Главная Юзердоски Каталог Трекер NSFW Настройки

Самообразование

Ответить в тред Ответить в тред
Check this out!
<<
Назад | Вниз | Каталог | Обновить | Автообновление | 100 25 41
Тайм-менеджмент Аноним 30/03/15 Пнд 12:59:19 11844 1
14Кб, 459x321
459x321
Настало время треда по тайм-менеджменту. ТМ - штука полезная абсолютно для всех, если пользоваться ей без фанатизма. По сабжу почти ничего не знаю, запощу пока что есть в надежде, что подключатся знающие аноны.
Аноним 30/03/15 Пнд 13:02:29 11845 2
Аноним 30/03/15 Пнд 13:07:36 11848 3
Хрен знает, где взял

Как доводить начатое до конца (7 советов)

1. Составляйте списки дел. Возьмите ручку и листок, откройте специальную программу или приложение и прямо сейчас составьте список всех дел, довлеющих над вами. Отвлекитесь на 10 минут, расслабьтесь, ведь вы уже выплеснули все, что вас волнует, на бумагу/экран. Вернитесь к списку, взгляните на него критически: какая из вышеперечисленных причин мешает довести каждое из указанных дел до конца?

2. Вычеркиваем ненужное. Прочитайте список еще раз. Подумайте, а эти книги помогут вам в карьере? Дела, которые не целесообразны, вычеркните из списка. Лучше потратьте время на действительно что-то важное.

3. Запоминаем «правило двух минут». Есть в тайм-менеджменте такой принцип – «правило двух минут»: дела, которые займут не более 2-5 минут, выполняются незамедлительно и вычеркиваются. Разобрать полку в шкафу, навести порядок на полочке в ванной, загрузить стиральную машину бельем – все это занимает не более 5 (максимум 10) минут. Прошло всего полчаса, а у вас уже сделано от 5 до 10 дел!

4. Стань французом – съешь «лягушку». Выделите зеленым цветом в списке все пункты, причиной невыполнения которых стала лень. Это самые неприятные дела, которые вы откладываете до последнего, в тайм-менеджменте они называются «лягушками». «Есть лягушек», т.е. справляться с нелюбимыми делами, лучше с утра. Например, от вас требуют что-то написать. Представьте в мельчайших подробностях, как вы его пишете. Прочувствуйте, сделайте и потратьте остаток дня на более приятное времяпрепровождение.

5. Поделите «слона». Самые тяжелые и сложные дела называются «слонами». Если вы не знаете, с чего начать, попробуйте «слона» поделить – разбить дело на несколько этапов или дел. Чем проще и быстрее выполняется этап, тем лучше. Что ваше сознание воспримет легче: 5 сложных и долгих дел по времени или 20 простых 5-минутных дел? Главное правило – возвращайтесь к ним в свободную минуту. Допустим, вы решили выучить французский язык. Утром выучили одно правило грамматики, днем – 10 слов, вечером составили пару предложений с новыми словами по выученному правилу. Глядишь, через несколько месяцев уже сможете сносно изъясняться с вашими деловыми партнерами-французами.

6. Хвалите себя. Ничто так не радует и не воодушевляет, как длинный список выполненных дел. Поэтому как только выполнили дело, смело его вычеркивайте и обязательно хвалите себя за это. Энтузиазм увеличится, если за трудностями как спасательный круг будет маячить поощрение: шопинг, приятный вечер, вкусности к чаю.

7. Подводите итоги. Выделите несколько часов раз в неделю или в месяц (кому как удобно) и подведите итоги. Вы заметите, что многие дела доведены до конца, несколько «лягушек» исчезли, а пара «слонов» усохли наполовину. Еще раз похвалите себя и дополните список новыми делами.
Аноним 30/03/15 Пнд 13:09:33 11849 4
Аноним 30/03/15 Пнд 13:10:33 11850 5
Аноним 30/03/15 Пнд 13:12:24 11851 6
Аноним 30/03/15 Пнд 13:13:43 11852 7
Аноним 30/03/15 Пнд 13:14:12 11853 8
Аноним 30/03/15 Пнд 13:19:24 11854 9
Аноним 30/03/15 Пнд 13:21:21 11855 10
Аноним 30/03/15 Пнд 13:24:11 11856 11
Аноним 30/03/15 Пнд 13:41:18 11860 12
Аноним 30/03/15 Пнд 13:43:38 11862 13
Аноним 30/03/15 Пнд 13:56:41 11863 14
> Глеб Архангельский

Лол. Этот питух умудрился найти нишу по продаже суходрочки тем, кто ничего не хочет делать. По сути, он продает линованные дешевые блокнотики задораго. Это как продавать дешево, только дорого.

"Ой, я ничего не делаю, пойду позаполняю плашки и таблички. Ой так красиво, заполню еще. Ой надоело, но я занимался делом, я заполнял планы на завтра и на ближайший час! Пойду посру, а потом - двачик до утра".

Все что надо - это просто брать и делать какое-то дело прямо сейчас. Все на этом. Никаких "тайм-менджементов".

Нет, Глебушек продал нам сладкий хлебушек по самооправданию нашего ничего не делания. Это как жируха гладит свои бока и растяжки, заедая стресс от увиденного курочкой с маязензиком.
Аноним 31/03/15 Втр 01:09:28 11927 15
>>11863
Не все мотивируются словами "просто иди и делай прямо сейчас".
Аноним 31/03/15 Втр 04:39:18 11928 16
>>11927
Это наверное гость из соседнего треда. Там у них мотивация для девочек, а поступки мужчины определяются исключительно логикой
Аноним 31/03/15 Втр 08:16:33 11941 17
ну наконец-то это тред. само его появление меня замотивировало.

>>11848
советую обмазаться статьями Стива Павлины (кстати у него много таких списков)

>>11851
ну это уже стандарт. от которого можно отталкиваться и додумывать что-то свое. если влом читать всю книгу, вот ее краткое изложение (автор построил понятную схему, в самой книге такого нет): http://mydebianblog.blogspot.ru/2013/08/getting-things-done-gtd.html

>>11853
книга "Больше значит меньше" на эту тему

>>11854
эта техника работала у меня пару дней, потом мозг понял, что его слишком легко обманывают.

