий уважающий себя математик, и неважно в какой сфере он работает.
А по моему скромному мнению, ты мудак
Будет он ещё решать, что я должен уметь, а что нет. Плюю тебе в твоё тупое ебало
Аноним 26/03/22 Суб 02:29:45 94679 58
>>94678
простите, не заметил тред 17ого года
ОП уже мёртв, наверное
Аноним 12/04/22 Втр 01:28:36 95073 59
>>9939
Так ты не пустые рассматривай)0
Настройки X
Ответить в тред X
15000
Добавить файл/ctrl-v
Стикеры X
Избранное / Топ тредов