>>11863
>Все что надо - это просто брать и делать какое-то дело прямо сейчас
желательно важное, трудное или срочное
31/03/15 Втр 11:52:13 11956 18
>>11941
>>ну это уже стандарт. от которого можно отталкиваться и додумывать что-то свое. если влом читать всю книгу, вот ее краткое изложение (автор построил понятную схему, в самой книге такого нет): http://mydebianblog.blogspot.ru/2013/08/getting-things-done-gtd.html
По помидору от того же автора:
http://mydebianblog.blogspot.ru/2012/08/pomodoro.html
31/03/15 Втр 12:01:40 11958 19
Аноним 31/03/15 Втр 12:02:50 11959 20
Аноним 31/03/15 Втр 12:10:30 11964 21
Nexus 5 + Гугл Calendar, где записаны все дела. Успеваю все, по максимуму. Виджет на главной странице, все дела всплывают на главный экран в зависимости от дела (за 10 минут, за час или как нужно).
На второй странице, слева на экране Пресеты из Beatuful Timer.
Там 3 таймера, один для работы (40 минут), один для отдыха (5 минут), один для отдыха между физ.подходами.
Аноним 31/03/15 Втр 21:12:48 12048 22
>>11964
дополню, писал а то быстро.

Google Calendar+приложение Расписашка+телефон на андроиде.
Расписашка - приложение для расписания пар (я студент) с последующем интеграцией его в Google Calendar.
Есть одна проблема, которую так и не решил - на телефоне в Calendar Расписашку вижу, а на компьютере нет. Не смертельно так-то, заполняю расписание, когда одновременно всегда около меня телефон и компьютер.
Виджет Календаря на главной телефона при разблокировке.
Уведомления - всплывают на экран (есть в настройках каждого мероприятия по расписанию), так как телефон я держу в руках около 60% всего времени, когда я на ногах. В зависимости от того, как пользуетесь телефоном, ставьте уведомления, то есть как будильник или как просто всплывающее сообщение.
Притом я дошел дальше, у меня на каждый день поставлено:
время подъема
время отведенное на чистку зубов и умывание
время зарядки
время залипания в телефон (ну не могу пока утром от этого отказаться).
Вечером - душ, умывание
И сон.

Поставлены уведомления эти на каждый день, даже на субботу и воскресенье.
Если хочешь чего-то добиться - ты должен жить в одном темпе ВСЕГДА. Высыпаться по субботам, воскресеньям крайне нежелательно, ты должен высыпаться всегда,а не только в эти дни, иначе быть готовым на 50% значит и делать всё хуево.

У меня по графику даже общение с родными и близкими. Четко по времени. Если человек например навязывается в то время, которое ему не отведено - дай ему четкий посыл, что сейчас ты не можешь, если он нормальный - он поймет и не обидится.

Физические упражнения - я стал замечать что я, 3 раза в неделю бегая и отжимаясь-подтягиваясь - очень хорошо начал чувствовать себя.

Тайм-менеджмент еще подразумевает быстрый поиск нужной информации. Я пока лучшей программы, как Evernote - не нашел. Отличная программа в этом плане, вся информация, прям целую жизнь можно в статьи запилить.
Аноним 31/03/15 Втр 21:39:31 12049 23
Вот эти>>3725 штуки, кстати, друзья тайм-менеджмента.
Аноним 01/04/15 Срд 08:12:30 12077 24
>>11927

Так а зачем тебе мотивация? Она нужна только там, где нет выгоды. Ищи выгоду, и мотивация будет сама по себе, бесплатно и без смс. Например мне нужно отдать жалобу в прокуратуру. Зачем? Потому что хочу подгадить одной твари. Вот и все, никаких мотивация и тайм-менджементов. Выгода.
Аноним 01/04/15 Срд 13:51:54 12112 25
>>12077
Отлично, здесь всё просто и достаточно понятно. Но даже тут некоторые люди не могут сходу так делать, и разбивают на части. А представь большое, неохватимое глазом дело… Не видна отдача от шажка, от десяти, от ста. Тут и полезно всё это. Это причём если принимать, что при наличии чёткой и приятной и близкой цели сразу будешь всё делать.
В "Схизматрице" был человек, который реализовывал долгий проект и пил наркотики для того, чтобы сохранить интерес к нему.

Тайм-менеджмент может быть нужен также при более сложной структуре дел.
Аноним 02/04/15 Чтв 17:10:14 12304 26
> ТМ - штука полезная абсолютно для всех
Нет. ТМ только для тех у кого большие нагрузки и реально проблемы с тем, чтобы грамотно распределить время для выполнения всех дел.

Но иногда обычные прокрастинаторы думают типа:
"Я такое хуйло, потому что трачу время на всякие игори/сериальчики/аниму/проч." -> "Если я буду тратить время на что-то более полезное, то стану не таким хуйлом" -> "Надо научится тратить время более рационально" -> "О, тайм-менеджмент это что-то про управление временем, я научусь тратить время более рационально и не буду таким хуйлом"
Скажите, где я ошибся?!
Только тут сразу выйдет фейл, ибо ТМ - это ТМ, а преодоление прокрастинации - преодоление прокрастинации. Если, например, у прокрастинатора когнитивные искажения связанные с контролем, то он даже не начнет выполнять какую-то методику или же начнет и сразу бросит.

Использовать ТМ для преодоления прокрастинации, все равно что забивать гвоздь с помощью серпа. Теоретически можно, кому-нибудь даже поможет, но это не то, что нужно.

> если пользоваться ей без фанатизма
Не смей, мерзкий сосачеблядок, это наша фишка.
мимо тред не читал
Аноним 02/04/15 Чтв 17:41:03 12310 27
>>12077
>>11927
Хуле вы несете?
Мотивация - субъективное ощущение, которое определяется дофамином и серотонином.

1. Она не зависит от только лишь хочу. У рандома с низкой толерантностью к усилиям и фрустрациям все "хотелки" моментально пропадают, когда он сталкивается с первыми трудностями в освоении какого-либо дела.
2. Некоторые мамкины максималисты зачастую думают так:
"Вон рандом Х добился дофига потому что у него была хорошая мотивация" -> "Чтобы чего-то добиться нужна мотивация" -> "Чтобы мне чего-то добиться, мне тоже нужна мотивация" -> а) "Я буду искать деятельность, к которой у меня хорошая мотивация, когда найду я буду вообще дохуя успешным" / б) "Я буду искать технику увеличения мотивации, когда ее найду, буду заниматься тем, что мне интересно и добьюсь дохуя успеха".
В итоге люди, которым добиться успеха мешает лишь только якобы отсутствие достаточной мотивации, думают, что мотивация должна быть ДО. Ну что, думаешь так же? А вот хуй.
3. Мотивация действительно бывает ДО. Бывает она в случаях, когда нужно удовлетворить потребности для продолжения своего существования. А так же в редких случаях, когда некоторая деятельность в предыдущем опыте импринтируется, как интересная. Так бывает не сказать, что очень часто.
4. Так вот, мотивация вырабатывается В ПРОЦЕССЕ, когда человек преодолевает первые трудности и добивается первых результатов, у него вырабатываются нейромедиаторы отвечающие за удовольствие (в частности уже мною озвученные выше). И он продолжает.

А потом мне рассказывают какая у вас дохуя годная тематика. Ага, рассказывайте дальше.
Аноним 02/04/15 Чтв 18:15:39 12319 28
>>12304
>>Использовать ТМ для преодоления прокрастинации, все равно что забивать гвоздь с помощью серпа. Теоретически можно, кому-нибудь даже поможет, но это не то, что нужно.
Иди нахуй. Этот тред не о прокрастинации, а о ТМ. А вот уже для чего его использовать - дело каждого.
Аноним 02/04/15 Чтв 18:29:22 12322 29
>>12304
>>Не смей, мерзкий сосачеблядок, это наша фишка.
Доброчан практически мертв
Аноним 18/12/16 Вск 00:04:35 50227 30
Аноним 19/12/16 Пнд 18:06:59 50238 31
да, я зашел туда.jpg 120Кб, 353x885
353x885
>>11844 (OP)
Отлично. Очень хорошо, друг мой. Очень хорошо.

Классика тайм-менеджмента в России (!) – Люблищев. Читать: Гранин, "Эта странная жизнь", гуглится изи.
Тред не читал, но буду пидорасить классические методы, что наши, что зарубежку.
У меня есть своя сложная концепция тайм-менеджмента.

Короче.
Часто все сводятся к учету времени. Даже когда говорят "планирование времени", в итоге все равно суют свой ебаный учет. Учет поначалу полезен, но в целом сосет. От него стоит отделить самонаблюдение. Это важно и нужно.

Самонаблюдение – эта такая хуйня, когда ты следишь, работаешь ты или ебланишь. Это важно. Он, конечно, делается по классике – каждые пятнадцать минут записываешь, что делал в эти пятнадцать минут. Это важно, чтобы понять, куда проебывается время.

Чистый учет по времени – хуйня полная. Можно просидеть три часа за бумажками и ничего не сделать. Учет должен быть комплексным – по выполненной работе и по времени.

Теперь поехали.

Рабочий блок.

Рабочий блок – организованные заходы, собранные в один блок.
Заход – время, отведенное под выполнение задачи. Для каждой задачи свое, оптимальное время захода.
Короткий заход – быстрое решение разовой задачи. (10-20 мин)
Длинный заход – разбор по частям большой задачи. (30-90 мин)
Отдых – прерывание текущей деятельности, для восстановления сил. (5-30 мин)

Оптимальные временные регламенты (примеры):
40+20 45+15
30+10 30+15
50+30+40

Количество рабочих блоков:
Определяется либо распорядком дня, либо необходимостью прервать работу, например, тратя время на перемещение. При возникновении дополнительных обстоятельств блок можно раздробить.

Рабочий блок:
До начала работы:
План блока – продолжительность рабочего блока выбирается в зависимости от объема и типа задач. Не стоит делать блок дольше трех часов. Первые заходы блока стоит делать подольше, последние поменьше. Не стоит сильно зацикливаться на том, что блок выбран неоптимально, биологические перестройки все равно нарушат все планы. Тут важны принципиальные решения – короткие или длинные заходы, серии.
План работы – следует написать план работы, неважно, будет ли он действительно выполнен или нет, главное, что написанный план снижает переключаемость за счет принятия решений о следующих действиях.
Приготовления – следует также приготовить необходимое, но не стоит излишне зацикливаться на этом, потому что это тоже растрата сил.


Ход работы:
Первый заход – расставить приоритеты, начать выполнять первое задание.
В конце каждого захода – оставлять отметку о том, с чего следует начать в следующий раз.
В конце последнего захода – подвести итоги.

Варьирование – изменение длительности периодов отдыха и работы. Если работа идет хорошо, то можно продлить заход, а если наступил очевидный тупик – следует прерваться и отдохнуть.

Отдых – полежать, выйти на балкон и подышать, сделать чаю, прибраться на столе. Недопустимо: социальные сети, игры, почта, так как это расходует ресурсы и не дает силам восстановиться. Не стоит продолжать додумывать оставленную задачу – лучше набросать, что будешь делать, когда вернешься к работе. Когда переключаешься, бывает, что начинают лезть хорошие идеи. Но отдохнуть все равно надо.

Ария – существует большая вероятность того, что во время отдыха к вам придет яркая и мощная идея, возможно, не связанная с работой. Если связана – то хорошо, если нет – запишите ее куда-нибудь по быстренькому, и возвращайтесь к работе.

Биологическая перестройка – мозгу нужно время, чтобы настроиться на работу или перестроиться на отдых. Это нормально, не стоит спешить и паниковать, что время уходит.

Отдых между блоками – аутогенная тренировка, прогулка, полежать, пообедать, всякое такое.

Рейти, хейти, я в ожидании
Аноним 19/12/16 Пнд 18:13:24 50239 32
>>11844 (OP)
А, ну да, про планы ничего не сказал.

Тактический план.

Тактический план применяется, когда необходимо либо организовать рабочий блок, либо решить одну задачу или подзадачу, которая укладывается в рамки рабочего блока.

Планирование по задаче:
1. Разделить задачу блока на части.
2. Распределить части по приоритетам и порядку.
3. Выполнить задачи одна за другой.
4. Произвести необходимую интеграцию.
5. Произвести необходимый контроль.

Планирование по времени:
1. Отобрать задачи, которые необходимо решить в рамках блока.
2. Распределить задачи по приоритетам и порядку.
3. Выполнить задачи одна за другой.
4. Произвести необходимый контроль.

Возможные ситуации:

Задача выполнена раньше запланированного. Потратить оставшееся время на свободные задачи из очереди.
Задача заняла больше времени, чем выделено. Перенести остатки задачи в очередь задач.
В ходе выполнения задачи появились неучтенные обстоятельства и препятствия. Провести перепланирование.

Принципы выдачи приоритетов:
В очереди задач могут находиться как задачи, так и подзадачи частично решенных задач. Задачи имеют списки: срочные, важные, текущие, остальные. Невыполненные подзадачи в списке задач имеют приоритет своей задачи, то есть, недоделанное срочное дело имеет больший приоритет, чем неначатое важное. Между собой подзадачи имеют приоритеты подзадач.

Все эффективное – просто.


Аноним 19/12/16 Пнд 18:15:52 50240 33
>>11844 (OP)
Теперь про большие временные промежутки.

Распорядок дня.

Распорядок дня (регламент служебного времени) – мера организации, призванная оптимизировать потери времени и энергии. Потери времени снижаются за счет правильного распределения рабочего и нерабочего времени. Потери энергии снижаются за счет оптимального сочетания работы и отдыха, заложенного в распорядке, а также за счет снижения времени планирования. В свою очередь время планирования снижается за счет того, что в распорядок заложены рабочие блоки, остается только определить временные регламенты внутри блоков и род работы.

Основные ресурсы:
Время – рабочее время, остаток времени до завершения задачи.
Энергия – количество сил, оставшееся на выполнение задач.

Ориентировочный оптимальный распорядок дня:
подъем, гигиена, завтрак, отдых
рабочий блок №1
обед, отдых
рабочий блок №2
физические занятия, ужин, отдых
рабочий блок №3
подведение итогов дня, планирование, гигиена, отдых
отбой

Ритмизация дня:
Общий принцип сохранения сил в том, чтобы вовремя сменять род деятельности. Необходимо отдыхать до того, как усталость станет необратимой. Необходимо грамотно расходовать силы.

Части распорядка:
Подъем – после него некоторое время держится сонливость, выгоднее всего израсходовать это время на технические вопросы: гигиена, приготовление еды, завтрак.
Питание – после него некоторое время держится сонливость, выгоднее всего в это время восстанавливать силы. Сила сонливости зависит от тяжести пищи и количества съеденного, сонливость может продолжаться от получаса до нескольких часов.
Умственная работа – после нее некоторое время держится умственная усталость, выгоднее всего в это время восстанавливать силы.
Физическая работа – после нее некоторое время держится умственная и физическая усталость, выгоднее всего делать ее в конце дня, когда усталость необходима для хорошего сна.
Отбой – к отбою лучше всего приходить уставшим, но слегка восстановившим силы.

Сонливость – снижение уровня энергии, вызванное различными причинами.
Усталость – утомление, снижение умственной концентрации либо физической работоспособности.
Обратимая усталость – усталость, которая снимается восстановлением сил или сменой деятельности.
Необратимая усталость – усталость, которая не уходит даже после отдыха. Ее можно убрать только ночным сном.
Переутомление – общее снижение работоспособности, которое не восстанавливается даже ночным сном. Ее можно убрать днем хорошего отдыха.


Удачные комбинации:
подъем, гигиена, завтрак, отдых – все равно остаточная сонливость
питание, отдых – все равно сонливость и усталость
* физические занятия, питание, отдых – все равно сонливость и усталость
Аноним 01/01/17 Вск 04:35:57 50390 34
Аноним 01/01/17 Вск 04:37:36 50391 35
>>50238
>У меня есть своя сложная концепция тайм-менеджмента
Как дапёр? Стори в студию
Аноним 28/10/17 Суб 09:26:12 57594 36
Нужна софтина, в которую можно было бы записывать сколько времени на какие дела я потратил и потом смотреть статистику по дням-неделям-месяцам. Можете что-то посоветовать?
Аноним 02/12/17 Суб 01:35:42 58385 37
Аноним 02/12/17 Суб 18:22:01 58419 38
>>50227
Ох уж этот Питер Брегман. Хороший пример, как написать self-help-книгу или целую серию практически ни о чём. Немного очевидных советов, немного личного опыта, немного неподтверждённых лайфхаков, которые могут сработать, а могут и нет, немного того, что противоречит другим авторам, ведро воды, охапка дров и плов готов.
Спасибо Аноним 11/12/17 Пнд 18:44:23 58678 39
направление стратегии взял на заметку
Аноним 16/12/17 Суб 19:21:55 58757 40
>>12077
Чтобы один раз сходить в прокуратуру подгадить одной твари нужна мотивацию. Чтобы ежедневно ходить в прокуратуру чтобы гадить разным тварям нужна дисциплина. Здесь уже тебе пригодятся линованные блокнотики от Глеба Архангельского
Аноним 21/08/18 Втр 18:26:10 67204 41
Вкатываюсь в тред со своей системой самоорганизации.
Скоро ей исполнится 2ой год, первые полгода работал над ней в пребывании психоза. голоса, пытки, фейсы все это было
Ищу единомышленников.на сайте "Шизофрения и я" меня забанили якобы я собирал с них деньги гы
Если в тред хоть кто нибудь отпишется распишу кратко о свой системе.
Аноним 21/08/18 Втр 18:27:19 67205 42
>>67204
То что жирным должно быть скрыто!
Аноним 21/08/18 Втр 19:39:55 67213 43
>>67204
Интересно конечно, но не понятно что именно ты предлагаешь. Напиши тезисы.
Аноним 21/08/18 Втр 20:26:27 67217 44
>>67213
Делюсь методами самоорганизации %тайм-менеджмента%% к которым за все это время я пришел сам и которые активно использую в своей системе почти 2 года.
Аноним 21/08/18 Втр 20:50:50 67224 45
>>67217
Было бы хорошо, если бы ты поделился.
Аноним 21/08/18 Втр 20:54:36 67225 46
image.png 45Кб, 689x504
689x504
image.png 130Кб, 453x262
453x262
image.png 27Кб, 597x574
597x574
Вобщем.
Буду описывать для людей с очень большим свободным временем инвалиды, безработные, фрилансеры, пенсионеры, ну и для тех у кого отпуск, каникулы неважно.
Как с остальными организовывать я хз мало опыта в применении сторонними людьми.

Смотрите первый пик.
Будильник действие - это на начало или конец действия сопровождается звонком будильника как в школе.
По всему остальному спрашивайте. С радостью отвечу.

Понадобится программа будильник на ПК 2 пик, дорожка со звонком к нему, вордовский файл 3пик пример распорядка дня кому надо могу подробнее изложить по шаблону и зажигательная музыка.
Аноним 21/08/18 Втр 21:01:24 67226 47
Используя первое изображение заполняем таблицу с распорядком дня и настраиваем будильники. Расписывать каждую задачу под то или иное время нецелесообразно, далее объясню почему.
Для перерывов подойдет таймер с одной настройкой на 50 минут, со второй на 10. И их необходимо переключать желательно на смартфоне. Я лично использовал первое время Ок таймер пока не привык к перерывам https://play.google.com/store/apps/details?id=com.gau.go.launcherex.gowidget.timer&hl=ru удобные виджеты и все такое.


Аноним 21/08/18 Втр 21:08:08 67227 48
>>67225
Мощно, конечно, ты все проработал, хотя замечатно, конечно, что идея брала начало и в других идеях тоже. Можешь ли ты описать как хорошо или плохо повлияла на тебя эта система? Не кажется ли такой подход тебе слишком волевым, требующим много силы воли?

Стали ли некоторые дела для тебя просто привычкой, которые ты выполняешь даже особо не задумываясь? Насколько сильно можно менять график и дела?

Понравилось про зажигательную музыку, конечно. Играет ли она особую роль?
Аноним 21/08/18 Втр 21:09:03 67228 49
>>67226
>Расписывать каждую задачу под то или иное время нецелесообразно, далее объясню почему.
Агась, да-да, именно. Хотелось бы узнать.
Аноним 21/08/18 Втр 21:12:22 67229 50
image.png 24Кб, 797x496
797x496
image.png 24Кб, 557x371
557x371
image.png 44Кб, 615x584
615x584
image.png 94Кб, 399x321
399x321
Система получилась модульная и большинство модулей можно использовать, а можно и неиспользовать.

Все действия сводятся к тому что бы просматривать вордовский файл, выполнять указания которые там описаны и стартовать как только прозвенел будильник.

Но есть модули без которых это все работать не будет.
А именно первый пик еженедельное планирование, ревизия.

Второй пик - порядок действий на подготовку к следующему дню.

Третий пик - отложенные задачи которые необходимо выполнить после наступления определенных условий.

4 пик - И любой программы напоминалки.
Аноним 21/08/18 Втр 21:28:36 67230 51
>>67227
К этим основам я сам приходил. Уже потом читая литературу начал находить совпадения и что то дорабатывать.

>Можешь ли ты описать как хорошо или плохо повлияла на тебя эта система?
Очень хорошо.
Но есть очень большая зависимость от вот этого всего, например, на выходных я становлюсь тем самым задротом которым был до использования тайм-менеджмента.
Я обрел цели в жизни, перестал заморачиваться по поводу проблем с памятью и мое самое любимое это то что я работаю таким образом ради своих интересов и это вдохновляет.

>Стали ли некоторые дела для тебя просто привычкой, которые ты выполняешь даже особо не задумываясь? Насколько сильно можно менять график и дела?
Да. Как привыкнешь к будильнику и последующему старту расписание меняешь незаметно. Подправил расписание, настроил будильник и дал ему название. Зазвенело увидел действуешь.

>Понравилось про зажигательную музыку, конечно. Играет ли она особую роль?
С ней как на войне для поддержания боевого духа так сказать. я включаю Sunburst и она не должна сильно отвлекать.

>>67228

Важные задачи привязанные ко времени записываются в отведенное место и настраивается сигнал будильника с подписью.
Для остальных задач присваивается примерное время выполнения, у меня лично точно получается, и выделяется время на их выполнение.
И ты просто в порядке очереди их выполняешь.
Аноним 21/08/18 Втр 21:31:19 67232 52
А блядь забыл.

Планирование каждого дня осуществляется с помощью стикеров, ежедневника и Leader Taska.

Ща чая наверну и распишу, что да как.
Аноним 21/08/18 Втр 21:39:06 67236 53
>>67232
Видимо у тебя и правда "горят глаза" от всего этого. Тем более уже почти два года... Может бы посоветовал как это внедрять жизнь? Надо сразу начать с понедельника жить иначе построив перед этим четкий план? Вот допустим ты кросфитом занимаешься, но ведь не сразу ты смог достичь результатов, а постепенно... И время на тренировку увеличивалось... Понятно, что на планирование нового дня выделено много времени даже, но...

Как адаптироваться к новому стилю жизни?
Аноним 21/08/18 Втр 21:43:17 67237 54
Безымянный.gif 197Кб, 1031x579
1031x579
Крч.
Есть два варианта планирования.
Первый самый простой это купить Leader Task и скачать его на ПК и смартфон.

Второй скачать бесплатную версию на ПК и использовать ее без конечно игнорируя предложения о покупке записывая все в ежедневник.

Буду описывать второй.
Все задачи которые приходят в голову должны сокращаться до 3х слов, я сокращаю до одного. И должны расписываться на вечерней подготовке в Leader Taske. Далее идет планирование как на гифке и выписывается это добро на стикер, сокращенно но так что бы можно было запомнить.
Аноним 21/08/18 Втр 21:44:07 67238 55
Ты меня впечатляешь, будто действительно пример для подражания.

А подкреплял ли как-то себя за выполнение дела? Или для тебя выполненное дело и завернутая (условно, типа сделанная) строка в таблице становилась сама но себе привлекательна? У тебя же, наверняка, была деятельность, которой ты не особо хотел заниматься. И ты просто начал делать включив музыку?

Я сонный немного просто. Возможно это влияет на качество моей беседы.
Аноним 21/08/18 Втр 21:51:55 67240 56
>>67237
А как ты бы предложил над процессами типа освоения нового навыка? Его тоже на части делать как-то? Как?
Аноним 21/08/18 Втр 21:52:19 67241 57
>>67236
Ну что я могу сказать.
Я начинал сразу с больших отрезков времени т.к. во время психоза был гиперактивным.
В теории желательно по часу внедрять главное что бы все происходило после пробуждения. Но наверняка сказать не могу. Мало испытуемых.
Аноним 21/08/18 Втр 21:57:01 67242 58
>>67241
Сидишь в интернете (в целях больше развлечения) и в целом развлекаешься ты в определённые часы? А не пробовал типа за свою работу давать себе время для развлечений?
Аноним 21/08/18 Втр 21:59:04 67243 59
>>67238
Галочка и перечитывание всех выполненных задач по вечерам.
Музыка, контроль времени
Ну а вобще есть модули связанные с контролем проделанной работы, благодаря им и выполняешь любую работу.

>>67240
Я использовал метод связанный с 21 днем и мне помогало.
Аноним 21/08/18 Втр 22:02:37 67244 60
>>67242
Нет.
Крч я спать. Завтра буду в треде.
Аноним 21/08/18 Втр 22:11:13 67245 61
>>67244
Спокойной, буду ждать.
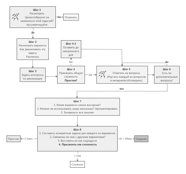
Аноним 22/08/18 Срд 18:11:28 67286 62
image.png 19Кб, 462x594
462x594
Как уже было понятно из гиф файла к каждому заданию присваивается сложность исходя из времени выполнения.

Простое - от 2 до 5 минут
Среднее - от 10 до +-30 минут
Сложное - +- 1 час

Сами задания делятся на срочные занимают основную часть стикера и работа/учеба/проект на которые выделяется определенное время.там все задачи расписаны в Leader Taske

На пике экселевская таблица вставленная в вордовский документ. На ней определяется продолжительность рабочего дня, расставляются приоритеты, определяется свободное время и есть еще с запасом минут 20 на мелкие срочные поручения и проебы в определения сложности.
Все типы задач простое, среднее и т.д. сокращены до среднего значения выполнения времени.

Думаю объяснять все доскональна не требуется.

Как определять сколько времени потребуется на ту, или иную задачу спросите вы. Я вам отвечу. Только с помощью проб и ошибок, набравшись опыта можно делать точные прогнозы. Но опять же задач может быть не так уж и много. 1, 2 - 3 часа на их выполнение. 5 простых 4 средних 1 сложное.
Аноним 22/08/18 Срд 18:22:45 67287 63
image.png 36Кб, 595x528
595x528
image.png 10Кб, 603x174
603x174
В самом вордовском документе все модули раставленны так что бы планомерно, в порядке очереди, планировать свой "рабочий" день.

Так же в программе "Будильник" можно настроить на открытие файлов, программ, треков в определенное время, но для этого комп должен быть включен. И исключение в антивирусе

И в итоге после настройки "Будильника" остается только подорваться из за будильника, усадить свой зад за рабочее место и начать листать вордовский файл, выполняя от одного указания до другого.

И нужно лишь привыкнуть только к старту по звонку будильника.

На пике продолжение указаний. И да, для удобства для переключению между модулями используются гиперсылки 2 пик
Аноним 22/08/18 Срд 18:32:06 67289 64
image.png 59Кб, 463x557
463x557
А вот и ментальная карта моей системы.

Зеленным помечены те модули разработанные мной и бессовесно спизженные которые показали свою работоспособность по моему субъективному мнению правда я половину забыл из всего этого т.к. проблемы с памятью

Красное - работает плохо;

Желтое - среднее;

Серое - надо протестить;

Голубое - улучшить.
Аноним 22/08/18 Срд 18:32:50 67290 65
Задавайте ответы.
Аноним 22/08/18 Срд 19:37:09 67292 66
>>67289
Сжимаешь слишком сильно, ничего не видно.
Аноним 24/08/18 Птн 15:23:23 67352 67
image.png 71Кб, 793x522
793x522
image.png 63Кб, 799x540
799x540
>>67292
Вот здесь получше.
Аноним 01/09/18 Суб 09:46:43 67666 68
Порядок выполне[...].png 17Кб, 620x579
620x579
Зацените, на прошлой неделе набросал порядок выполнения задач.
Опробывал на 25 задачах, мне просто башку снесло!

Аноним 01/09/18 Суб 10:28:16 67667 69
image.png 21Кб, 346x505
346x505
image.png 12Кб, 662x286
662x286
И еще в экселевской таблице с помощью формулы =ИНДЕКС(A19:A42;СЛУЧМЕЖДУ(1;25))для каждой из пяти строк сделал так что бы из списка что на первом пике генерировалось пять занятий на выходные.
Для тех у кого есть лишние пару косарей на выходные и люди с которыми можно отдохнуть будет в самый раз.
Аноним 01/09/18 Суб 10:30:40 67668 70
>>67667
Так что реквестирую какие еще занятия можно дополнить.
Аноним 02/09/18 Вск 21:50:22 67716 71
Ищи книгу "Джедайские техники". Самое годное по тайм-менеджменту и тому что тебе нужно. Автор скомпилировал много годноты, на каждый совет даёт книгу-первоисточник.
Аноним 03/09/18 Пнд 20:45:54 67738 72
Аноним 05/09/18 Срд 17:54:06 67785 73
kak-pravilno-ve[...].jpg 60Кб, 600x360
600x360
Аноны, покажите свои ежедневники! Это круто помогает держать себя во времени и не забывать про дела
Аноним 06/09/18 Чтв 09:03:03 67809 74
1536213767984.jpg 540Кб, 2048x1152
2048x1152
Аноним 06/09/18 Чтв 14:29:41 67813 75
>>67785
Да дел особо и нет-то.
Аноним 06/09/18 Чтв 23:07:09 67831 76
>>67809
ахуеть. по ежедневнику/дневнику на каждое дело или это за несколько лет?
Аноним 07/09/18 Птн 09:58:02 67836 77
>>67831
Почти за 2 года.
Аноним 07/09/18 Птн 17:04:50 67848 78
>>67836
Ты крутой. Меня только на две-три недели хватает. То ли дел не так много, то ли проще носить все в голове, так и не понял.
Аноним 08/09/18 Суб 08:19:14 67886 79
Когда я вырабатывал эту привычку то записывал каждую годную мысль, или идею одним словом в ежедневник, потом в выделенное время расписывал их и рассматривал какими задачами целесообразно заниматься. Далее разбрасывал на неделю и тратил по три часа на решение этих зпдач каждый будний день.
И теперь дошло до такого, что если я не записываю в ежедневник то я начинаю в голове гонять мысли что бы ничего не забыть, а когда записываю то в голове наступает тишина.
Итак до 15-20 слов у меня копилось за день и большую часть которую я записывал перед сном.
Аноним 08/09/18 Суб 08:22:13 67887 80
>>67848
>>67886
Ну а на сегодняшний день я записываю до 5, 6 слов.
Когда что то изучаю может доходить и до 20
Аноним 03/11/20 Втр 09:49:07 91210 81
wow quest log.png 977Кб, 1095x839
1095x839
Есть какая-нибудь система, чтобы организовать дела в виде квест-лога? Чтобы за выполненные дела давалась экспа, количество зависело от сложности. Чтобы так можно было качать своего персонажа. Чтобы выполненные квесты переходили в раздел сделано, и можно было надрачивать на свою продуктивность. И чтобы это всё было удобно и не заёбно?
Мне как задроту без экспы не интересно ничего организовывать...
Аноним 03/11/20 Втр 11:37:27 91212 82
Аноним 03/11/20 Втр 23:27:53 91234 83
Аноним 10/12/22 Суб 13:56:31 110091 84
Сап, аноны.
Кто хорошо ориентируется в семинарах Брайан Трейси? Это же он любил фразу "съешь слона по частям"? И есть лягушек точно он предлагал https://www.youtube.com/watch?v=ZnYkNkX7i6U
У него есть какой-нибудь короткий видос минут до 40, ну может до часу, где он учит есть слона и лягушку? Меня просто прикалывает, как это звучит.
И есть ли какой-нибудь вообще семинар, не обязательног Трейси, который просто раскажет какие-то простые вещи, убедит планировать, составлять план с целями и выделять на них конкретное время? Минут на 40-час, и самое основное в тайм-менеджменте?
Аноним 10/12/22 Суб 14:45:32 110099 85
>>110091
Про дядьку не знаю, увы, хотя, через тридесятые руки и до меня дошёл разумный и, вроде бы, даже очевидный концепт "делай самое сложное в начале дня, пока свежий", зато вот эта мадама хорошо объясняет свой обширный опыт за 14 минут.
https://youtu.be/JfZvWrUXhWY
Аноним 10/12/22 Суб 16:13:56 110105 86
>>110099
>зато вот эта мадама хорошо объясняет
На мерзком и непонятном английском. Лягушка.
Но все-равно, спасибо. Посмотрю через яндекс-браузер.
>и до меня дошёл разумный и, вроде бы, даже очевидный концепти до меня дошёл разумный и, вроде бы, даже очевидный концепт
Мне тут не концепт интересен, а сама формулировка "жри слона" и в его исполнении. При том с переводом на русский. У меня начальник любил жрать слонов и лягушек, я это выражение часто слышал. Хочу узнать его в оригинале и понастольгировать.
Аноним 10/12/22 Суб 18:26:59 110112 87
А есть какой-нибудь русскоязычный семинар по тайм-менеджменту, который можно показать ребёнку-студенту, чтобы он проникся и начал планировать, а не как сейчас? Бизнес-тренеры должны уметь мотивировать. Тайм-менеджмент про планирование. Тренеры по тайм-менеджеру должны мотивировать на планирование. Только это должен быть короткий семинар, который джаст вдохновит ребенка вести план на неделю и расскажет, что это круто и важно. Но не будет длиться часами.
Ну же, аноны. Вы должны быть продвинутами в материалах по тайм-менеджменту, значит вы подберёте что-нибудь.
Аноним 02/10/23 Пнд 19:21:07 120369 88
Аноним 04/10/23 Срд 08:04:56 120423 89
Дэвид Аллен.jpg 202Кб, 1600x552
1600x552
Метод Getting T[...].png 287Кб, 1560x744
1560x744
Сознательно пишите в накопитель и сознательно сразу отбросьте все, что кажется вам интересным и приятным, выберите из списка дел самое скучное и неинтересное и полностью сосредоточьтесь на нем. Чем глубже вы будете в него вникать, тем менее скучным оно будет казаться.

Придумайте себе единицу измерения работы. Опишите то, что вы пытаетесь улучшить, и оперируйте этой единицей. Пусть это будет количество клиентов, с которыми нужно связаться, чтобы обсудить ваш продукт. Тогда вы сможете наглядно увидеть отставание и сконцентрироваться на том, чтобы увеличить количество клиентов. Можно принять за единицу измерения часы, проведенные за глубокой работой, и отслеживать их количество.

Мозгу хочется что-то отслеживать. Поэтому убираем все единицы измерения, кроме количества часов, проведенных за работой.

Отслеживать только количество единиц измерения работы.
Аноним 13/02/24 Втр 13:49:37 124090 90
Сап, эффективные. Кто пользуется методом Помодоро? Вы когда отработали 25 минут, на что тратите 5 минут отдыха? Что вообще можно сделать за 5 минут? В лучшем случаи ролик в ютубчике позависать на пять минут найдешь, но его же еще посмотреть надо.
Аноним 17/02/24 Суб 11:37:26 124377 91
>>124090
Делать что-то головой для отдыха, после того, как работал головой это контрпродуктивно. Лучше делать что-то физическое - жонглировать, делать гимнастику (можно нейробику), вертеть палку а-ля ушу, да хоть с тенью боксировать, на что буйства фантазии хватит.

Алсо - недавно внял очевидной идее, что помодор в 25 минут чистая условность и совсем не универсален, и лучше замерить свой период, после которого начинаешь отвлекаться, и постепенно его наращивать.
У меня он оказался жалких 9 минут для сложноты, 13 минут для среднего чего-то и 20 минут для простых текстов и интелелктуальных задач. Оттуда уже очень плавная прогрессия вверх, вплоть до академчаса (45 минут) и пары (90 минут).
Аноним 18/02/24 Вск 11:11:15 124424 92
Кстати, для чего нужны развлечения после работы, если это есть пустая трата времени? Нужно лишь работать и саморазвиваться, а всё остальное отбросить.
Аноним 18/02/24 Вск 11:46:09 124427 93
>>124377
я думаю, только какие-то уникумы могут поддерживать внимание в течении 45 минут. 30 минут это потолок, после этого просто будешь "выпадать" на какое-то время, даже если продолжаешь высиживать 45 мин.
Аноним 18/02/24 Вск 13:14:09 124433 94
>>124427
Получается, играть и развлекаться нужно для отдыха, а работа по 20 часов в сутки — миф?
Аноним 18/02/24 Вск 16:24:24 124440 95
>>124433
Всё индивидуально, вот тут некоторые утверждают, что вджобывают 12 часов учёбы в день (не 20, но всё же).
https://www.youtube.com/watch?v=pTu5guovePE
https://www.youtube.com/watch?v=eP8JhBvJu0k
https://www.youtube.com/watch?v=kICh_d6tHQk

Есть же ещё некие чудаки не от мира сего, типа Теслы и да Винчи, но их единицы и непонятно, в чём их секрет. Возможно, у них осталось искреннее, не убитое школой и постиндустриальной крысиной гонкой детское любопытство, живость ума, возможно, им помогает чередование разнообразных интересов, а возможно, привязка к конкретным проектам, а не просто дроч голой теории ради непонятно чего, пусть даже научной работы, что будет тихонько пылиться.

Последнее это типа то самое удручающее субъекта отчуждение результатов труда. А виртуальные результаты, скормленные виртуальному же молоху, хотя и не так ранят, как отжим твоих реальных вещей и денег, но всё же ранят. Типа такая аналогия - интернет он как бы за забором, в цеху за стенами, а за забором всё хозяйское (амазоносималенд эдакий, но полностью цифровой), и трудясь в этом виртуальном цеху ничем по сути не обладаешь, только пользуешься. Вся деятельность присходит во благо непонятно кого и непонятно чего, тебе же остаётся только усталость, наслаждаться которой могут единицы. Что я в этой связи заметил, что всякие пет-проджекты или просто хобби, результат которых можно пощупать, очень заряжают психической энергией, будто снова обретаешь связь с жизнью. Луддизм это немного крайность, но жить в цифре крайность даже большая, имхо, даже безумие, плоды которого мы только начинаем пожинать, как аугментированные телефонами-интернетами индивиды и протезированное мемами вместо своего мнения общество.

Вернусь к сабжу концентрации.
Я пока ничего лучше подхода "начать с малого и очень плавно повышать планку" не придумал.
Бывают взлёты и падения, но в целом наблюядается тенденция к увеличению времени доступной мне концентрации. То есть это всё качается, подобно мышце.
Посмотрим, когда я упрусь в планку. Пока что повода для оптимизма нет - самый большой результат это 112 чистых минут когнитивной нагрузки в 8 помодоров. Это уже намного больше того, что я мог раньше, но гораздо меньше того, что бы хотелось. Но "тише едешь - дальше будешь" тут очень актуально, жизнь уже научила "не рвать жилы" и прислушиваться к себе.
Аноним 18/02/24 Вск 16:34:57 124441 96
>>124440
Ну и уточню одну мысль, чтобы не пропустить совсем.
Всем уже уши прожужжали шерлоковским "чердаком", это действительно важно - брейндампать и не хрючить инфопомои (в идеале хочу попробовать абсолютно минимизировать свою среду, отгородить свой мозг от пустых стимулов, которые мой мозг не может до конца игнорировать). Эдакий минимализм в духе уборки Мари Кондо, когда лишние вещи не "воруют энергию", но вызывают ненужную активность мозга (за счёт ассоциаций и прочего). Типа как в эксперименте с белой комнатой, когда мозг без стимулов настолько переполняется "энергией", что начинает галлюны видеть, только тут ситуация обратная - его ресурс подъедают случайные образы, звуки и т.п.
https://www.youtube.com/watch?v=jir3FS_sMhc
Аноним 18/02/24 Вск 16:58:17 124445 97
>>124440
> вот тут некоторые утверждают, что вджобывают 12 часов учёбы в день
Хорошо, а как это совмещать с тяжёлой работой, после которой только хочется придти домой и спать?

> Есть же ещё некие чудаки не от мира сего, типа Теслы и да Винчи, но их единицы и непонятно, в чём их секрет.
Учёные раньше — интерес сразу ко всему, от математики и технических йоб до стихосложения и рисования.

Учёные сейчас — изучение только того, что нужно по профессии, а остальное считается мусором, которым не следует забивать голову.


> Я пока ничего лучше подхода "начать с малого и очень плавно повышать планку" не придумал.
Я решил бросить компьютерные игры, но вместо них залипаю в двачи и ютубчик, что отнимает ещё больше времени, лол.
Аноним 18/02/24 Вск 18:29:11 124451 98
>>124445
>Хорошо, а как это совмещать с тяжёлой работой, после которой только хочется придти домой и спать?
Не знаю, там либо студентота, либо айтимакаки, вроде.
Вот эта тянка работает (медсестрой кажись, тоже не лёгкая прогулка), и как-то учится. Откуда она берёт силы не в курсе.
https://www.youtube.com/watch?v=JfZvWrUXhWY

Учёные, да, но глубоко знать можно только одну область обычно. Иначе такой себе "спец" по всему. Могу даже на примере всякого ремесленничества это наблюдать.
Эпоха медиа сделала всех фантазёрами с "забывчивостью" и переоценкой своей экспертизы.
Фантазёры потому, что могут представить себя с лёгкостью делающими те вещи, которые видели дегко исполнимыми на видео (ведь вся тяжкая работа за кадром). Я недавно так факапнулся с не особо сложной задачей руками.
А забывчивость же сродни СДВ-шной, когда у тебя в голове идёт цепочка из 5-10 и более разных действий, при том из совершенно не связанных категорий, в том числе полностью виртуальных и очень простых, типа "найти то-то и то-то в гугле". А потом ты из-за ограничений памяти и виртуальности некоторых задач попросту мимолётно думаешь о действии из цепочки - и мозг автоматои ставит галку "ага, это мы уже сделали", и ты как бы забываешь сделать. Из-за последнего люди и детоксятся от цифры и стараются выписывать каждый чих и пук в список задач, чтобы голова была свободной.

>Я решил бросить компьютерные игры, но вместо них залипаю в двачи и ютубчик, что отнимает ещё больше времени, лол.

Иногда лучше положить телефон в авиарежиме на верхнюю полку шкафа (можно ещё в коробку в коробке в коробке для дополнительного мозгоёбства при попытке нарушить "карантин", или даже в другую комнату и так далее, главное создать трудности) до какого-то времени, иначе борьба с соблазном посадит волевую "батарейку" и на учёбу сил уже не останется.
Аноним 18/02/24 Вск 18:32:41 124452 99
1608164005414.png 440Кб, 582x800
582x800
>>124451
> Учёные, да, но глубоко знать можно только одну область обычно
Пикрилейтед шарил в математике, ядерной физике, химии и астрономии. И подобных примеров до 1980-х годов много, а далее просто науки слишком сложными стали.
Аноним 18/02/24 Вск 18:34:35 124453 100
>>124452
> математике, ядерной физике, химии и астрономии
Хотя, надо отметить, что это всё смежные дисциплины, по факту. Другое дело, что сейчас учёные стали настолько узкоспециализированными, что могут даже в соседних областях ничего не знать.
Настройки X
Ответить в тред X
15000
Добавить файл/ctrl-v
Стикеры X
Избранное / Топ тредов